L-CNG汽車加氣站的雷電防護

摘要:分析了L-CNG汽車加氣站的生產特點,結合湛江地區雷電活動的特征及危害特性,提出了L-CNG汽車加氣站的雷電防護措施。關鍵詞:雷電防護;L-CNG汽車加氣站;防雷措施Lightning Prote
NEW
閱讀全文

液化石油氣站特種設備安全管理探討

摘要:結合新修訂的《特種設備安全監察條例》,探討了液化石油氣站特種設備的安全管理工作,包括《特種設備安全監察條例》新修訂的內容、特種設備安全技術檔案管理、特種設備使用
NEW
閱讀全文

未雨綢繆 防范冬季燃氣泄漏爆炸事故

摘要:通過對冬季燃氣泄漏爆炸事故案例的分析,闡述了冬季燃氣泄漏爆炸事故多發的原因,提出了防范冬季燃氣泄漏爆炸事故的具體措施。關鍵詞:冬季;燃氣泄漏;爆炸 每到冬季,全國各地
NEW
閱讀全文

戶內燃氣安全檢查是安全用氣的保障

摘要:闡明戶內安全檢查的重要性、必要性,敘述戶內安全檢查的工作內容、工作規范和實現戶內安全檢查所采取的措施,以及取得的經驗和成效,介紹了安全檢查工作中使用的先進儀器和計
NEW
閱讀全文
油氣管道的雜散電流腐蝕與防護 安全運行

油氣管道的雜散電流腐蝕與防護

摘要:闡述了雜散電流對油氣管道腐蝕的基本原理、特點,針對雜散電流的特點,提出了防止雜散電流對油氣管道腐蝕的措施。關鍵詞:雜散電流;油氣管道;排流保護Stray Current Corrosion
NEW
閱讀全文
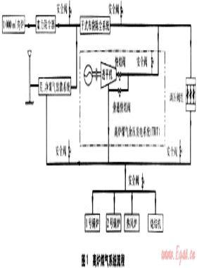
LNG氣化站安全保護系統 安全運行

LNG氣化站安全保護系統

摘要:論述了LNG氣化站的工藝流程,LNG的危險性,以及緊急切斷系統、低溫儲罐液位控制系統、空溫式氣化器出口氣體溫度連鎖系統、水浴式加熱器后氣體溫度控制系統等安全保護系統的
NEW
閱讀全文

紹興市天然氣高壓管網安全保護措施探索

摘要:針對天然氣高壓管網特點,采取了建立政府主導的高壓天然氣管網安全保護工作聯席會議制度、建立高壓天然氣管網年度檢測與風險評估制度、調度監控系統與巡檢相結合、與專業
NEW
閱讀全文

CNG加氣站防火間距的確定

根據天然氣廠站防火間距確定原則、相關標準及廠站工藝,提出了減小CNG加氣站與站外建構筑物防火間距的可行性及修改建議。
NEW
閱讀全文
LNG分輸站雷電風險評估 安全運行

LNG分輸站雷電風險評估

LNG分輸站雷電風險主要來自建(構)筑物防直擊雷設施及工藝區內各管道、設備接地的施工質量問題,以及引入服務設施的雷電電磁脈沖問題。
NEW
閱讀全文
LNG重氣擴散安全距離及影響因素 安全運行

LNG重氣擴散安全距離及影響因素

LNG儲存溫度為-161.5℃,一旦發生泄漏,迅速蒸發后的氣體密度約為空氣密度的1.5倍,低溫的重氣云團將會發生重力沉降;同時,由于大氣湍流將空氣卷吸進入云團內部,低溫重氣云團也會被加熱,向正浮性氣體擴散轉變。為此,研究了LNG大規模持續泄漏產生的氣體擴散問題,建立了LNG泄漏時安全距離的計算方法,并分析對安全距離的影響因素。
NEW
閱讀全文
LNG應急氣化站的供氣安全 安全運行

LNG應急氣化站的供氣安全

摘要:本文論述了通過優化標準LNG氣化站設計工藝方案,采用卸車、氣化、調壓雙路且可自動或手動切換的設計模式,從多方面保障了供氣的連續性,減少停氣事故的發生,確保供氣安全。關
NEW
閱讀全文

深圳高壓天然氣管線完整性管理

摘要:介紹了深圳高壓天然氣管道系統及運行管理模式,分析了高壓管線特點和管理技術要求,明確高壓天然氣管道應從事后搶修向事前預防轉變,加強本質安全和防止第三方破壞、防患于未
NEW
閱讀全文
定向鉆穿越質量問題及預防措施 安全運行

定向鉆穿越質量問題及預防措施

摘要:定向鉆施工管道基本上不可能進行維修,建設期的質量隱患可能導致很快穿孔泄漏。巖石地段的定向鉆穿越應改用帕羅特防腐層,以降低劃傷風險;在地質情況復雜多變,尤其是存在孤石
NEW
閱讀全文
壓縮機在LPG槽車事故中的應用 安全運行

壓縮機在LPG槽車事故中的應用

摘要:本文闡述了突發LPG槽車事故時,如何利用壓縮機對事故LPG槽車進行卸車,詳細分析了搶險過程中整個系統的組成、運作以及壓縮機的主要作用,并最終介紹了如何在實際的工作中應用
NEW
閱讀全文
CNG加氣母站風險分析及事故后果模擬 安全運行

CNG加氣母站風險分析及事故后果模擬

摘要:由于CNG具有易燃、易爆和易泄漏等危險性,其運行設備又處于高壓狀態,一旦發生事故,將對加氣站場周邊居民和環境造成巨大的風險和破壞,因而研究CNG加氣母站運行風險及模擬事故
NEW
閱讀全文