摘要:論述了城市埋地天然氣管道泄漏事故的原因和后果。建立了火災危險區域計算關系式,結合北京市近年來典型的管道事故,對事故后果的主要影響因素(管道運行壓力、管道破損面積等)進行了定量分析。火災危險區域半徑大于城鎮燃氣設計規范中規定的管道距建筑物的最小距離,管道運營公司應當加強與公眾及第三方施工單位的聯系,降低管道泄漏及火災風險。
關鍵詞:天然氣管道;事故;泄漏后果;風險評價;火災危險區域預測;安全管理
Predicted Method and Preventive Measures for Fire Danger Area of Natural Gas Pipeline
DU Xue-ping,LIU Yan,LIU Rong,ZHANG Ying-hui
Abstract:The causes and consequences of leakage accidents for urban buried natural gas pipeline are expounded. The relational expression for fire danger area is established. Combined with typical pipeline accidents during recent years in Beijing City,the main influencing factors of the accident consequences,such as pipeline operating pressure,pipeline breakage area and so on,are quantitatively ana1yzed.The fire danger area radius is larger than the minimum distance between pipeline and building required in Code for Design of City Gas Engineering. The pipeline operating companies should strengthen the relationship with public and third party construction organization to reduce pipeline leakage and fire risk.
Key words:natural gas pipeline;accident;leakage consequence;risk assessment;forecast of fire danger area;safety management
1 概述
隨著我國燃氣事業的快速發展,燃氣管網的管理水平亟待提高。導致事故的原因和事故后果的定量分析對于降低管網運行風險,保證人民生命財產安全具有重要意義[1]。世界上的現代化大都市的城市燃氣幾乎都經歷了從人工煤氣到天然氣這一發展過程。2006年,北京市結束了近50年人工煤氣的歷史,實現管網全天然氣化。北京燃氣事業經過50年的發展歷程,特別是1997年陜甘寧天然氣進京后,城市燃氣已具有相當大的規模,現有360×104戶用戶、約11000km管網、55×108m3/a供應量、5級壓力級制。表1為北京市天然氣管網管長與壓力概況。本文結合北京市的管網特點和所發生的管道事故開展火災危險預測,對火災危險進行定量化研究,為管網風險評價提供參考。
表1 北京市天然氣管網管長與壓力概況
|
壓力級制
|
高壓A
|
高壓B
|
次高壓A
|
中壓A
|
低壓
|
|
運行壓力/MPa
|
3.5
|
1.6
|
0.7
|
0.1
|
0.005
|
|
管道長度/km
|
125
|
315
|
506
|
4100
|
5827
|
|
占總管長的比例/%
|
1.1
|
2.9
|
4.7
|
37.7
|
53.6
|
2 事故原因
管道風險是事故發生概率和事故后果的函數[2、3],火災危險預測應當首先分析導致事故的原因。根據初步統計,2007年北京市燃氣突發事故約102起。其原因分類見表2[4]。從表2可知,造成城市燃氣事故的主要原因是外力破壞。
表2 2007年北京市燃氣事故原因分類統計[4] 起
|
事故原因
|
一季度
|
二季度
|
三季度
|
四季度
|
合計
|
|
管道腐蝕
|
6
|
4
|
2
|
17
|
29
|
|
外力破壞
|
6
|
10
|
17
|
7
|
40
|
|
施工質量
|
6
|
6
|
7
|
6
|
25
|
|
自然因素
|
1
|
l
|
0
|
0
|
2
|
|
管道堵塞
|
3
|
2
|
1
|
0
|
6
|
3 泄漏后果
美國和歐洲的安全工程師利用風險評價的方法對天然氣管道泄漏事故后果做了大量定量分析和統計,形成了具有統計學意義的參考數據。根據燃氣泄漏后的各種表現形式,可以確定出具有普遍性的危險發生模式。下面以燃氣泄漏后的各種表現形式為出發點,根據危害發生機理建立相應的事故后果計算關系式。
3.1 燃氣泄漏后的各種表現形式
美國石油學會(American Petroleum Institute)的相關資料提供了燃氣發生泄漏后各種表現形式的概率[5],研究者可以根據不同情況對其進行一定的修正。燃氣持續性泄漏后發生安全排放、噴射火焰、閃火、蒸氣云爆炸的概率分別為0.8、0.1、0.06、0.04[5]。
噴射火焰(Jet Fire)是指氣體從裂口噴出后立即燃燒,如同火焰噴射器。閃火(Flash Fire)是指泄漏的可燃氣體在空氣中擴散后發生的滯后燃燒,不產生沖擊波破壞[6]。蒸氣云爆炸是指蒸氣云團的可燃混合氣體遇火源突然燃燒,是在無限空間中的氣體爆炸。
天然氣發生泄漏后,如果立即點燃,此時天然氣還沒有和空氣充分混合,點燃發生在外層,而內層的燃氣因為濃度太高不能被點燃。因為天然氣的密度小于空氣,氣云的浮力起主導作用,所以燃燒的氣云向上抬升并變成球形,進而促進天然氣與空氣混合形成持續的火災。短時間上升和膨脹的火球最后發展為穩定的噴射火焰,其產生的熱輻射會對在場人員造成傷害[7]。
3.2 管道破損面積
美國、歐洲和加拿大的研究機構建立了相應的管道事故數據庫,以進行現役管道的安全評價,減少事故發生的可能性。歐洲燃氣管道事故數據庫(European Gas pipeline Incident Data Group,EGIG)的統計方法是根據以下泄漏的尺寸將管道破損進行分類記錄[8]:
① 微孔(或裂紋):缺陷直徑≤2cm。
② 孔洞:2cm<缺陷直徑≤管道直徑。
③ 斷裂:缺陷直徑>管道直徑。
歐洲燃氣管道1970年—2007年間的統計數據顯示,第三方破壞造成的各種破損形式的比例分別為:微孔或裂紋(Pinhole/crack)27%,孔洞(Hole)55%,斷裂(Rupture)18%。第三方破壞造成的管道破損以孔洞為主。
3.3 泄漏速率
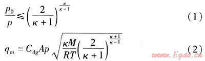
天然氣泄漏導致的風險與泄漏速率密切相關,氣態燃氣泄漏量可從伯努利方程推導得到,燃氣泄漏的質量流量與其流動狀態有關。當滿足式(1)的條件時,氣體流動屬于聲速流動,燃氣的泄漏速率(以質量流量計)用式(2)計算[9]。

式中p0——環境絕對壓力,Pa
p——容器內介質絕對壓力,Pa
κ——燃氣等熵指數,甲烷取1.29
qm——燃氣泄漏速率(質量流量),kg/s
Cdg——氣體泄漏系數,與泄漏口形狀有關,見表3
A——泄漏口的面積,m2
M——燃氣的摩爾質量,甲烷為0.016kg/mol
R——摩爾氣體常數,取8.314J/(mol·K)
T——氣體溫度,K,取288K
當滿足式(3)時,氣體流動屬于亞聲速流動,燃氣泄漏速率用式(4)計算[9]。

表3 氣體泄漏系數取值[9]
|
泄漏口形狀
|
圓形
|
三角形
|
長方形
|
漸縮孔
|
漸擴孔
|
管道完全斷裂
|
|
Cdg
|
1.0
|
0.9
|
0.9
|
0.9~1.0
|
0.6~0.9
|
1.0
|
3.4 熱輻射對人員的傷害
燃氣燃燒過程中火焰表面在高溫下向外部空間發射輻射能。彼德森(Pietersen)提出用以下模型來觀測熱輻射對人員的傷害[10]。在場人員暴露在熱輻射之下受到傷害的概率與暴露時間和熱輻射通量有關。
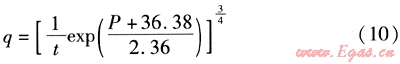
① 彼德森模型[10]

式中P——人員傷害概率
t——人員暴露時間,s
q——人體接收到的熱輻射通量,W/m2
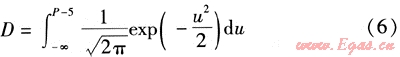
人員傷害概率與死亡百分數的關系為[11、12]:

式中D——死亡百分數
u——積分變量
死亡百分數D通過式(6)與個體受到傷害的概率P關聯[11]。式(6)表示概率密度與概率分布函數的關系,個體受到傷害的概率P是死亡百分數D的度量,它們的數值對應關系可以方便地利用標準正態分布表查得。當P=2.67時,D=1%;P=5.00時,D=50%;P=8.06時,D=99.9%[11、13]。
② 熱輻射通量
熱輻射通量是距射流軸線距離r處(火災危險區域半徑)的熱輻射強度,它表示距點源一定距離的熱接收量,它與點源輻射量和位置有關。

式中τ——輻射率,此處取0.2[6、7、10]
Φ——點熱源的輻射量,w
r——火災危險區域半徑,m
③ 點熱源的輻射量
火焰熱輻射可簡化為熱量都是由一點釋放的,點熱源的輻射量與燃氣熱值和泄漏量有關,當發生穩定持續燃燒時點熱源的輻射量由下式計算:
Φ=ηqmQL (8)
式中η——效率因子,此處取0.35[6、7、10]
QL——燃氣低熱值,J/kg,天然氣的低熱值取5.002×107J/kg
④ 火災危險區域半徑
聯立式(7)、(8)得:

由彼德森模型式(5)得:

聯立式(9)、(10)得:

因為qm是關于A和P的函數,P是關于D的函數,所以r是關于管道破損面積、管道運行壓力、人員暴露時間及死亡百分數的函數。
3.5 典型事故火災危險區域預測
北京市玉泉營燃氣管道被第三方施工破壞。2006年6月9日凌晨2:40左右,玉泉營南三環路北側輔路旁,某汽車銷售公司委托某施工單位在該公司院內施工,在安裝廣告牌過程中使用破碎炮,將地下DN 500mm中壓燃氣管道打破,產生了一個直徑為15cm的圓洞,造成燃氣大量泄漏。經燃氣輸配分公司應急搶險隊伍緊急處理,于當日中午約12時消除險情,恢復正常供氣。此次事故導致南三環路北側主、輔路封閉近6h。
北京市中壓燃氣管網覆蓋面廣,中壓管道總長度約4100km,占管網總長度的比例為37.7%,事故發生的可能性較大,相對于低壓管網其危險性也更大。因此,此案例為第三方破壞燃氣管道的典型事故。
代入基本參數計算泄漏速率,滿足式(1)的條件,屬于聲速流動,選擇式(2)計算得到泄漏速率為6.12kg/s;人員暴露的時間:緊急情況下在場人員尋找遮蔽、逃離火災傷害的時間約為15s,t取15s:將P分別等于2.67、5.00、8.06以及t、QL的值分別代入式(11),得到r1=7.3m,r50=5.0m,r99=3.1m。由式(6)可知其數學意義為:
① 在場人員滯留15s,在半徑為7.3~5.0m的范圍內,死亡百分數為:1%<D<50%。
② 在場人員滯留15s,在半徑為5.0~3.1m的范圍內,死亡百分數為:50%<D<99.9%。
③ 在場人員滯留15s,在半徑小于3.1m的范圍內,死亡百分數為:D>99.9%。
D>99.9%時的火災危險區域半徑大于城鎮燃氣設計規范中規定的中壓管道距建筑物基礎的最小距離(1.5m)。
3.6 防火間距
安全距離究竟多少最為恰當,這是一個很難確定的問題,僅從安全角度出發,距離越遠越安全。然而發生火災和爆炸的原因是多方面的,影響因素很多,即使符合規定的安全距離,也有發生危險的可能,因此,安全距離只能是相對的。
在國外的標準規范中關于防火間距沒有一個統一的標準。由于各國技術水平、消防設施等多方面因素的影響,因而制定的防火間距也不盡相同。例如,有些國家國土面積不大,土地昂貴,偏重于采用高程度的安全設備而較少占用土地,因而制定的防火間距較小;而另一些國家則相反,如美國石油保險協會推薦安全距離往往偏大[14]。對于我國城市天然氣輸送管道,加強管道保護措施比安全距離劃分更切合實際。
4 預防措施
管道外力破壞的防護可以采取增大管道埋深、埋設警示帶、管頂覆土厚度較小的地方加蓋混凝土板等措施,對于大量的已建管道,主要依靠巡線人員的巡查和針對第三方施工單位的報建制度來保護管道。國內外的一些天然氣輸送系統建立了相應的通信服務系統,旨在加強管道運營方與第三方施工單位以及公眾的聯系。
英國管道風險管理專家W.K.Muhlbauer所著《管道風險管理手冊》介紹了這種能夠加強信息通報與響應的直呼系統(One-call System)。這種通信系統一般由政府部門、數個管道公司共同建立,獨立的管道運營企業也可以建立這種系統。它提供電話號碼給挖掘承包商及公眾,要求他們在開挖活動之前通告直呼系統中心,從而使管道運營者有機會與開挖人預先取得聯系,管道運營者在開挖活動中用臨時標記標示他們的管道設施,隨時跟蹤挖掘活動并檢測其地下設施[15、16]。
1964年,在紐約州的羅徹斯特(Rochester)建立了第一套現代直呼系統。1992年,在美國47個州及華盛頓特區中,已建有88個直呼系統,在加拿大、澳大利亞、蘇格蘭也運行著類似的直呼系統。美國運輸部通過對16個直呼系統中心的調查表明:該系統對于降低管道事故有著明顯效果。有10個例子(為16個研究例子中的一部分)與挖掘有關,事故減少了20%~40%;其余6例的事故發生率減少了60%~70%[15、16]。
提供聯系方式的管道標志牌也是類似于直呼系統的管道安全保障措施,如標明“此處有燃氣管道,施工前請聯系某某燃氣公司,電話為……”,它能夠提高公眾對燃氣設施的保護意識,減小盲目和違規開挖帶來的風險。管道標志牌向公眾展示了地下管道的位置,有可能增加蓄意破壞的可能性,但是缺少圖紙資料,確定地下管道位置的難度較大,蓄意破壞的可能性較小。
結合現有安全防范措施,在地面開挖可能性較大的地段,設立提供電話號碼的管道標志牌,能夠加強管道運營公司與公眾的聯系,降低管網運行風險。
參考文獻:
[1] 萬禮鋒,尹貽林,張麗君,等.城市燃氣管網安全分析體系[J].煤氣與熱力,2007,27(11):50-53.
[2] 于京春,解東來,馬東蓮,等.城鎮燃氣管網風險評估研究進展及建議[J].煤氣與熱力,2007,27(12):38-42.
[3] GOODFELLOW G,HASWELL J.A comparison of inherent risk levels in ASME B3 1.8 and UK gas pipeline design codes[A].Proceedings of the 2006 ASME International Pipeline Conference[C].Calgary(Canada):American Society of Mechanical Engineers,2007.1085-1096.
[4] 馮穎.城市燃氣管道應急搶修的實踐和探討[J].煤氣與熱力,2008,28(7):B38-B41.
[5] 孫永慶,鐘群鵬,張崢.城市燃氣管道風險評估中失效后果的計算[J].天然氣工業,2006,26(1):120-122.
[6] 邵輝.系統安全工程[M].北京:石油工業出版社,2008.
[7] STEPHENS M J,LEEWIS K,MOORE D K.A Hiodel for sizing high consequence areas associated with natural gas pipelines[A].Proceedings of the International Pipeline Conference[c].Calgary(Canada):American Society of Mechanical Engineers,2002.759-767.
[8] 王弢,帥健.天然氣長輸管道定量風險評價中的技術要點[J].油氣儲運,2005,24(增刊):18-21.
[9] 彭世尼.燃氣安全技術[M].重慶:重慶大學出版社,2005.
[10] 鄭津洋,馬夏康,尹謝平.長輸管道安全風險辨識、評價、控制[M].北京:化學工業出版社,2004.
[11] (美)克勞爾D A,盧瓦爾J F(著),蔣軍成,潘旭海(譯).化工過程安全理論及應用(第2版)[M].北京:化學工業出版社,2006.
[12] JO Y D,BUM J A.A method of quantitative risk assessment for transmission pipeline carrying natural gas[J].Journal of Hazardous Materials,2005,(123):1-12.
[13] 劉斐,劉茂.城市燃氣管線的定量風險分析[J].南開大學學報自然科學版,2006,39(6):31-36.
[14] 宋岢岢.壓力管道設計及工程實例[M].北京:化學工業出版社,2007.
[15] (英)MUHLBAUER W K(著),楊嘉瑜,張德彥,李欽華,等(譯).管道風險管理手冊(第2版)[M].北京:中國石化出版社,2005.
[16] MUHLBAUER W K.Pipeline risk management manual ideas,techniques,and resources(Third Edition)[M]Burlington(USA):Gulf Professional Publishing,2004.
(本文作者:杜學平1 劉燕2 劉蓉1 張應輝2 1.北京建筑工程學院 北京 100044;2.北京市燃氣集團有限責任公司 北京 100035)
贊 賞 分享
您可以選擇一種方式贊助本站

支付寶轉賬贊助

微信轉賬贊助
