摘要:中國石油化工股份有限公司川東北河壩區塊大斜度定向井,在不同工況作業(如正常、滑動鉆進、起下鉆等)過程中都存在著造斜段軌跡控制難度大、施工摩擦阻力大等難題。為此,從井眼軌道設計入手,在系統分析常用軌道設計方法的基礎上,得出除了查圖法和作圖法外,一般應采用解析法進行設計的認識,設計思路:首先根據給定設計條件求出不同軌跡關鍵參數,然后求出軌道節點數據,最后求出軌道分點數據。結合該區塊大斜度定向井的特點,對軌道設計中的關鍵參數、軌道剖面類型等進行優化,優化設計原則:①軌跡設計必須滿足地質靶點、中靶方位以及現場施工條件(如鉆機型號、定向儀器等)的要求;②井眼軌跡幾何形狀最優化設計首先須滿足常規導向鉆具組合造斜率的要求、特定套管柱和井眼軌跡的相互適應性,其次要求軌跡最短、管柱的摩擦阻力相對最小,最后要求軌跡光滑過渡和井眼曲率均勻。優化設計的步驟:先根據地質參數(如靶點垂深、水平位移等)和工藝水平(如定向工具型號、性能等),對造斜點以下井段進行鉆井方式和鉆具組合設計,然后才能對大斜度井井眼軌道進行優化設計。將所形成的大斜度定向井軌道優化設計技術成果應用于HB1-1D等多口大斜度井鉆井設計和施工作業中,均順利實現了地質中靶和完井作業,為該區塊后續部署井的軌道設計提供了依據。
關鍵詞:四川盆地東北部;河壩區塊;大斜度井;軌跡控制;摩擦阻力;扭矩;軌道優化設計;鉆具組合設計
大斜度定向井是解決井位部署難題和提高油氣單井產能的一種新井型。近年來,中國石油化工股份有限公司為了加快四川盆地東北部河壩區塊勘探開發進程,針對山區地貌部署了一批以下三疊統嘉陵江組嘉二段和飛仙關組飛三段為目的層的大斜度定向井,大都具有鉆遇多套陸海相地層、井深逾5000m,鉆井液密度逾2.0g/cm3、造斜點深度逾4000m,水平位移逾1500m等特點,其中上部陸相地層傾角大、易井斜,軌跡控制難度大;地層呈不整合接觸,漏層多、位置不確定,地層承壓能力低;下部海相地層屬于高壓地層、嘉五段一嘉四段鹽膏層發育,存在縮徑現象[1]且大都處于造斜井段,進一步增加了不同工況作業(如正常、滑動鉆進、起下鉆等)過程中造斜段軌跡控制的難度。為此,從井眼軌道設計入手,在系統分析常用軌道設計方法上[2~6],結合河壩區塊大斜度定向井特點,對軌道設計中關鍵參數、軌道剖面類型等進行優化,形成了該區大斜度井軌道優化設計技術,并成功應用于HB1-1D等多口大斜度井鉆井設計和施工中。
1 軌道設計方法對比分析
1.1 基本數據
設計井眼軌道通常由4部分組成:oa段——直井段,ab——圓弧過渡段,bc段——特殊曲線井段(圓弧、懸鏈線或擬懸鏈線等),cd段——穩斜井段(如圖1所示)。主要參數有:①靶點垂深Dd,水平位移Sd;②oa段:造斜點垂深Da,井斜角αa;③ab段:造斜率Ka或曲率半徑Ra;④cd段:穩斜角αc、穩斜段長度Lw等[3]。

1.2 設計方法
當前,定向井井眼軌道設計有常規(直線和圓弧)和非常規(直線、圓弧和某種特殊曲線)兩大類,主要有圓弧、擺線、懸鏈線、擬懸鏈線、側位懸鏈線、側位拋物線及修正懸鏈線等設計方法。總體上說,井眼軌道都具有垂直段、造斜段和穩斜段三段共性,其主要區別在于各種設計方法在造斜段采用不同的設計曲線形狀。筆者對近年廣泛采用圓弧、懸鏈線以及側位懸鏈線軌道設計方法進行了歸一分析,得出除了查圖法和作圖法外,一般采用解析法進行設計的認識,其設計步驟是:首先根據給定設計條件求出不同軌跡關鍵參數,然后求出軌道節點數據,最后求出軌道分點數據。
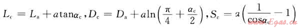
1.2.1圓弧軌道(b、c點為同一圓弧段上兩點)
1) 關鍵參數αc和Lw

2) 節點數據

3) 分點數據

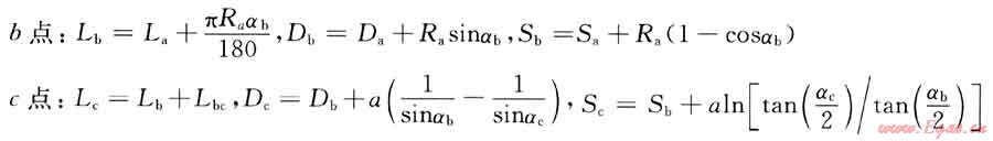
1.2.2懸鏈線軌道(b點為圓弧終點,c點為懸鏈線終點)
1.2.2.1 關鍵參數αb和Lbc

1.2.2.2 節點數據

1.2.2.3 分點數據

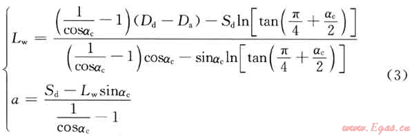
1.2.3側位懸鏈線軌道(b、c點為同一側位懸鏈線上兩點)
1.2.3.1 關鍵參數Lw和特征參數α

1.2.3.2 節點數據

1.2.3.3 分點數據

2 大斜度井軌道優化設計技術
在大斜度定向井井眼軌道設計中,采用合理軌道參數(造斜點、造斜率及穩斜角等)和剖面類型可有效評價不同工況下鉆具延伸能力,利于指導現場施工,能為鉆機選型、鉆井液類型、鉆井方式以及下套管方式選擇等提供參考[7-10]。
2.1 基本原則
1) 軌跡設計必須滿足地質靶點、中靶方位以及現場施工條件(如鉆機型號、定向儀器等)要求。
2) 井眼軌跡幾何形狀最優化:首先須滿足常規導向鉆具組合造斜率的要求,特定套管柱和井眼軌跡的相互適應性;其次要求軌跡最短,管柱的摩擦阻力相對最小;再次要求軌跡光滑過渡和井眼曲率均勻。
2.2 優化設計
首先根據地質參數(如靶點垂深、水平位移等)和工藝水平(如定向工具型號、性能等),對造斜點以下井段進行鉆井方式和鉆具組合設計,然后才能對大斜度井井眼軌道進行優化設計,其主要步驟如下:
2.2.1確定合理的穩斜角
依據穩斜段起始點處設計的鉆具組合零軸向力條件[2],計算出穩斜井段的最大穩斜角αcmax,然后與穩斜井段對應的臨界穩斜角αk=tan-1(1/μ)進行對比,若αcmax<αk則設計鉆具組合滿足滑動定向鉆進要求,此時最大穩斜角αcmax即為確定合理的穩斜角;若αcmax<αk則需對鉆具組合重新設計。
2.2.2不同剖面軌道設計
在確定合理的穩斜角上,利用上述軌道設計方法對不同軌道進行計算,設計出各種軌道對應的關鍵參數、節點參數和分點數據;然后從井眼長度、最大狗腿度和增斜段長等方面,對不同設計軌道進行幾何形狀評價。
2.2.3不同軌道摩擦阻力評價
在相同條件下,對不同設計軌道對應的不同工況(如正常、滑動鉆進、起下鉆等)的摩擦阻力進行評價,以優化出相對最優設計軌道。
3 應用實例及效果分析
3.1 設計參數
河壩區塊大斜度定向井設計參數如下:靶點垂深Dd=5200m,水平位移Sd=2000m,閉合方位120°;oa段:造斜點垂深Da=4000m,井斜角αa=0,ab段:造斜率Ka=6°~18°/100m。
穩斜段鉆進鉆具組合設計結果如表1所示。

3.2 軌道優化設計
3.2.1確定合理的穩斜角
1) 依據穩斜段起點處鉆柱零軸向力條件,可計算出最大穩斜角αcmax,其計算過程如下:
軸向拉力

式中p為鉆壓,kN;ρ為鉆柱平均線密度,kg/m。
設T=0將鉆具組合及鉆井參數代入化簡為:

通過簡化式可試算出最大穩斜角,即假設一個穩斜角αc,對應算出一個穩斜段長度Lw,然后與設計井在該穩斜角下確定的圓弧軌道穩斜段對比結果見表2,確定出最大穩斜角αcmax=65.00°。

2) 依據套管內摩擦阻力系數0.25和裸眼段內摩擦阻力系數0.30,可計算出在平均摩擦阻力系數0.28條件下穩斜段對應的臨界穩斜角αk=74.36°>αcmax=65.O0°,滿足滑動定向鉆進要求,可確定出3種設計軌道穩斜段對應的合理穩斜角為65.00°。
3.2.2 3種不同剖面軌道設計
3種設計軌道分段數據結果如表3所示。

從表3可知,在設計井相同條件下,3種不同軌道具有幾何形狀特點如下:①設計井深以圓弧線最長(6415.79m、65.00°),懸鏈線次之(6413.63m、65.00°),側位懸鏈線最短(6402.69m、65.00°),最大相差13m左右;②增斜段長以側位懸鏈線最長(659.56m、10.30%),懸鏈線次之(493.63m、7.70%),圓弧線最短(478.05m,7.45%);③最大井眼曲率以側位懸鏈線最大(5.52°/30m),懸鏈線次之(4.20°/30m),圓弧線最小(4.08°/30m)。
3.2.3 3種不同軌道摩擦阻力評價
為了評價上述3種井眼軌道剖面優劣性,采用LandMark軟件對在相同條件下不同軌道剖面進行摩擦阻力評價,其分析結果如表4所示。從表4可知,3種不同軌道各項摩擦阻力值:圓弧線>懸鏈線>側位懸鏈線,其值大小大致與增斜段長度呈反比關系,但總體上說單項摩擦阻力相差不大,誤差在10%以內。結合河壩區塊以大斜度深井開發為主,為方便現場定向施工,宜采取相對簡單的“直-增-穩”圓弧軌道進行設計。

3.3 應用效果
2008年以來,河壩區塊先后部署了HB1-1D、HF302、HF203和HJ203H等4口大斜度井或水平井。在鉆前設計和鉆井施工中,采用“直-增穩”或“直增-穩-增-平”圓弧軌道進行了4井次原軌道和4井次軌道調整設計,很好實現了井眼軌跡控制,都順利完成了地質中靶和后期大斜度井下套管等作業。
4 結論
1) 根據河壩區塊大斜度井地質參數和工藝水平特點,通過對軌道設計關鍵參數、軌道剖面類型等進行優化,形成了該地區大斜度定向井軌道優化設計技術。
2) 軌道優化設計技術成功應用在HB1-1D等多口井鉆井設計和施工中,均順利實現了地質中靶和完井作業,為河壩區塊后續部署井軌道設計提供了依據。
參考文獻
[1] 胡永章,謝潤成,鐘敬敏,等.河壩構造復雜工程地質問題與安全優快鉆井技術對策[J].中外能源,2010,15(8):35-38.
[2] 宋執武,高德利,李瑞營.大位移井軌道設計方法綜述及曲線優選[J].石油鉆探技術,2006,34(5):24-26.
[3] 國家經濟貿易委員會.定向井軌道設計與軌跡計算[S].SY/T 5435—2003.
[4] 張建國,黃根爐,韓志勇.一種新的大位移井軌道設計方法[J].石油鉆采工藝,1998,20(6):6-10.
[5] 韓志勇.定向井懸鏈線軌道的無因次設計方法[J].石油鉆采工藝,1997,19(4):13-16.
[6] 劉修善.懸鏈線軌道設計方法研究[J].天然氣工業,2007,27(7):73-75.
[7] 盧明輝,管志川.大位移井軌道設計中關鍵參數的確定[J].石油鉆探技術,2003,31(5):70-71.
[8] 崔紅英,張建國,韓志勇.兩維定向井軌跡設計的通用方程[J].鉆采工藝,1999,22(4):6-8.
[9] 吳石磊,馮恩民,江勝宗.二維定向井軌道優化設計及實例研究[J].應用基礎與工程科學學報,2001,9(2/3):125-132.
[10] 張焱.李驥,劉坤芳,等.定向井井眼軌跡最優化設計方法研究[J].天然氣工業,2000,20(1):57-60.
(本文作者:朱禮平1 吳玉君2 刁素1 王希勇1 王毅1 1.中國石化西南油氣分公司工程技術研究院;2.中國石化西南油氣分公司鉆井工程處)
贊 賞 分享
您可以選擇一種方式贊助本站

支付寶轉賬贊助

微信轉賬贊助
- 注解:本資料由會員及群友提供僅供閱讀交流學習,不得用于商業用途!
