多段壓裂水平氣井紊流產能模擬模型
——以塔里木盆地克拉蘇氣田大北區塊為例
摘 要:模擬預測壓裂水平氣井產量模型通常未考慮高速非達西流動的影響,特別是進行了多段壓裂的水平氣井的產能計算更未涉及。為此,將裂縫劃分為若干單元,應用點源理論、氣體不穩定滲流公式及勢疊加原理,考慮N條裂縫同時產生相互干擾條件t時刻地層中任一點產生的總壓降計算模型,以及高速非達西流動條件對壓裂水平氣井壓后產能的影響,建立了更為完善的模擬預測壓裂水平氣井產能的新模型。實例模擬計算結果表明:壓裂水平氣井的產量隨著生產時間的增加而逐漸降低且降低的幅度也不斷減小;水平氣井端部裂縫的產量最高,中部裂縫產量次之,中心裂縫產量最低;水平氣井壓后生產動態模擬預測新模型為優選高產水平氣井橫向裂縫數目和裂縫參數、確定合理生產壓差提供了更準確的手段。
關鍵詞:水平井 氣井 多段壓裂 高速非達西流動不穩定滲流 生產模擬 數學模型
A simulation model for the turbulent production of a multi-stage fractured gas well:A case sudy from the Dabei block in Kelasu Gas Field,Tarim Basin
Abstract:Generally,the simulation models of predicting the production of fractured horizontal gas wells never take into account the influence of the high speed non-Darcy flow,especially in the case of the production calculation of a multi stage fractured horizontal gas well.Thus,the fractures were first divided into different groups,then the point source theory,the unstahle gas seepage formula and the potential superposition theory were adopted to establish the calculation model considering the total pressure drop of any point in the formation at the time t and under the mutual interferences simultaneously generated by the fractures with the number of N,and finally a better simulation roodel was built of predicting the production of a fractured horizontai gas well considering the impact of the high speed Darcy flow on a post-frac horizontal well.Case studies show that the production of a fractured horizontal well gradually goes down over time,and downward margin decreases too;the fractures at the top of the horizontal well stand out for their highest gas output,followed by those in the middle and the lowest by those in the center;this new simulation model is a more accurate tool to determine an optimized number of horizontal fractures and more suitable fracture parameters for a more reasonable drawdown pressure.
Key words:horizontal well,gas well,multi stage fracturing,high speed non Darcy flow,unstable seepage,production simulation,mathematical model
水平井是有效開發低滲透儲層的重要技術,尤其是完井與壓裂工藝技術的完美結合開創了低滲透、極低滲透儲層高效開發的新紀元[1]。壓裂水平井生產動態模擬預測一直得到國內外工程技術界人士的高度重視。國外率先對多段壓裂水平氣井的產量預測開展研究,主要是針對地層和裂縫中的達西滲流規律建立水平井多段壓裂生產模擬模型[2-4]。歸結起來大致可以分為兩類:一類是基于穩定滲流理論,把整條裂縫看成一個點匯或者線匯,然后利用勢疊加原理或積分變換建立壓裂水平井壓后產能解析模型[5-9];另一類是基于不穩定滲流理論,將每條裂縫分成若干微元段,然后利用勢疊加原理或積分變換建立壓裂水平井壓后產能半解析模型[10-12]。
我國西部克拉蘇氣田大北區塊儲層埋藏較深、壓裂施工壓力很高、水平井壓裂施工難度極大。借鑒水平井多段壓裂開發的核心思想,開發方案設計的壓裂水平氣井產量將達到甚至超過100×104m3/d,高速流動產生的紊流效應對水力壓裂和氣井生產的影響必然不可忽略而必須高度重視。一方面用于優化水平井裂縫條數和各條壓裂裂縫參數,另一方面用以確定壓裂水平氣井的開采工作制度。但在水平氣井多段壓裂紊流(高速非達西流動)下產能模擬方面幾乎仍是空白,前述兩類模型雖然都呵以考慮橫向多段壓裂裂縫之間的相互干擾、通過簡化考慮非對稱兩翼人工裂縫影響,但都沒有考慮非達西因素對壓裂井產能的影響。筆者對此進行探索以滿足實際工程的迫切需要。
1 壓裂水平氣井產能預測新模型
考慮壓裂水平井有N條縫垂直于水平井筒的橫向人工裂縫,建立圖1所示坐標。當壓裂形成奇數條裂縫時,以中間那條裂縫和水平井井筒相交的點作為原點;當壓裂形成偶數條裂縫時,以中間兩條裂縫間距的平分線與水平井井筒的交點為原點。再由其他裂縫與該裂縫間的幾何位置間距,可以依次確定每條裂縫的坐標。
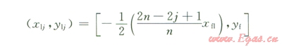
如圖l所示,將裂縫的兩翼分別分成咒單元,每一單元視為一個點匯進行處理。以第j單元的中心坐標來表示左翼裂縫上的第j個點匯的坐標(x1j、y1j):

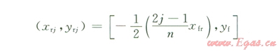
同理,其右翼裂縫上的第J個點匯的坐標可以表示為:

式中xf1為裂縫左翼的長度,m;xfr為裂縫右翼的長度,m;yf為裂縫Y方向坐標。
根據氣體不穩定滲流公式[12]以及勢疊加原理,N條裂縫同時生產時,在t時刻地層中任一點(x,y)產生的總壓降為:

式中pi為原始地層壓力,Pa;p(x,y,t)為地層中點(x,y)在t時刻的壓力,Pa;qflij為第i條裂縫左端第j段的產量,m3/s;xfli、xfri分別為第i條裂縫左、右翼的長度,m;ps為地面標況下的壓力,Pa;Z為偏差因子;m為氣體黏度,Pa·S;K為地層滲透率,m2;h為產層厚度,m;t為滲流時間,s;T為地層溫度,K;ts為地面標準溫度,K;h為導壓系數;yfi為第i條裂縫y方向坐標。

由于水力裂縫的產生,使得地層壓力重新分布。使得地層壓力重新分布。假設第i條裂縫的左翼和右翼的縫端壓力分別為pflj和pfri。則t時刻可得第i條裂縫的左翼尖端產生的壓降為:

同理,則t時刻第i條裂縫右翼尖端產生的壓降為:

式中pfli、pfri分別為第i條裂縫左翼端部和右翼端部的壓力,Pa;如;xflk、xfrk;分別為第k條裂縫左翼和右翼的長度,m;yfk為第k條裂縫在Y方向的坐標。
如果壓裂裂縫關于井筒不對稱,進行簡化處理。取裂縫兩端的平均壓力作為裂縫尖端壓力,即

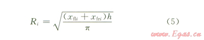
根據面積相等(xfli+xfri)h=Ri2,可得:

第i條裂縫就可以看成是一個以流動半徑為Ri,厚度為裂縫寬度wi,邊界壓力為裂縫尖端壓力p(xfi,yfi,t),滲透率為Kf,流壓pwf的微型氣藏,其流動方式可以看成徑向流,所以氣體在裂縫內的流動過程可表示為:

對于高產氣井,地層和裂縫均可能產生高速非達西流動,即紊流效應。當地層壓力不太高且生產壓差不是很大的時候,忽略地層紊流效應,認為高速非達西流動只發生于裂縫內。那么,高速非達兩流動產生的附加壓降也主要發生在裂縫內,類似于表皮效應的處理思路,可以用流量相關表皮系數(Dqfi)來表示,則可將式(6)改為:

其中

對于非達西影響系數的描述有很多種,筆者應用Jones[13]公式來描述非達西影響系數:
b=2.0127×1011/Kf1.55 (8)
式中b為描述裂縫的紊流影響的系數,m-1;rg為氣體相對密度。
2 實例計算
某氣藏壓裂層有效藏厚度8m,地層滲透率為10mD,地層溫度80℃,井筒半徑0.1m,水平井段長度400m;原始地層壓力27.56MPa,井底流壓為23.56MPa;氣體黏度為0.022mPa·S,氣體壓縮因子為0.957。壓裂形成5條橫向裂縫,各條裂縫長度200m,裂縫滲透率50D,支撐裂縫寬度0.003m。模擬計算結果如圖2、3所示。


由圖2可以看出:壓裂水平氣井的產量隨著生產時間的增加而逐漸降低,且降低的幅度也不斷減?。槐M管壓裂水平氣井壓后初期產量高于后期產量,但非達西流動對壓裂水平氣井產量的影響非常顯著。這與單裂縫考慮非達西因素的計算結果一致;即產量越高,非達西因素對壓裂水平氣井產能影響越明顯。
由圖3可以看出:水平氣井端部裂縫(1號和5號裂縫)的產量最高,中部裂縫(2號和4號裂縫)產量其次,中心裂縫(3號裂縫)產量最低。這是由于多裂縫之間干擾相互疊加影響的結果,水平氣井端部裂縫受到的干擾最小,而中心裂縫受到的干擾最大。與不考慮高速紊流(非達西流動)時的產量變化規律相似。
3 結論與認識
1)基于不穩定滲流,考慮了水平氣井橫向多裂縫干擾和高速非達西流動對壓裂水平氣井產能的影響,建立了模擬預測壓裂水平氣井產能的新模型。該模型更準確地反映壓裂水平氣井的生產特性。
2)壓裂水平氣井的兩端裂縫的產量最大,中間裂縫的產量最低。但同時非達西因素對兩端裂縫比對中間裂縫產量的影響更顯著。
參考文獻
[1]STANOJCIC M,RISPLER K.How to achieve and control branch fracturing for unconventional reservoirs:Two novel multistage-stimulation processes[C]∥paper l36566 presented at the Canadian Unconventional Resources&International Petroleum Conference,19-21 October 2010,Calgary,Alberta,Canada.New York:SPE,2010.
[2]ROBERTS B E,ENGEN H V.Productivity of muhiply fractured horizontal wells in tight gas reservoirs[C]//paper 23113 presented at the Offshore Europe Conference,3-6 September l991,Aberdeen,United Kingdom.New York:SPE,l991.
[3]SOLIMAN M Y,AZARI M,HUNT J L,et al.Design and analysis of fractured horizontal wells in gas reservoirs[C]//paper 35343 presented at the International Petroleum Conference and Exhibition,5-7 March l996,Villahermosa,Mexico.New York:SPE,1996.
[4]BAGHERIAN B,SARMADIVALEH M,GHALAMBOR A,et al.Optimization of multiple-fractured horizontal tight gas well[C]//paper 27899 presented at the 2010 SPE International Symposium and Exhibition on Formation Damage Control,10-12 February 2010,Lafayette,Louisiana,USA.New York:SPE,2010.
[5]郎兆新,張麗華,程林松.壓裂水平井產能研究[J].石油大學學報:自然科學版,l994,18(2):43-46.
Lang Zhaoxin,Zhang Lihua,Cheng Linsong.Investigation on pkodectivity of fracturen horizontal well[J].Journal of the University of Petroleum:Natural Science Edition,1994,18(2):43-46.
[6]寧正福,韓樹剛,程林松,等.低滲透油氣藏壓裂水平井產能計算方法[J].石油學報,2002,23(2):68-71.
Ning Zhengfu,Han Shugang,Cheng Linsong,et al.Productivity calculation method of fractured horizontal wells in low permeability oil or gas field[J].Acta Petrolei Sinica,2002,23(2):68-71.
[7]韓樹剛,程林松,寧正福.氣藏壓裂水平井產能預測新方法[J].石油大學學報:自然科學版,2002,26(4):36-39.
Han Shugang,Cheng Linsong,Ning Zhengfu.A new method for predicting productivity of fractured horizontal wells in gas reservoir[J].Journal of the University of Petroleum:Natural Science Edition,2002,26(4):36-39.
[8]岳建偉,段永剛,陳偉,等.含多條垂直裂縫的壓裂氣井產能研究[J].大慶石油地質與開發,2004,23(3):46-48.
Yue Jianwei,Duan Yonggang,Chen Wei,et al.Study on productivity performances of horizontal fractured gas well with many vertical fractures[J].Petroleum Geology&.Oil-field Development in Daqin9,2004,23(3):46-48.
[9]孫福街,韓樹剛,程林松,等.低滲氣藏壓裂水平井滲流與井筒管流耦合模型[J].西南石油學院學報,2005,27(1):32-36.
Sun Fujie,Han Shugang,Cheng Linsong,et al.Low permeability gas reservoir fracturing in horizontal well with well bore seepage pipe coupling model[J].Journal of Southwest Petroleum Institute,2005,27(1):32-36.
[10]徐嚴波,齊桃,楊風波,等.壓裂后水平井產能預測新模型[J].石油學報.2006,27(1):89-91.
Xu Yanbo,Qi Tao,Yang Fengbo,et al.New model for productivity test of horizontal well after hydraulic fracturing[J].Acta Petrolei Sinica,2006,27(1):89-91.
[11]雷征東,李相方,鄭紅軍.基于不穩定滲流壓裂水平氣井產能研究[J].天然氣工業,2006,26(4):102-104.
Lei Zhengdong,Li Xiangfang,Zheng Hongjun.A study of deliverability of fractured horizontal gas well based on unsteady state flow[J].Natural Gas Industry,2006,26(4):102-104.
[12]葛家理,劉月田,姚約東.現代油藏滲流力學原理(上)[M].北京:石油工業出版社,2003:167-175.
Ge Jiali,Liu Yuetian,Yao Yuedong.Modern reservoir seepage mechanics:Part I[M].Beijing:Petroleum Industry Press,2003:l67-175.
[13]JONES S C.Using the inertial coefficient,b,to characterize heterogeneity in reservoir rock[C]//paper l6949 presented at the 62nd Annual Technical Conference and Exhibition of the Society of Petroleum Engineers,September 27-30.1987,Dallas.Texas,USA.New York:SPE.1987.
本文作者:胡永全 嚴向陽 趙金洲
作者單位:“油氣藏地質及開發工程”國家重點實驗室·西南石油大學
西南石油大學研究生院
您可以選擇一種方式贊助本站

支付寶轉賬贊助

微信轉賬贊助
