摘 要 縱、橫波速度是儲層巖性、物性和流體識別的重要參數,而實際生產中往往缺乏橫波速度資料,因此,開展橫波速度預測已成為巖石物理研究的重要內容。目前橫波預測中普遍使用的是Greenberg—Castagna經驗公式,但其在塔里木盆地塔中地區ZG5—7井區應用效果不佳。針對上述問題,充分利用已鉆井的縱波速度、地層密度、泥質含量、孔隙度、含水飽和度等常規測井資料以及巖石骨架和流體的各種彈性參數,構建了流體置換的Xu—White模型,用來求取橫波速度。該區6口井的橫波曲線擬合的實驗結果表明:Xu—White模型預測的橫波速度與實測橫波速度高低趨勢一致,其相關系數最高達到0.970 9,完全能滿足橫波彈性反演和油氣預測的需要。結論認為,Xu—White模型不僅適用于碎屑巖儲層的橫波速度預測,同樣在碳酸鹽巖的橫波速度預測中也能取得良好的應用效果。
關鍵詞 塔里木盆地 塔中地區 橫波速度 橫波彈性反演 油氣預測Xu—White模型 碳酸鹽巖
橫波速度在儲層巖性、物性以及流體識別等方面有重要應用,也是疊前反演所必需的基礎資料。然而在實際生產中由于各種原因往往缺乏橫波速度信息。目前橫波預測主要使用的是Greenberg—Castagna經驗公式[1],但其也不是適合于任何情況。在實際的工作中應根據研究區的實際情況,選取最合適的方法進行橫波預測。筆者利用多種經典橫波速度預測模型對研究區海相碳酸鹽巖進行橫波速度預測試驗后,找到了較適于研究區目的層橫波速度預測方法[2]。。
1經驗公式
Pickett、Castagna等許多學者給出了不同的縱波速度(νp)一橫波速度(νs)經驗關系,這些關系式都是基于實驗室的超聲波實驗測量的縱橫波速度的擬合關系式[3]。
塔里木盆地塔中地區ZG5—7井區目的層橫波測井資料缺乏,僅部分井僅有一段或幾段橫波測井資料,僅用于進行AV0分析等。而利用Greenberg—Castagna經驗公式在研究區進行橫波預測,則存在較大的
誤差(圖1)。
根據這些關系式的原理,在塔中地區,通過實測的縱橫波數據擬合出適合本區的縱橫波關系式,用以進行橫波估算。即
νs =0.3954 νp + 781.8947 (1)
相關系數(R2)為0.8685,預測效果尚有提升的空間。

圖1 經驗公式與實測縱、橫波數據關系圖
2 Xu--White模型
在把Greenberg—Castagna模型、臨界孔隙度模型、Krief模型、膠結模型、泥巖模型和未膠結模型等引入到塔中地區GZ5—7井區的碳酸鹽巖地層進行橫波速度預測試驗后,最終確定Xu—White模型[4-5]也可以用于碳酸鹽巖橫波預測,且預測效果較好(圖2)。

圖2 各種模型實測橫波與預測橫波相關系數圖
Xu—White模型首先用骨架和泥巖不同的縱橫直徑比以及其他有關參數來估算干巖石的體積模量和切變模量,再用孔隙中流體的性質來計算含流體巖石的體積模量和切變模量。從測井密度資料和由Xu—White模型得出的體積模量和切變模量,便可導出巖石的縱、橫波速度,這就是Xu—White模型方法預測速度的基本原理。
Xu—White方法用迭代方法計算等效介質的體積和剪切模量,后來發展為快速算法,這也保持了精度,同時因不用迭代方法而節省了大量時間。
Xu—White模型使用Kuster—Toksöz和差分有效介質理論來估算干巖石的體積模量和剪切模量[6-7],低頻飽和度用Gassmann方程得到。Xu—White模型模擬Marion等的砂一泥混合物的V型速度—孔隙度關系,總孔隙度為:

其中 

式中φ sand、φclay,分別為砂巖和黏土的孔隙度;Vsand、Vclay,分別為砂質的體積含量和黏土含量。
固體礦物混合物的性質用石英和黏土礦物的Wyllie時間平均和密度的算術平均來估算。即

Xu—White模型將巖石骨架組分視為石英和黏土、飽水孔隙,是利用單礦物砂泥組分估算包含流體的巖石縱橫波速度的方法。本次計算中,由于工區碳酸鹽巖地層巖性單一,將碳酸鹽巖礦物模型簡化為單礦物,用方解石替換石英,利用VRH模型[3]求得等效骨架彈性模量后,利用縱波速度和這些礦物性質和孔隙度、黏土含量一起用Kuster—Toksöz公式計算干巖石骨架的模量。
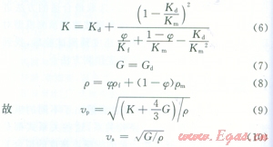
通過求取巖石骨架彈性模量,再結合Gassmann方程即可估算縱波和橫波速度。Gassmann方程的表達式為:

式中K為飽含孔隙流體巖石的等效體變模量;G為飽含孔隙流體巖石的等效剪切模量;ρ為飽含孔隙流體巖石的等效密度;Kd為巖石骨架體變模量;Gd為巖石骨架剪切模量;Km為巖石基質體變模量;ρm為巖石基質的密度;Kf為孔隙流體的體變模量.ρf為飽含流體的密度;φ為巖石孔隙度;νp為飽含孔隙流體巖石的縱波速度;νs為飽含孔隙流體巖石的橫波速度。
3 應用實例
圖3是利用Xu—White模型法對塔中地區6口井的橫波曲線擬合的實驗結果。從圖3中可以看出:

圖3 塔中地區6口井實測橫波與Xu—White模型預測橫波交會圖
擬合橫波與實測橫波高低趨勢一致,兩者的值也較為接近(絕對誤差一般小于l00 m/s),相關系數最高達到0.9709,最低為0.6476。其中個別井橫波速度預測效果相對較差的原因分析可能是某些層段發育溶孔、溶洞,其中充填了泥質,影響了其預測精度。總體上看,利用Xu—White模型可以較好地對塔中地區主要目的層橫波曲線進行預測,即使在普遍有裂縫發育的情況下也能取得好效果。
4 結束語
當前常用的橫波預測模型,無論是經驗公式還是理論模型,多數是基于砂泥巖地層,對碳酸鹽巖研究較少。通過對塔中地區ZG5—7井區橫波的預測以及與實測橫波的對比,論證了使用Xu—White模型在碳酸鹽巖地層橫波預測中也能取得良好的效果,能夠獲取高質量的合成橫波數據,對其他碳酸鹽巖地層的橫波速度預測具有一定的借鑒意義。
參 考 文 獻
[1] GREENBERG M L,CASTAGNA J P.Shear-wave velocity estimation in porous rocks:theoretical formulation,preliminary verification and applications [J].Geophysical Prospecting,1992,40(2):195—209.
[2] 唐建侯,楊慧珠,賀振華,等.P—sv快慢橫波旋轉分離公式研究[J].天然氣工業,2004,24(12):44—47.
[3] 葛瑞·馬沃可,塔潘·木克基,杰克·德沃金.巖石物理手冊:孔隙介質中地震分析工具[M].徐海濱,戴建春,譯.合肥:中國科學技術大學出版社,2008.
[4] XU S,WHITE R E.1994,A physical model for shear-wave velocity prediction[J].Geophysical Prospectin9,1996,44 (4):687—717.
[5] XU S,WHITE R E.A new velocity model for clay-sandmixtures[J].Geophys Prospectin9,1995,43(1):91—118.
[6] 張楊.利用Xu—white模型估算地震波速度[J].成都理工大學學報:自然科學版,2005,32(2):188—194.
[7] 徐峰,汪仁富,滿益志,等.基于合成聲波測井信息的變速成圖技術[J].西南石油大學學報:自然科學版,2009,31 (2):49—52.
本文作者:楊輝廷1 敬兵2 陳培元1 劉鑫2 李汀3
作者單位:1.西南石油大學資源與環境學院 2.中國石油塔里木油田公司勘探開發研究院 3.四川科宏石油天然氣工程有限公司
贊 賞 分享
您可以選擇一種方式贊助本站

支付寶轉賬贊助

微信轉賬贊助
- 注解:本資料由會員及群友提供僅供閱讀交流學習,不得用于商業用途!
