摘要:采用事故樹分析法,對天然氣調壓站火災、爆炸事件進行定性分析。通過計算基本事件的結構重要度系數,認為點火源對燃氣火災爆炸的影響要大于燃氣泄漏,提出了預防措施。
關鍵詞:天然氣調壓站;事故樹;點火源;燃氣泄漏;火災爆炸
Fault Tree Analysis for Fire and Explosion Accidents in Natural Gas Regulator Station
WEI Fan,QU Ying,YANG Ying
Abstract:Fire and explosion accidents that occur in natural gas regulator station are qualitatively analyzed by fault tree analysis method.Through calculating the structure importance factors of basic incidents.it is concluded that the influence of ignition source on gas fire and explosion is more than that of gas leakage,and some preventive measures are put forward.
Key words:natural gas regulator station;fault tree;ignition source;gas leakage;fire and explosion
調壓站是天然氣輸配系統中的重要組成部分[1],是連接不同壓力級制管道、調節壓力的必需環節,保證調壓站可靠穩定運行是天然氣輸配系統安全運行的重點之一。本文采用事故樹分析法,對天然氣調壓站火災、爆炸事件進行定性分析,得出誘發事故的基本因素,從而提出有效的防范措施。
1 事故原因分析
導致燃氣火災爆炸最直接的原因可歸納為燃氣泄漏及存在點火源兩個方面。
1.1 燃氣泄漏原因分析
① 施工質量問題
大部分事故都是由于沒有安全技術措施、缺乏安全技術知識、不作安全技術交底、安全生產責任不落實、違章指揮、違章作業造成的。施工質量一方面決定于技術水平的高低,另一方面也受檢驗、監管控制。以下幾個方面都會對施工質量產生影響:施工隊伍技術水平較低;不按施工標準施工;檢驗控制不到位;施工驗收不規范等。
② 系統缺陷
腐蝕和疲勞失效極易對燃氣管道和設備造成危害,是導致燃氣泄漏的主要原因。此外,天然氣調壓站內涉及大量管件、閥門、法蘭、緊固件等元件,一旦元件出現破裂、損壞或失效的情況,勢必會對輸配系統產生危害。同時,如果監控儀表和安全元件出現問題導致功能缺失,就會加劇事故的擴大,造成嚴重后果。
③ 安全管理不規范
燃氣系統運營過程中,人為操作失誤極易引起天然氣泄漏,因此必須建立相關的安全管理制度,以保證系統運行的安全。不規范的安全管理主要表現在:安全制度不健全;安全管理資料不全;安全管理法規宣傳和執行不到位;企業自身安全意識較差等。
④ 第三方破壞
第三方對調壓站系統的破壞主要分為自然因素和非自然因素兩大類。其中自然因素主要有地質災害、氣候災害和環境災害3種形式,地震、雷電、低溫、酸雨等都會對設備產生影響,嚴重時會導致燃氣泄漏事故。外力破壞是非自然因素的主要表現形式,如城市施工、人為蓄意破壞等,也是造成燃氣設施損壞的主要因素之一。
1.2 點火源分析
① 禁區內的施工動火、雷電、靜電火花、金屬撞擊火花、吸煙、高溫等均可成為點火源。
② 如果站內生活區與生產區間距不符合要求,生活區使用明火時,也可能成為點火源。
③ 電氣設施、自控儀表防爆性能差,電氣短路、過載都會導致電火花和電弧的產生,從而引發火災事故。
2 事故樹分析
事故樹分析方法是對既定系統可能出現的事故條件及可能導致的災害后果,按工藝流程、先后次序和因果關系繪制成圖,表示導致災害、傷害事故的各種因素之間的邏輯關系[2]。該方法形象、簡潔且易于制定減小風險對策,在燃氣輸配系統的事故分析中應用較廣泛[3~8]。
2.1 事故樹的建立
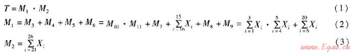
將調壓站的火災爆炸事故作為事故樹頂事件,將天然氣泄漏、存在點火源作為次頂事件。采用此方法逐步深入細化,直至列出底事件。天然氣調壓站火災爆炸事故樹見圖1,其中T表示頂事件;Mi(i=1~11)表示中間事件;Xi(i=1~26)表示底事件;·表示邏輯與門;+表示邏輯或門。

2.2 最小徑集計算
最小徑集計算是定性分析的重要過程,采用布爾代數計算最小徑集[9]。

經推導得到3個最小徑集(P1、P2、P3):

2.3 結構重要度計算
用最小徑集近似判斷各基本事件的結構重要度系數,從結構上分析各基本事件的狀態對頂上事件狀態的影響程度。基本事件的結構重要度系數可通過下式計算:

式中Ii——基本事件Xi的結構重要度系數
Xi∈Pj——基本事件置屬于最小徑集Pj
nj——基本事件Xi所在最小徑集包含基本事件的個數
含有基本事件X6、X7、……、X20的最小徑集均為2個,其中最小徑集P1包含的基本事件數是18個,最小徑集P2包含的基本事件數是17個,則由式(4)得基本事件X6、X7、……、X20的結構重要度系數為:
I6=I7=…=I20=0.0000229
含有基本事件X1、X2、X3的最小徑集為1個,該徑集P3包含的基本事件數是18個,則由式(4)得基本事件X1、X2、X3的結構重要度系數為:
I1=I2=I3=0.00000763
含有基本事件X4、X5的最小徑集為1個,該徑集P2包含的基本事件數是17個,則由式(4)得基本事件X4、X5的結構重要度系數為:
I4=I5=0.0000153
含有基本事件X21、X22、……、X26的最小徑集為1個,該徑集P3包含的基本事件數是6個,則由式(4)得基本事件X21、X22、……、X26的結構重要度系數為:
I21=I22=…=I26=0.03125
因此,可得到事故樹基本事件的結構重要度系數排序為:
I21=I22=…=I26>I6=I7=…=I20>I4=I5>I1=I2=I3
可見,在導致燃氣火災爆炸事故的兩個影響因素中,點火源的作用要大于燃氣泄漏的影響。
2.4 防范措施分析
在構成事故樹的基本事件中,點火源各基本事件的結構重要度系數最大,因此,在天然氣調壓站著火爆炸事故中,要重點對火源進行防范。在實際中要制定完備的火源管理制度并嚴格執行,以防止該類基本事件的發生。
天然氣泄漏是導致火災、爆炸的必要條件之一。在本事故樹所列20個導致天然氣泄漏的基本事件中,根據結構重要度系數的大小可分為3類。X6~X20基本事件的結構重要度系數最大,可見定期對設備進行檢查、強化安全管理制度、制定應急預案以提高抵抗災害的能力是避免泄漏事故發生的重要措施。X4、X5兩個基本事件的結構重要度系數次之,表明對施工過程進行監管、對施工質量進行檢驗是規范施工的有效手段,較高的施工質量是減少泄漏事故的基本前提。X1、X2、X3基本事件的結構重要度系數最小但也非常重要,施工必須選擇有壓力管道安裝資質的單位,而且技術水平必須過硬,才能保證工程質量。
3 結論
① 采用事故樹方法對調壓站火災爆炸事故進行了定性分析,該事故樹共有3個最小徑集,保證頂事件的安全可從控制燃氣泄漏基本事件或點火源基本事件實現。
② 通過對基本事件進行結構重要度排序,點火源對燃氣火災爆炸的影響要大于燃氣泄漏,因此,要對明火、靜電、雷擊等足夠重視,在系統運行過程中應實行安全用火制度,采取有效的防雷、防靜電措施。
③ 為了防止燃氣泄漏的發生,要嚴格按照規定進行施工及管理,對管道設備加強日常巡視、檢修,強化職工培訓,制定操作規程,保證安全施工和運營。同時要制定應急預案,提高系統抗擊自然災害的能力,杜絕火災爆炸事故發生。
參考文獻:
[1] 段常貴.燃氣輸配[M].3版.北京:中國建筑工業出版社,2001:174.
[2] 劉鐵民,張興凱,劉功智.安全評價方法應用指南[M].北京:化學工業出版社,2005:71.
[3] 孫安娜,段常貴,周衛,等.地下燃氣管道事故泄漏擴散分析[J].煤氣與熱力,2007,27(1):17-20.
[4] 劉楊,賈馮睿,段常貴,等.城市埋地鋼質燃氣管道事故樹的研究[J].煤氣與熱力,2009,29(7):A35-A38.
[5] 黃小美,彭世尼,李百戰,等.城市燃氣管道系統失效的事件樹和故障樹相結合[J].重慶建筑大學學報,2006,28(6):99-101.
[6] 楊維.事故樹在管道燃氣泄漏事故分析的應用[J].煤氣與熱力,2007,27(5):51-54.
[7] 孫安娜,安躍紅,段常貴,等.地下燃氣管道第三方影響事故樹模型[J].煤氣與熱力,2005,25(1):1-5.
[8] 閆蘭英,李紅.事故樹分析法在濕式儲氣罐安全評價的應用[J].煤氣與熱力,2006,26(9):13-15.
[9] 汪元輝.安全系統工程[M].天津:天津大學出版社,1999:154-160.
(本文作者:魏璠1 渠穎2 楊穎2 1.天津城市建設學院 能源與安全工程學院 天津 300384;2.中國市政工程華北設計研究總院 天津 300074)
贊 賞 分享
您可以選擇一種方式贊助本站

支付寶轉賬贊助

微信轉賬贊助
