摘 要:水溶性天然氣是一種重要的非常規天然氣資源,分布廣泛。與氣藏連通良好的大水體中的水溶氣對氣藏具有潛在影響,并可能成為氣藏的補給氣源,但常規物質平衡方法通常未考慮水溶氣的影響。為此,基于質量守恒原理,建立了考慮水溶氣的凝析氣藏物質平衡方程,并基于相平衡原理,利用改進的PR狀態方程計算了多組分天然氣在地層水中的溶解度。將物質平衡計算結果與帶水體的巖心實驗結果進行了對比,并進一步討論了水溶氣對氣藏的影響。研究結果表明,新建立的考慮水溶氣的凝析氣藏物質平衡方程具有可靠性,水溶氣對氣藏的總儲量和生產動態均有影響,影響的大小與地層溫度、壓力、水體大小以及水溶氣與凝析氣之間的組成差異有關。該研究成果對于提高帶水體凝析氣藏的開發水平具有重要參考價值。
關鍵詞:物質平衡法 凝析氣藏 水體 水溶氣 溶解度 相平衡 儲量 數學模型
Material balance equation of a condensate gas reservoir considering water soluble gas
Abstract:The water soluble gas is another very important kind of unconventional natural gas resources with a wide distribution.The soluble gas contained in the big water body well connected to a gas reservoir bears potential influence on the gas reservoir and is likely to become the replenishment of gas source for the reservoir,however,the conventional material balance equation never considers this impact of water soluble gas.Thus,based on the Moore Conservation Law,a material balance equation is developed for condensate gas reservoirs that considers the water soluble gas,and according to the phase equilibrium principle,the improved PR equation of state is adopted to calculate the solubility of the multi component natural gas in formation water.Through the comparison of the calculation results of the material balance equation with those of the water bearing core test,the influence is further discussed of water soluble gas on a gas reservoir.The research results demonstrate that this newly formcd material balance equation is reliable and the water soluble gas does influence the total reserves and deliverability of a gas reservoir,the influence degree of which is related to for mation temperature。strata pressure,water body size,and the difference in components between water soluble gas and condensate gas.This study is of great value in providing reference for improving the development level of condensate gas reservoirs with a waterbody.
Key words:material balance principle,condensate gas reservoir,water layer,water soluble gas,solubility,phase equilibrium,reserve.mathematical model
水溶性天然氣是一種重要的非常規天然氣資源,在世界范圍內廣泛分布,在高溫高壓水體中含量尤其豐富[1]。隨著非常規油氣資源的開發利用不斷取得進展,水溶氣的資源潛力也受到關注。在油氣田勘探開發實踐中,時常遇到與大水體連通良好的氣藏或凝析氣藏,其中的水溶氣可能成為重要的補給氣源并對生產動態造成影響。以往的凝析氣藏物質平衡方程考慮了包括相變在內的諸多因素的影響[2-6],但均未考慮水溶氣的影響。筆者基于摩爾守恒原理建立了考慮水溶氣的凝析氣藏物質平衡方程,并基于相平衡原理計算了天然氣在地層水中的溶解度,最后利用實驗結果對物質平衡方程進行了驗證,并對水溶氣造成的影響進行了討論。
1 物質平衡方程的推導
基于質量守恒原理進行方程推導,基本假設為:①系統壓力處于平衡狀態,溫度保持不變;②系統處于相平衡狀態;③水體和束縛水中飽和溶解有水溶氣;④氣藏原始壓力高于露點壓力。摩爾守恒基本關系為:采出的井流物摩爾量=原始氣相摩爾量+原始水溶氣摩爾量剩余氣相摩爾量-剩余凝析液相摩爾量-剩余水溶氣摩爾量。即

累計采出的井流物摩爾量為:

原始氣相摩爾量為:

原始狀態下水體和束縛水中的水溶氣摩爾量為:

M為水體倍數,定義為水體體積與氣藏原始孔隙體積之比:

開采一段時間后,氣藏剩余氣相摩爾量為:

氣藏剩余凝析液相摩爾量為:

應當注意的是,隨著釋放出的水溶氣進入氣藏,氣藏氣相和凝析液相性質會受到一定影響。當水溶氣含量較多,水溶氣與凝析氣組成差異較大時,這種影響將逐漸增大,要求相關參數如Zfg、S1、r1、M1具有代表性。
當前烴類孔隙體積等于原始烴類孔隙體積減去孔隙收縮體積、束縛水膨脹體積和凈水侵量:

ce為有效壓縮系數,定義為:

經歷開采過程中水體與束縛水的膨脹以及地層水的產出之后,剩余水溶氣摩爾量為:

將式(2)~(10)代人式(1),即得到考慮水溶氣的凝析氣藏物質平衡方程:

或者表示為:

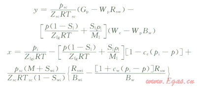
需計算儲量時,式(12)可變形為:

其中

注意到x和y均為壓力的函數,不同壓力下的數據點在y—x坐標圖中應位于同一直線上,直線的斜率即原始烴類孔隙體積。計算過程中可采用試算法確定部分未知項。包含自由氣與水溶氣的總儲量為:

2 水溶氣溶解度及組成特征
天然氣在地層水中的溶解度受到溫度、壓力、地層水礦化度以及天然氣組成等因素的影響[7-9]。由于天然氣在水中的溶解屬氣液平衡問題,溶解度除通過實驗測定外,也可根據相平衡原理進行計算。對于地層條件下的高壓相平衡問題,可采用狀態方程法。廣泛使用的PR狀態方程[10]形式為:

由于水分子為極性分子,加之地層水含電解質,直接采用原PR方程及混合規則計算結果偏差很大。Sfreide等[11]提出對PR方程作出如下改進。
1)對水組分的溫度函數項aw(T)作出改進,使之成為礦化度(csw)和純水對比溫度(Tr)的函數:

2)對混合規則作出改進,非水相和水相分別采用兩套不同的二元交互作用系數。非水相中的烴水交互作用系數采用擬合的固定值;水相中的烴—水交互作用系數(kijAQ)作為烴組分偏心因子(w)、對比溫度(Tr)和礦化度(csw)的函數,即

其中A0=1.1120-1.7369w-0.1
A1=1.1001+0.8360w
A2=0.15742-1.0988w
a0=4.7863×10-13w4
al=1.4380×10-2
a2=2.1547×10-3
利用改進的PR方程結合相平衡模型計算不同溫度、壓力條件下的溶解氣水比(圖1)。

此外,由于天然氣中的各組分在水中的溶解度不同,故水溶氣與凝析氣之間存在組成差異。各組分溶解度順序為:CO2>CH4>N2>C2>C3>C4>C5>C6[7-9]。利用改進的PR方程計算相平衡狀態下水溶氣與自由氣部分組分含量(表1)。甲烷含量較高的水溶氣從水中脫溶進入凝析氣藏,對流體相態具有潛在影響。

3 實例分析
利用帶水體的巖心衰竭實驗對物質平衡方程進行驗證。實驗基本參數為:原始地層壓力32.9lMPa,溫度106.6℃,巖心孔隙體積142.9cm3,孔隙度26.4%,束縛水飽和度20.3%,水體倍數5.38。凝析氣原始偏差因子0.9882,露點壓力30.93MPa。物質平衡方程主要計算參數見表2,由圖2直線斜率得原始烴類孔隙體積為ll3.26cm3,與實際值(113.89cm3)接近。含水溶氣的總儲量計算值為31469cm3,與衰竭到大氣壓得到的實測儲量(32396cm3)接近,其中水溶氣儲量2732cm3,約占總儲量的8.5%。利用物質平衡方程預測井流物產量(圖3)。考慮水溶氣的預測值高于不考慮水溶氣的預測值,并與實測值更為吻合。由于通常情況下未將水溶氣儲量計入氣藏總儲量,故仍以自由氣儲量為基礎,利用物質平衡方程預測采出程度(表3),可見水溶氣的釋放是造成采出程度升高的原因之一。




4 結論
1)基于摩爾守恒原理建立r考慮水溶氣的凝析氣藏物質平衡方程,并通過實驗進行了驗證。表明該方程具有可靠性,能更加準確地反映帶大水體的凝析氣藏的開發動態。
2)水溶氣是一種重要的非常規天然氣資源。水體較大時,水溶氣儲量可觀,可成為氣藏的補給氣源;水溶氣釋放提供的額外驅動能量,對產量、采收率均有有利影響;水溶氣與凝析氣之間的組成差異,對凝析氣藏相態具有潛在影響。
3)水體大小、溫度、壓力、地層水礦化度、水溶氣與凝析氣之間的組成差異,是決定水溶氣對凝析氣藏影響大小的關鍵因素。
符號注釋
a、b分別為狀態方程參數;Bg為天然氣體積系數,m3/m3;Bw為地層水體積系數,m3/m3.cf為巖石壓縮系數,Mpa-1;cw為地層水壓縮系數,Mpa-1;ce為有效壓縮系數,Mpa-1 ;csw為地層水礦化度(質量摩爾濃度),mol/kg;G為總儲量(含自由氣與水溶氣),m3;Gfg為自由氣儲量,m3;Gsg為水溶氣儲量,m3;Gp為累計井流物產量,m3;kijAQ為水相中的烴水交互作用系數;M為水體倍數;M1為凝析液摩爾質量,kg/kmol;n為摩爾量,kmol;p為壓力,MPa;R為通用氣體常數,Mpa·m3/(kmol·K)或atm·cm3/(mol·K);Rsw為溶解氣水比,m3/m3;s1為凝析液飽和度;T為溫度,K;Tr為對比溫度;VAQ為水體體積,m3;VHC為烴類孔隙體積,m3;Vm為摩爾體積,cm3/mol;Vp為孔隙體積,m3;Vwc為束縛水體積,m3;We為水侵量,m3;Wp為累計產水量,m3;aw(T)為水組分溫度函數項;DVp為孔隙體積變化,m3;DVAQ為水體體積變化,m3;DWwc為束縛水體積變化,m3;r1為凝析液密度,kg/m3;w為偏心因子。下標:i為原始p;sc為標準狀況;fg為自由氣;sg為水溶氣;p為產出;r為剩余;l為凝析液。
參考文獻
[1]王雪吾,劉濟民.我國水溶性天然氣資源分析與預測[J].天然氣工業,l994,14(4):18-21.
Wang Xuewu,Liu Jimin.Analysing and predicting the resources of water soluble gas in China[J].Natural Gas Industry,1994,14(4):l8-21.
[2]馬永祥.對凝析氣藏物質平衡方程的研討[J].石油勘探與開發,l997,24(6):45-50.
Ma Yongxiang.A study on material balance equation for gas condensate reservoir[J].Petroleum Exploration and Development,1997,24(6):45-50.
[3]戚志林,唐海,杜志敏.帶油環的凝析氣藏物質平衡方程[J].天然氣工業,2003,23(1):70-72.
Qi Zhilin,Tang Hai,Du Zhimin.Material balancc equation of oil-rimming condensate gas reservoir[J].Natural Gas Industry,2003,23(1):70-72.
[4]李騫,李相方,郭平,等.異常高壓凝析氣藏物質平衡方程推導[J].天然氣工業,2010,30(5):58-60.
Li Qian,Li Xiangfang,Guo Ping,et al.Deduction of the material balance equation of abnormal high pressure gas condensate reservoirs[J].Natural Gas Industry,2010,30(5):58-60.
[5]劉志斌,劉道杰,田中敬.高溫高壓凝析氣藏物質平衡方程的建立——考慮氣藏氣相水蒸氣含量及巖石顆粒的彈性膨脹作用[J].天然氣工業,2011,3l(7):37-39.
Liu Zhibin,Liu Daojie,Tian Zhongjing.Establishment of material balance equation of HPHT gas condensate resetvolts:Taking into account the water vapor content of gas phase and the elastic expansion of rock partlcles[J].Natural Gas Industry,2011,31(7):37-39.
[6]付新,汪周華,郭平,等.考慮毛細管壓力影響的裂縫孔隙性凝析氣藏注氣物質平衡方程的建立與應用[J].天然氣工業,2011,31(9):65-68.
Fu Xin,Wang Zhouhua,Guo Ping,et al.EstablisImlent and application of the material balance equation in gas inj ection for fractured-porous gas condensate reservoirs while con sidering the influence of capillary pressure[J].Natural Gas Industry,2011,31(9):65-68.
[7]付曉泰,盧雙舫,王振平,等.天然氣組分的溶解特征及其意義[J].地球化學,l997,26(3):60-66.
Fu Xiaotai,Lu Shuangfang,Wang Zhenping,et al.Dissolving character for the components of natural gas and its significance[J].Geochimica,l997,26(3):60-66.
[8]DHIMA A,DE HEMPTINNE J C,MORACCHINI G.Solubility of light hydrocarbons and their mixtures in pure water under high pressure[J].Fluid Phase Equilibria,1998,l45(1):129-150.
[9]TANG X L,JIANG Z X,LI F G,et al.Solubility measurement of natural gas in reservoir formation water under(333.2 to 393.2)K and(15.0 to 43.6)MPa[J].Journal of Chemical and Engineering Data,2011,56(4):1025-1029.
[10]SFPENG D Y,ROBINSON D B.A new two-constant equation of state[J].Industrial and Engineering Chemistry Fundamentals,1976,15(1):59-64.
[11]SOREIDE I,WHITSON C H.Peng Robinson predictions for hydrocarbons,CO2,N2,and H2S with NaCl brine[J]。Fluid Phase Equilibria,l992,77(15):217-240.
本文作者:郭平 歐志鵬
作者單位:“油氣藏地質及開發工程”國家重點實驗室·西南石油大學
您可以選擇一種方式贊助本站

支付寶轉賬贊助

微信轉賬贊助
