摘要:橫波穿過裂縫時會分裂為沿著裂縫的快橫波和垂直裂縫的慢橫波,在轉換波處理時為了提高徑向分量的成像質量,通常需要進行橫波分裂方位各向異性校正處理。為此,通過構建互相垂直的徑向和橫向分量對,實現了Alford旋轉方法對轉換波數據的快慢橫波分離,并完成了轉換橫波分裂方位各向異性校正處理。首先,在淺層時窗內根據快、慢橫波分離方法得到裂縫方向以及快、慢橫波,并求取快、慢橫波之間的時延;然后,將時延應用于慢橫波作時延補償;最后,將快橫波和時延補償后的慢橫波旋轉回原來的徑向和橫向方向,得到新的徑向和橫向分量。依照該方法對川西地區地震勘探資料中深層或深層時窗內的轉換波數據進行處理,大大改善了轉換波徑向分量的成像質量。
關鍵詞:轉換波;各向異性;Alford旋轉;快波;慢波;四川盆地;西;地震資料;成像質量
橫波不平行也不垂直穿過裂縫時會發生分裂,質點振動沿裂縫走向時,傳播速度快,稱為快橫波,質點振動垂直裂縫走向時傳播速度慢,稱為慢橫波[1]。橫波與裂縫方位呈一定的角度時才會發生分裂,分裂的快慢橫波的強弱與裂縫的強度密切相關。當進行縱波源激發的轉換波勘探時,下行縱波遇到分界面時會轉換成橫波,橫波在向上傳播過程中遇到裂縫時,同樣會發生分裂。因此,兩個橫波分量檢波器接收到的信號中既有快橫波也有慢橫波信息。在三維轉換波處理時,需要將兩個橫波分量旋轉到炮點和檢波點方向(徑向分量)和垂直于炮點和檢波點方向(橫向分量)。在寬方位轉換波數據上,受到快慢橫波的影響,徑向分量的方位道集同相軸呈現“正弦”或者“余弦”狀并表現出較大的方位時差,而橫向分量方位道集每間隔90°會發生極性反轉[2]。在寬方位轉換波數據的成像處理時,需要將橫向分量的能量校正到徑向分量上以消除徑向分量的方位時差并提高成像質量[3]。
筆者基于Alford旋轉方法,實現了寬方位轉換波的快慢橫波分離,并形成了方位各向異性校正技術。根據四川盆地西部地區的寬方位三維三分量資料,完成了轉換橫波分裂方位各向異性校正處理。
1 方法原理
1.1 快慢橫波分離技術
當入射橫波的偏振方位與裂縫走向呈一定夾角時,假設裂縫走向方位角β與徑向分量正向方位角α的夾角為:
,定義正交旋轉矩陣R為:
,定義正交旋轉矩陣R為:
構造接收信號矩陣:

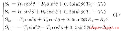
其中R1、T1和R2、T2分別是寬方位轉換波的兩個方位角的徑向和橫向分量,兩個方位角之間滿足正交關系,根據Alford旋轉理論則有:
V=RSRT (3)

式中S1為快橫波;S2為慢橫波。
對式(3)正交旋轉變換后,可得S=RTVR。
在實際數據處理中,分別記S的對角元素為S1、S12、S21和S2,在轉換橫波分裂分析處理中,根據Alford旋轉理論S的對角元素展開式為:

反旋轉后得到R1、T1和R2、T2分別是:

根據式(4)可以得到分離快慢橫波的兩種判別方法:第一種方法是在忽略噪聲干擾與快慢橫波不同的衰減影響條件下,快慢橫波應該是相似的,求取和的互相關便可分離快慢橫波[4~5],這種方法可以得到角度時延譜;第二種方法是最小化斜對角線元素來分離快慢橫波。實際數據處理中,常常采用第一種方法來分離快慢橫波。
1.2 方位各向異性校正技術
轉換橫波分裂分析方位各向異性校正技術,主要實現以下幾個步驟。
1) 根據徑向和橫向方位數據確定一個淺層分析時窗,在分析時窗內按照前面所述的快慢橫波分離技術求取快慢橫波。如果有多個方位角數據,則需要分別求取各個方位的快慢橫波,然后進行累加。
2) 根據快慢橫波相似原則,求取快慢橫波互相關值,解釋角度時延譜得到各向異性方向和快慢橫波時延。
3) 將快慢橫波時延用于慢橫波上,作時延補償。
4) 根據各向異性方位角,利用反旋轉技術將快橫波和時延補償后的慢橫波反旋轉回原來的徑向和橫向方向上,得到各向異性校正后的徑向和橫向分量。
5) 在完成淺層時窗橫波分裂方位各向異性校正后的數據上,進行深層數據的分析和處理。
2 實際數據處理
將寬方位轉換波的徑向和橫向分量數據分成不同的方位角扇區,扇區劃分一般為36個或者12個。在每個方位角扇區內限制最大偏移距,以滿足各個方位數據均衡,并按照方位各向同性處理思路進行處理[6~8]。根據川西地區寬方位轉換波資料的特點設置淺層分析時窗時間為2.3~2.5s。在該分析時窗內,首先確定各向異性方向、快慢橫波時差,再進行慢橫波時延補償,最后旋轉回原來的徑向和橫向分量。

圖1為淺層分析時窗內某個CDP位置的角度一時延圖,從圖1中可以看出,該位置的各向異性方向約90°(即東西方向),快慢橫波時差超過40ms,表明淺層各向異性特征明顯。圖2是淺層方位各向異性校正前后的徑向分量疊加剖面對比,從圖2中可以看出,經過方位各向異性校正后的剖面的連續性得到了較大的提高,有效反射得到了加強,成像質量得到了明顯的改善。與此同時,淺層分析時窗以下的徑向分量數據的能量也發生了變化,說明各向異性具有“傳遞”作用,上層的各向異性會影響下層。
校正了淺層方位各向異性后,在此數據基礎上,設置中深層分析時窗為3.5~3.7s。圖3為中深層分析時窗內與圖1相同CDP位置的角度一時延譜。對比圖3和圖1可知,中深層快慢橫波時差明顯小于淺層。這主要是因為校正淺層的方位各向異性后,中深層各向異性主要由地下裂縫引起,其強度要遠弱于上覆地層引起的方位各向異性。同理,利用橫波分裂方位各向異性校正方法對中深層數據進行處理,圖4為中深層校正處理后的徑向分量疊加剖面。對比圖4和圖2-b可知,中深層的成像質量得到了進一步的提高。

3 結論
1) Alford旋轉是橫波分裂分析的較好方法,在構建正交的徑向和橫向分量對的情況下可以用于地面轉換波處理。
2) 受近地表非均質性等因素的影響,轉換橫波方位各向異性特征主要體現在淺層。由此,為了提高轉換波的成像質量,至少需要消除淺層的方位各向異性。實際數據成像處理時,較好的實現方式是分為淺、中和深層3個時窗進行處理。
3) 通過方位各向異性校正處理后,可以大大提高了徑向分量剖面的成像質量,這樣的數據更有利于縱、橫波聯合解釋和縱、橫波疊后聯合反演等研究。
參考文獻
[1] CRAMPIN S.A review of wave motion in anisotropic and cracked ealastic media[J].Wave Motion,1981,3(4):343-391.
[2] LI Xiangyang,CRAMPIN S.Line-transform techniques for processing shear-wave anisotropy in four component seismic data[J].Geophysics,1993,58(2):240-256.
[3] 馬昭軍,唐建明,徐天吉.多波多分量地震勘探技術研究進展[J].勘探地球物理進展,2010,33(4):247-253.
[4] 唐建侯,賀振華,黃德濟.角度譜的原理及計算方法[J].石油物探,2003,42(2):196-199.
[5] 唐建侯,楊慧珠,賀振華,等.P-SV快慢波旋轉分離公式研究[J].天然氣工業,2004,24(12):44-47.
[6] 黃東山,謝芳,李忠,等.多波多分量技術在廣安構造中的初步應用[J],天然氣工業,2006,26(8):44-46.
[7] 馬昭軍,唐建明.疊前時間偏移技術在三維轉換波處理中的應用[J].石油物探,2007,46(2):174-180.
[8] 馬昭軍,唐建明,楊振武,等.三維轉換波處理方法研究與應用[J].天然氣工業,2007,27(增刊1):213-215.
(本文作者:劉紅愛1 馬昭軍2 甘其剛2 1.成都理工大學地球物理學院;2.中國石化西南油氣分公司勘探開發研究院德陽分院)
贊 賞 分享
您可以選擇一種方式贊助本站

支付寶轉賬贊助

微信轉賬贊助
- 注解:本資料由會員及群友提供僅供閱讀交流學習,不得用于商業用途!
