摘要:不考慮壓裂水平氣井水平段壓力損失的壓裂水平氣井被視為理想壓裂水平氣井,其產量為每條裂縫產量之和,這顯然不符合實際情況。為此,進行了相關公式的推導并結合中東某氣藏氣井壓裂的實例,分析了在考慮井筒壓力損失的情況下裂縫位置、井筒半徑和裂縫半長對壓裂氣井的產能影響。研究結果表明:端部裂縫的產氣量高于中部裂縫的產氣量;井筒半徑對壓裂水平井產能的影響有限;裂縫長度對產能有最優值存在,裂縫不是越長就越好。這些結論對實際氣井的壓裂增產具有一定的指導意義。
關鍵詞:水平井;壓裂(巖石);生產能力;壓力;損失;影響;因素
1 公式推導
氣體在水平段井筒中的流動方式包括井筒內的主軸流動和裂縫內的氣體向井筒的徑向流動,假定水平井筒可以看做是一水平圓管,水平井筒內的氣體作等溫、穩定、單相流動[1~4]。由于壁面摩擦和流體匯流影響,存在一定的壓力損失[5]。
以井筒上第j條裂縫和第j+1條裂縫之間的滲流進行研究(圖1),第j條裂縫左端的進入壓力為p1j,出口端的壓力為p2j,,進入口速度和出口速度為v1j和v2j。考慮井筒內壓降,由動量定理可得:

式中m為質量流量,m=ρAv;ρ為氣體的密度;A為井筒橫截面面積;τw為井筒壁面剪切應力。

因為裂縫內的氣體在井筒周圍做的是平面徑向流動,所以有pfjAfj=0。對式(1)進行整理后得:

其中△pwj為壁面剪切應力造成的摩擦壓力降。即

取τw=fρv2/8,則式(3)可寫為:
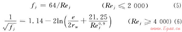
fj為第j段水平井筒壁面摩擦系數,可由下式計算得到:
由Re=2ρvrw/μ可得:
式中rg為天然氣相對密度;Ma為干燥空氣視分子量,kg/mol;e為井筒管壁絕對粗糙度;Re為雷諾數。
2 算例及敏感性分析
中東某氣藏氣體相對密度0.58,井筒管壁粗糙度0.16mm,氣層厚度8.25m,水平滲透率10.31mD,地層壓力28.4MPa,井底壓力24.29MPa,地層溫度103.1℃,井筒半徑0.05m,氣體黏度0.023mPa·s,氣體壓縮因子1.014,裂縫半長105.3m,裂縫滲透率31.56mD,裂縫寬度0.0055m,井筒長度420m。根據上面的公式計算,當壓開3條裂縫并考慮水平井筒內的壓力損失時,產氣量為53.75×104m3/a,若不考慮水平井筒的壓力損失,其產氣量為55.7567×104m3/a。由此可以看出,井筒內壓力損失的存在的確會降低水平井的產量。
2.1 裂縫位置對產氣量的影響
圖2為壓開3條裂縫的水平井在不同井筒長度情況下每條裂縫產氣量的比較:端部裂縫的產氣量高于中部裂縫的產氣量;不考慮井筒內的壓力損失時,裂縫的產氣量呈對稱分布;考慮井筒內的壓力損失時,指端裂縫的產氣量有所下降,但仍高于中部裂縫的產氣量。
2.2 井簡半徑對產能的影響
圖3為不同井筒半徑下,產氣量隨井筒長度的變化關系。可以看出:井筒長度相同時,井筒半徑越小,對產能的影響也越大,影響的幅度也越明顯;當井筒半徑大到一定的值后,井筒內壓力損失所造成的產量降低將不再明顯。在相同井筒半徑和裂縫條數下,壓裂水平井的產量不與水平段的長度成正比,當水平段長度達到一定的值后,產量的增加將變得緩慢。
2.3 裂縫半長對產能的影響
由圖4可見,壓裂水平氣井的產能隨裂縫半長的增加而增加,但增長的幅度在逐步下降。因此,裂縫不是越長越好,特定的地層存在一個最佳值。因此,靠提高裂縫長度來大幅度增加產氣量的辦法是不經濟的。
3 結論
1) 考慮井筒壓力損失的水平氣井壓裂產能公式較理想情況更能反映產能情況。
2) 壓裂水平井的每條裂縫的產量不相等,端部裂縫的產量高于中部裂縫的產量。井筒內壓力損失使水平井的產量降低和井筒內壓力不均勻分布。
3) 井筒半徑對壓裂水平井產能的影響有限,當井筒半徑達到一定的范圍之后,井筒內的壓力損失對產能的影響將不明顯。
4) 裂縫不是越長越好,壓裂井產能增長幅度隨縫長增加而下降。
參考文獻
[1] 范子菲,方宏長.裂縫性油藏水平井穩態解產能公式研究[J].石油勘探與開發,1996,23(3):52-63.
[2] 張建軍,吳曉東,孫天禮.低滲透氣藏縱向縫壓裂水平氣井穩態產能計算方法[J].天然氣工業,2008,28(4):96-98.
[3] 雷征東,李相方,鄭紅軍.基于不穩定滲流壓裂水平氣井產能研究[J].天然氣工業,2006,26(4):102-104.
[4] 付玉,郭肖.煤層氣儲層壓裂水平井產能計算[J].西南石油學院學報,2003,25(3):44-46.
[5] 寧正福,韓樹剛.低滲透油氣藏壓裂水平井產能計算方法[J].石油學報,2002,23(2):68-71.
(本文作者:姜必武1 崔勇1 穆祥靜2 韓志華3 夏彥旭3 唐龍遜4 1.中國石油海外勘探開發公司;2.海軍工程大學油料教研室(天津);3.中國石油天然氣管道通信電力工程總公司廊坊通信分公司;4.西南石油大學)
贊 賞 分享
您可以選擇一種方式贊助本站

支付寶轉賬贊助

微信轉賬贊助
- 注解:本資料由會員及群友提供僅供閱讀交流學習,不得用于商業用途!
