摘要:分析了導致天然氣調壓站泄漏造成火災、爆炸的危險因素,遵循安全評價中事故最大化原則,以蒸氣云爆炸為模型,對天然氣泄漏火災、爆炸的災害后果進行了定量分析。在泄漏面積為1mm2的情況下,即使泄漏持續5min,四級損傷半徑會達到6.62m。在工程的設計、施工及運行管理階段要制定有針對性的安全措施并嚴格執行。
關鍵詞:調壓站;泄漏;火災;爆炸;安全評價
Safety Evaluation and Management of Natural Gas Regulator Station
WEI Fan,QU Ying
Abstract:The risk factors causing leakage at natural gas regulator station,resulting in fire and explosion,are analyzed. The consequences of fire and explosion from leakage of natural gas are quantitatively analyzed by vapor cloud explosion model according to the accident maximization principle in safety evaluation. Under the condition of leakage area of 1mm2,the four-stage damage radius will reach 6.62m even if the leakage lasts for 5 rain. The safety measures must be established and strictly implemented in the project design,construction and operation management.
Key words:regulator station;leakage;fire;explosion;safety measure
調壓站是天然氣輸配系統的重要組成部分,其安全運營是天然氣穩定供應的重要保證。由于調壓站內設備繁雜,且天然氣運行壓力較高,一旦燃氣發生泄漏,易造成火災、爆炸或中毒等事故[1、2]。本文對天然氣調壓站存在的安全問題進行分析,提出有效的防范措施,消除安全隱患,從而確保城市燃氣安全、平穩供應。
1 主要危險因素分析
1.1 介質本身的危險性
天然氣是易燃易爆的物質,屬于甲類火災危險性物質[3]。天然氣泄漏后,極易擴散到空氣中,形成蒸氣云,遇火源或高溫熱源極易發生爆炸。此外,天然氣為烴類混合物,雖然毒性較低,但長期接觸也可出現神經衰弱綜合癥,危害人體健康。
1.2 工藝過程危險性
調壓器是調壓站的主要設備,其功能是根據燃氣的需要情況將燃氣調至不同壓力,實現穩定輸送[4]。由于設備及管道材質的問題、施工不當、運行管理不到位等原因,均會造成燃氣泄漏,引起火災、爆炸等安全事故[5~7]。
① 設備及管道材質問題
調壓器的工作壓力較高,要求設備和管道的材質滿足強度要求。在設計及選型過程中,如果對設備和管道規格、材質要求不合理,必將對后繼過程產生嚴重影響,造成安全隱患。
② 施工質量問題
施工質量不僅與系統的使用壽命、經濟效益緊密相關,而且關系到系統的運行安全。施工質量的影響因素主要有施工現場管道焊接質量不合格、設備安裝存在缺陷。
③ 運行管理問題
a. 設備超壓
為保證調壓器穩定運行,必須時刻監測調壓設備進出口燃氣壓力,一旦出現超壓情況,不僅會損害調壓器,甚至會危及站區和管網的運行安全。調壓設備超壓受以下幾個方面影響:上游來氣壓力升高,進口壓力表出現故障而未能及時顯示;調壓器運行過程中安全閥失效,致使超壓燃氣無法放散;運行過程中人員操作失誤等。超壓爆炸雖然屬于物理爆炸,但爆炸后引起的燃氣泄漏極易引發后繼的火災、爆炸。
b. 天然氣泄漏與爆炸
設備、管道被腐蝕,密封件失效,儀器、儀表故障,人為誤操作,外界干擾等均是造成燃氣泄漏的因素。泄漏燃氣遇到站區內火源如施工動火、雷電、靜電火花等,易被引燃,發生爆炸。
2 天然氣泄漏爆炸事故災害后果分析
通過對危險有害源辨識可知,由天然氣泄漏導致的火災、爆炸事故是影響面最廣、發展最迅速、后果最嚴重的燃氣事故之一。
天然氣爆炸事故大多是由天然氣泄漏后遇到點火源而形成。事故引起損失的大小與天然氣的泄漏量和泄漏點附近的人員、財物分布有關。
燃氣泄漏后造成的最不利后果是形成蒸氣云爆炸。本文遵循事故最大化原則,對天然氣爆炸事故進行模擬并對后果進行評價。
2.1 蒸氣云爆炸事故機理
蒸氣云爆炸(Vapor Cloud Explosion,VCE)是由于氣體或易于揮發的液體燃料的大量快速泄漏,與周圍空氣混合形成覆蓋范圍很大的“預混云”,在某一有限空間遇點火源而導致的爆炸。導致蒸氣云爆炸必須具備可燃氣體泄漏并與周圍空氣預混、延遲點火、有限空間等條件。
2.2 天然氣泄漏量計算
造成天然氣泄漏的原因有多種,如閥門、法蘭密封件失效,管道、儲罐腐蝕及疲勞失效,燃氣超壓外溢等。考慮燃氣泄漏的最不利條件,進行天然氣泄漏量計算,先作以下幾點假設:泄漏面積為1.0mm2圓形孔洞;泄漏時管道內絕對壓力為1.7MPa;大氣絕對壓力為101.325kPa;溫度為25℃;從開始泄漏到發生爆炸的時間分別為5min、10min、30min、1h、6h、12h。
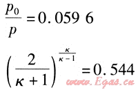
① 天然氣泄漏時流動狀態判斷
滿足式(1)時,流動屬于音速流。

式中p0——大氣絕對壓力,Pa
p——管道內天然氣絕對壓力,Pa
κ——天然氣等熵指數,取1.316
滿足式(2)時,流動屬于亞音速流。

經濟算得:

根據式(1),氣體泄漏屬于音速流。
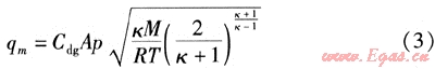
② 天然氣泄漏量計算
音速流的泄漏量可采用下式計算[8]:

式中qm——天然氣泄漏質量流量,kg/s
Cdg——氣體泄漏系數,圓形裂口取1
A——裂口面積,mm2
M——天然氣摩爾質量,kg/mol,取0.016kg/mol
R——摩爾氣體常數,J/(mol·K),取8.314J/(mol·K)
T——天然氣溫度,K,取298K
m=qmt (4)
式中m——t時間內天然氣泄漏量,kg
f——天然氣泄漏持續時間,s
根據式(3)、(4)計算不同泄漏持續時間的天然氣泄漏量,見表1。
表1 天然氣泄漏量
|
泄漏持續時間/min
|
5
|
10
|
30
|
|
m/kg
|
0.82
|
1.64
|
4.91
|
|
泄漏持續時間/h
|
1
|
6
|
12
|
|
m/kg
|
9.81
|
58.86
|
117.71
|
2.3 天然氣蒸氣云爆炸傷害評估
根據荷蘭應用科學研究院(Netherlands Organization for Applied Science Research)建議,蒸氣云爆炸的沖擊波損傷半徑可按下式預測[9]:

式中R——損傷半徑,m
Ca——經驗常數,m·kJ-1/3,取值見表2
N——效率因子,一般取10%
E——爆炸能量,kJ
Qh——天然氣的高熱值,kJ/kg,取55683kJ/kg
表2 Cs取值
|
損傷等級
|
Cs
|
設備損壞情況
|
人員傷亡情況
|
|
一級損傷
|
0.03
|
重創建筑物內的加工設備
|
一級損傷區域內人員中1%死于肺部傷害,50%耳膜破壞,50%被碎片擊傷
|
|
二級損傷
|
0.06
|
破壞建筑物外表,可修復性破壞
|
二級損傷區域內人員中1%耳膜破壞,%被碎片擊傷
|
|
三級損傷
|
0.15
|
玻璃破碎
|
三級損傷區域內人員被碎玻璃擊傷
|
|
四級損傷
|
0.40
|
10%玻璃破碎
|
—
|
聯合式(3)~(6),計算出不同泄漏持續時間下的損傷半徑,見表3。
表3 損傷半徑
|
泄漏持續時間/min
|
5
|
10
|
30
|
|
|
損傷半徑/m
|
一級損傷
|
0.49
|
0.62
|
0.91
|
|
二級損傷
|
0.99
|
1.25
|
1.81
|
|
|
三級損傷
|
2.49
|
3.13
|
4.52
|
|
|
四級損傷
|
6.62
|
8.35
|
12.05
|
|
|
泄漏持續時間/h
|
1
|
6
|
12
|
|
|
損傷半徑/m
|
一級損傷
|
1.14
|
2.07
|
2.61
|
|
二級損傷
|
2.28
|
4.14
|
5.21
|
|
|
三級損傷
|
5.69
|
10.34
|
13.03
|
|
|
四級損傷
|
15.18
|
27.58
|
34.75
|
|
由此可見,泄漏后遇明火點燃的天然氣爆炸事故的危害程度及影響范圍均與泄漏時間有關,泄漏時間越長,泄漏量越大,損傷半徑越大。
3 防止燃氣泄漏火災、爆炸事故的措施
燃氣泄漏導致爆炸的危害重大,為了避免燃氣災害事故的發生,在工程的每一個階段均要制定一系列安全措施,并嚴格執行,確保安全運營。
① 設計方面
天然氣調壓站設計時需充分考慮運行的安全可靠性,嚴格遵循相關規范及規定,采用國內外成熟先進的技術和設備。
設置事故監測和應急裝置,以避免事故的發生或將事故造成的危害及損失降到最低程度。
調壓區內的電氣設備必須選用防爆型,并要保證系統連接完成后,整體防爆性能滿足要求。
② 施工方面
施工企業在進行施工組織設計時,應制定完善的安全技術措施。施工安全技術措施內容必須符合現行安全生產法律、法規和安全技術規范標準。要加強施工現場的安全管理,配備專職安全管理人員。
③ 安全管理方面
天然氣調壓站應按照《壓力管道安全管理與監察規定》(勞動部[1996]140號)進行管理;建立特種設備技術檔案,內容包括設備的設計文件、制造單位、產品質量合格證、使用維護說明等文件;應對設備和管道進行日常維護與保養,并有檢測和維修記錄。
4 結論
① 泄漏是引起火災、爆炸的主要因素,設計不合理、施工和管理階段的不合理操作均會引起燃氣泄漏的發生。
② 蒸氣云模型分析結果表明,1mm2的泄漏面積,即使泄漏持續5min,四級損傷半徑會達到6.62m。火災、爆炸是調壓區應重點防范的事故。
③ 為了防止天然氣泄漏發生火災、爆炸事故,在工程的設計、施工及運行管理階段都要制定安全措施并嚴格執行。
參考文獻:
[1] 邵華.燃氣調壓站的安全裝置及其安全性分析[J].煤氣與熱力,2009,29(6):B01-B04.
[2] 霍俊民,羅維昆.天然氣調壓與安全的探討[J].煤氣與熱力,2004,24(6):315-317.
[3] GB 50016—2006,建筑設計防火規范[S].
[4] 段常貴.燃氣輸配(第3版)[M].北京:中國建筑工業出版社,2001.
[5] 劉寶榮,朱喜成,杜宇峰,等.燃氣系統漏損事故原因的定性定量分析[J].煤氣與熱力,2007,27(5):48-50.
[6] 郭文軍,江見鯨.城市燃氣爆炸事故及其防治對策[J].煤氣與熱力,1998,18(3):41-43.
[7] 賈雁群,李連星,葉茂.燃氣管網泄漏事故原因分析與預防措施[J].煤氣與熱力,2005,25(7):50-61.
[8] 彭世尼.燃氣安全技術[M].重慶:重慶大學出版社,2005.
[9] 張瑞華,陳國華,張暉.TNO多能法在蒸氣云爆炸模擬評價中的工程應用[J].華南理工大學學報(自然科學報),2006,34(5):48-50.
(本文作者:魏璠1 渠穎2 1.天津城市建設學院能源與機械工程系 天津 300384;2.中國市政工程華北設計研究總院 天津 300074)
贊 賞 分享
您可以選擇一種方式贊助本站

支付寶轉賬贊助

微信轉賬贊助




