摘 要:天然氣具有可壓縮性,其熱值和華白數等物理特性計算受到不同參比壓力和溫度條件的影響。目前,全球各國天然氣熱值和華白數計算所采用燃燒參比條件和體積計量參比條件并不完全相同。如歐美國家多采用l5℃(或者60℉)的參比溫度,我國國標規定的參比溫度為20℃,這導致在天然氣貿易和氣質管理時勢必和其他國家存在差別。另一方面,國內一些燃氣從業人員,對于天然氣熱值和華白數計算需以參比條件為依據進行并沒有明確的概念,對不同參比條件下計算得到的數值差別很大并不了解或概念很模糊。本文通過系統的解釋天然氣高熱值和華白數計算方法和不同參比條件下各計算結果的換算方法以及不同計量單位之間的換算,得出各參比條件和計量單位之間的換算系數。從而利于今后相關人員更有效的管理天然氣高熱值、華白數等重要物理特性,便于天然氣的進口選擇,同時盡可能保證各氣源氣質管理,使其進入城市燃氣管網后彼此可互換而不引起高昂成本轉化等問題。
關鍵詞:高熱值 華白數 參比條件 換算系數
Abstract: As the gas is compressible,thus its calorific value and Wobbe Index are computed by the reference conditions.At nresent.countries around the world use different reference conditions to calculate calorific value and Wobbeindex of natural gas.Such as Europe and the United States which are like to define l 5℃or 60℉ as referencetemperature,while China’S national standard specifies reference temperature of 20℃.So there are differencesbetween each other,which will lead the trade of natural gas between China and these countries appearing sonleproblems.On the other hand,in China solne domestic gas practitioners are not vetT clear about the conceptof reference conditions.and don’t realize the calculation of natural gas ealorific vahm and Wobbe index mustunder certain temperature and pressure.Therefore,this paper systemically analyzes the themT of conversionincluding wobbe index and superior calorific value calculation on different reference conditions and concludesthe conversion faetor of different reference conditions and different units for natural gas wobbe index andsuperior calorific value calculation.By these conclusions,it is condu(',ive to more effective(in natural gaS tradeand gas quality management in China,as well as possible to ensure that the gas sources which enter into thecity gas network will be interchangeable with each other without incun'ing the high cost of convel’’sion and otherissues.
Keywords:Superior Calorific Wobbe Index Referenee Condition Conversion Factor
1 引言
天然氣作為一種常規一次能源,廣泛地應用于各個領域,且近年來隨著頁巖氣、煤層氣、沿海海氣的開發技術發展,包括LNG等在內的多氣源天然氣不斷被各大城市引進用于應對城市天然氣供應壓力,其種類組分趨于復雜。同其他氣體一樣,天然氣也具有可壓縮性,在體積計量方面受到壓力和溫度影響,如在0℃、1標準大氣壓下其體積量與15℃、1標準大氣壓下并不相等[1],在實際應用中,天然氣的熱值和華白數計算值受到體積計量參比條件的影響,如w(15℃,0℃,101.325kPa)和w(15℃,15℃,101.325kPa)數值差近3個單位。
目前全球各國天然氣熱值和華白數計算所采用燃燒參比條件和體積計量參比條件并不完全相同,表l列出了目前一些歐美亞國家采用的計量標準。相比于歐美國家,亞洲國家所采用的參比條件差別較大,而我國采用的參比條件與主流進出口LNG、天然氣國家不同。天然氣一些特定的物理特性數值很難統一,這勢必給天然氣貿易帶來一定的不便。另一方面我國一些天然氣相關行業人員,對于天然氣的熱值和華白數計算需以參比條件為依據進行,并沒有明確的概念,對不同參比條件下計算得到的華白數和熱值數值差別很大并不了解或概念很模糊。為了明確全球天然氣貿易值,同時保證進入我國的天然氣彼此盡量可互換,讓行業相關人員在實際操作中對天然氣特性參數計算更明確,在天然氣貿易和天然氣氣質管理時,必須對天然氣的一些特定物理特性參數進行明確規定和計量,并將M5't-的計算參比條件統一到我國所采用的計量標準。這樣才有利于天然氣進口的有效選擇,利于天然氣進口和氣質管理。同時盡可能保證各氣源進入城市燃氣管網后彼此可互換而不引起高昂成本轉化等
問題.

2 概念介紹[2-3]
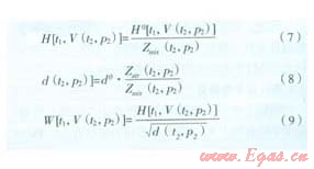
高熱值:規定量的氣體在空氣中完全燃燒時所釋放出的熱量。在燃燒反應發生時,壓力Pl保持恒定,所有燃燒產物的溫度降至與規定的反應物溫度tl相同的溫度,除燃燒中生成的水在溫度tl下全部冷凝為液態外,其余所有燃燒產物均為氣態。上述規定的氣體量由摩爾給出時,則熱值表示為百(tl,p1,);當氣體由體積給出時,則熱值表示為H[(tl,Pl),V(t2,P2)1,其中t2和P2為氣體體積計量參比條件。
華白數:在規定參比條件下的體積高熱值除以在相同的規定計量參比條件下的相對密度的平方根。

壓縮因子:在規定的壓力和溫度條件下,給定質量氣體的實際(真實)體積除以相同條件下按理想氣體定律計算出的該氣體的體積,即對非理想氣體進行體積的壓力和溫度修正。

燃燒參比條件:指規定的燃料燃燒時的溫度tl和壓力pl。計量參比條件:指規定的燃料燃燒時,體積計量的溫度t2和p2。一般常用的燃燒參比溫度tl為:25℃、20℃、15℃及0℃;常用的計量參比溫度t2為:20℃、l5℃及0℃;燃燒和計量參比壓力一般為101.325kPa。
考慮到氣體的理想性和非理想性,本文先對理想氣體的高熱值和華白數在不同計算參比條件下的換算關系進行分析計算,再從特殊到一般,總結出實際氣體的換算關系。同時對不同計量單位在不同參比條件下的轉換關系進行總結。
3 計算分析
3.1理想氣體
對于給定摩爾組分的理想燃氣組分,在燃燒溫度tl和壓力pl、計量溫度t2和壓力p2時的理想體積高熱值計算公式如下:

由于理想摩爾高熱值的數值不受壓力限制,因此,在理想氣體情況下燃燒參比壓力pl與其無關,且認為真實摩爾高熱值與理想摩爾高熱值相等[2-3]。同時,從式(3)可以看出,當計量參比壓力p2不變時,理想氣體體積高熱值與理想摩爾高熱值成正比,與體積計量參比絕對溫度成反比。已知各燃燒參比溫度條件下,理想摩爾高熱值換算關系如表2所示。

通過公式(6)和表2給出的理想摩爾高熱值不同燃燒溫度換算系數,可以計算得到,當壓力保持1Atm不變,不同參比溫度條件下的理想氣體體積高熱值和華白數的換算系數,列于表3。

3.2真實氣體
理想氣體和真實氣體的區別在于前者嚴格遵從氣體狀態方程pV=nRT,而后則并不完全遵從。因此,考慮到真實氣體的非理想性,在計算真實氣體的體積高熱值、比重和華白數時,需要對氣體體積進行修正,一般通過使用真實氣體的壓縮因子Zair來修正。真實氣體體積高熱值、比重、華白數計算公式分別如下:

根據式(5)和(9)可以得到真實華白數與理想華白數的關系為:

天然氣各主要組分在不同體積計量參比條件下的求和因子下表4所示。

由于天然氣組分主要以甲烷為主,占總組分的80%-1 00%,而c3一c7等重烷烴組分比例很小,因而,結合表4和空氣壓縮因子Zair(t2,P2)數值,可以將式(10)簡化為:
W[t1,V(t2,P2)]≈W o[t1,V (t2,P2)] (11)
因此,可以認為真實氣體華白數不同參比條件下的換算系數與理想氣體華白數相同,即可按表3對不同參比條件下的真實氣體華白數進行換算。
3.3各計量單位換算
國際上常用的計量體積單位有m3、scf等;計量溫度單位有℃、℉、K等;計量壓力單位有psi、Pa、bar、Atm等;計量能量單位有J、kWh、Btu、kcaI等[4]。各單位之問的換算關系如表5所示。
目前,各國用于計量天然氣熱值和華白數的常用單位有MJ/m3、kWh/m3、Btu/scf,根據表5可以計算上述3種計量單位彼此之間的換算關系,于表6。

在計算熱值和華白數時,有些地區和國家常采用的參比條件為60℉、60℉、14.73psi,由表5可以換算為15.6℃、l5.6℃、l01.586kPa,通過氣體狀態方程PV=nRT計算,基本可以認為該參比條件等同于15℃、l5℃、101.325kPa。因此在實際應用中,建議直接用后者進行不同參比條件的換算。
4 結論
本文通過對天然氣高熱值和華白數的計算方法以及各參比條件等概念的梳理分析,得出在計算不同參比條件和不同計量單位的天然氣高熱值和華白數時,真實氣體華白數和高熱值在不同參比條件下的換算關系可以等同于理想氣體的換算,各不同參比條件下天然氣華白數和高熱值的換算關系列于表3,不l司計量單位在不同參比條件下的換算關系列于表7。

各國計算熱值和華白數的參比條件并不統一,在天然氣貿易時有必要將國外計算所用的參比條件換算成我國目前國標規定的,這有利于天然氣進網的有效選擇,一定程度上可以控制氣源組分差異較大而引發的互換性問題;另一方面,各不同參比條件的換算方法仍未被深刻和廣泛地認識。因此有必要對其進行認真細致地學習和理解。
參考文獻
1 Council of Standards Australia.AS IS0 1 3443--2007Natural gas--Standard reference conditions Is].2007;12:1—1 1
2 EuroDean Coremittee for Standardization.BS EN ISO6976:2005 Natural gas—Calculation of calorific values,density.relative density and Wobbe index from composition[S].2003;5:1-45
3國家質量技術監督局.GB/T l l062—1998天然氣發熱量、密度、相對密度和沃泊指數的計算方法[s】.l998;6:1—24
4 Individual Thermal Solutions with Boldness&Care.Conversion US·UK·METRIC·SI units for thermal engineers[S]
本文作者:張楊竣 秦朝葵
作者單位:同濟大學機械與能源工程學院


