摘要:采用Visual C#語言,結合雙參數估計法,基于線熱源模型,開發了巖土熱響應測試計算軟件,實現了巖土熱物性參數快速準確的輸出。利用自行設計研發的巖土熱響應測試裝置,對重慶地區兩個地源熱泵工程的單U型地埋管進行了不同加熱量的熱響應測試,利用巖土熱響應測試計算軟件進行計算。
關鍵詞:地源熱泵;巖土熱響應測試;巖土熱物性;參數估計法;線熱源模型
Development and Application of Calculation Software for Rock-soil Thermal Response Test
ZOU Qin,LI Ning,LU Jun,HUANG Guangqin
Abstract:Based on the double parameters assessment method and the line heat source model,a calculation software for rock-soil thermal response test is developed using Visual C#,and the rapid andaccurate output of rock-soil thermophysical properties is achieved.The thermal response test with different heating quantities of single U-type buried tubes of two ground-source heat pump projects in Chongqing area is perfomled using self-developed rock-soil thermal response test device,and the calculation is earried out using the calculation software for rock-soil thermal response test.
Key words:ground-source heat pump;rock-soil thermal response test;rock-soil thermophysical properties;parameter assessment method;line heat source model
1 概述
熱響應測試[1~7]可為地埋管換熱器的準確設計提供有效的數據,大大提高設計的效率和準確性。利用熱響應測試數據求得巖土熱物性參數,需根據復雜的數學模型進行計算,因計算需要反復試算迭代,手算難以完成。因此,開發方便、易操作的專業軟件,可使工程技術人員免除繁瑣的推導和計算,并能方便地對計算結果進行比較。因此,筆者以Visual Studio為開發平臺,采用Visual C#語言,設計開發了巖土熱響應測試計算軟件,并利用該軟件對實際的熱響應測試進行了計算分析。
2 軟件研發
熱響應測試原理是對地埋管中的循環水進行持續的恒熱流加熱,根據U型管進出口水溫隨時間的變化規律計算出巖土的熱物性參數。
目前計算地埋管換熱器與周圍土壤換熱較為成熟的模型有線熱源模型和柱熱源模型[8]。筆者按照線熱源理論,采用雙參數估計法對巖土熱響應軟件進行開發。
① 熱源模型

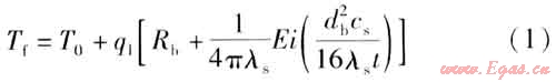
式中Tf——地埋管平均水溫,K
T0——巖土初始溫度,K
q1——單位孔深換熱量,W/m
Rb——鉆孔內熱阻,m·K/W
λs——巖土熱導率,W/(m·K)
db——鉆孔直徑,m
cs——巖土的單位體積熱容,J/(m3·K)
t——測試時間,s
為指數積分,基于數值計算的復化Simpson求積方法對該指數積分進行編程。 ② 鉆孔內熱阻計算
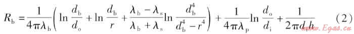
式(1)含3個未知數:巖土熱導率λs、巖土單位體積熱容cs和鉆孔內熱阻Rb。鉆孔內熱阻的計算公式為:

式中λb——鉆孔回填材料熱導率,W/(m·K)
do——地埋管外直徑,m
r——鉆孔內的地埋管間距,m
λp——地埋管管壁熱導率,W/(m·K)
di——地埋管內直徑,m
h——流體與地埋管管壁之間的表面傳熱系數,W/(m2·K)
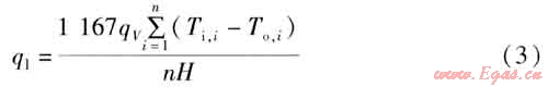
③ 單位孔深換熱量計算

式中qV——地埋管內水的體積流量,m3/h
n——測試數據的組數
Ti,i——不同時刻的地埋管進水溫度,K
To,i——不同時刻的地埋管出水溫度,K
H——鉆孔深度,m
④ 巖土熱物性參數計算
該軟件提供兩種流程求解巖土熱物性參數。求解流程1:將線熱源模型、式(2)相結合,求解巖土熱導率和單位體積熱容;求解流程2:已知巖土單位體積熱容,求解巖土熱導率和鉆孔內熱阻。
a. 求解流程1
巖土熱導率和單位體積熱容無法通過解析方法直接求得,但是可根據熱響應測試數據,利用傳熱反問題求解結合優化方法進行確定。即變成了求解巖土熱導率和單位體積熱容的雙參數估計問題。
參數估計法的基本思想是不斷調整線熱源模型的待求參數(如巖土熱導率、單位體積熱容等),在程序中設置待求參數的范圍,通過增加步長對待求參數進行修正。假設Tf,i為理論模型計算的不同時刻的地埋管平均水溫,Tc,i為對應時刻實測的地埋管平均水溫,當滿足
最小時,此時的熱物性參數即為所求結果。雙參數估計法的求解流程見圖1。
最小時,此時的熱物性參數即為所求結果。雙參數估計法的求解流程見圖1。
b. 求解流程2
由于鉆孔內熱阻受回填材料熱導率、埋管位置、間距等諸多因素影響,鉆孔內穩態熱阻的確定存在極大困難。而巖土的單位體積熱容在測試時間內對循環流體的溫度影響很小,通過測試不能較準確地確定巖土的單位體積熱容。但是,估算單位體積熱容產生的誤差對確定鉆孔內熱阻和巖土熱導率的影響可以忽略[1]。因此,該問題變為求解鉆孔內熱阻和巖土熱導率的雙參數估計問題,求解方法與求解流程1相似。
軟件的操作流程見圖2。

3 工程應用
① 熱響應測試裝置
根據測試原理,自主研發了巖土熱響應測試裝置,裝置原理見圖3。測試裝置主要由循環水箱、電加熱管、循環水泵、溫度傳感器、流量計、壓力表和數據采集儀等組成。
測試時,通過計算機、數據采集儀和溫度傳感器自動讀取和記錄U型管進出口水溫,水流量則用玻璃轉子流量計進行人工讀取。

② 現場熱響應測試
筆者采用該巖土熱響應測試裝置,于2011年1月對重慶地區兩個工程的單U型地埋管進行了不同加熱量的熱響應測試,測試時間為48h。鉆孔直徑為130mm,高密度聚乙烯(HDPE)管熱導率為0.48W/(m·K),外直徑為25mm,內直徑為20mm,回填材料熱導率為2.25W/(m·K)。孔1、2的單位孔深換熱量分別為67、45W/m。
a. 巖土初始溫度測試
按照設計要求對鉆孔進行埋管,向地埋管內注水。將其放置48h,待鉆孔內巖土溫度恢復至初始溫度后,在充滿水的HDPE管中插入PT100鉑電阻溫度傳感器。對沿孔深方向每隔10m處的水溫進行測試,各點溫度的平均值作為巖土的初始溫度。經測試計算,孔1、2的巖土初始溫度分別為19.63、19.62℃。
b. 巖土熱響應測試
將巖土熱響應測試裝置與單U型地埋管連接,啟動循環水泵使水在環路中循環流動,待設備運轉穩定后,自某一時刻起對水連續進行恒熱流加熱,并以5min為間隔記錄U型管進出口水溫及測試時間,直至環路中的進出口水溫穩定。即在不少于12h的時間內,U型管出口水溫波動小于1℃,且出口水溫高于巖土初始溫度5℃。
4 結果分析
① 水溫響應分析
孔1、2進出口水溫、進出口水溫溫差隨測試時間的變化分別見圖4、5。

由圖4、5可知,在測試開始的10h內,進出口水溫及溫差迅速上升,10h后上升趨勢逐漸減緩。這是因為在開始加熱的10h內,傳熱主要在鉆孔內部進行,鉆孔與周圍土壤傳熱溫差較小,熱量主要用于加熱鉆孔內的循環水、回填材料及管壁。管壁和回填材料比熱容較小,受熱后迅速升溫,水溫也迅速上升,且加熱量越大,溫度上升越快。在測試進行10h后,鉆孔與周圍土壤的溫差增大,鉆孔內的熱量向鉆孔外比熱容較大的土壤傳遞,水溫升高趨勢減緩。當傳熱穩定后,孔1、2的進出口水溫溫差分別為7.81、5.08℃。
② 巖土熱物性分析
由于測試初期鉆孔內傳熱并不符合線熱源模型的假設條件,其會受換熱管、回填材料熱導率、埋管位置和鉆孔間距等因素的影響,甚至可能尚未發生鉆孔與巖土的熱交換。為了避免初始熱響應階段鉆孔內非穩態導熱對計算結果的影響,舍掉前10h的實驗數據。將10h后的實驗數據導入軟件,經計算得到的巖土熱導率見圖6。

由圖6可知,在測試進行的前35h以內,鉆孔內處于非穩態導熱,測出的熱導率不穩定。隨著測試時間的增加,熱導率逐漸減小,在測試進行45h之后趨于穩定。因此采用線熱源模型,熱響應測試至少要進行45h,才能得到穩定合理的計算結果。
筆者在軟件中分別輸入不同的巖土單位體積熱容值,得到相應的熱導率及鉆孔內熱阻,見圖7。可見巖土熱導率變化很小,孔1、2的巖土熱導率分別趨近于2.89、2.83W/(m·K)。鉆孔內熱阻曲線隨著巖土單位體積熱容的增大呈現上升的趨勢,但趨勢較緩。要求出鉆孔內熱阻,需知道當地的巖土單位體積熱容。在軟件中輸入重慶地區典型地質的巖土單位體積熱容值2.21MJ/(m3·K),求得孔1、2的熱阻分別為0.14、0.24m·K/W。

5 結論
① 基于線熱源理論,利用雙參數估計法開發了巖土熱響應測試計算軟件。分別對重慶地區兩個地源熱泵工程的鉆孔進行了連續48h的現場測試。經該軟件計算,孔 1、2的巖土熱導率分別為2.89、2.83W/(m·K),鉆孔內熱阻分別為0.14、0.2m·K/W。
② 在測試開始的10h內,傳熱主要在鉆孔內部進行,熱量主要用于加熱鉆孔內的循環水、回填材料及管壁。受熱后水溫迅速上升,且加熱量越大,溫度上升越快。在測試進行10h后,鉆孔與周圍土壤的溫差增大,鉆孔內的熱量向鉆孔外比熱容較大的土壤傳遞,水溫升高趨勢減緩。
③ 在實際測試中,采用線熱源模型進行熱響應測試,測試至少要進行45h才能計算得到穩定合理的巖土熱導率。
④ 基于線熱源模型和雙參數估計法,巖土的單位體積熱容對熱導率幾乎沒有影響,對鉆孔內熱阻有一定影響。
參考文獻:
[1] 刁乃仁,方肇洪.地埋管地源熱泵技術[M].北京:高等教育出版社,2006:87-89.
[2] 王書中,由世俊,張光平.熱響應測試在土壤熱交換器設計中的應用[J].太陽能學報,2007,28(4):406-410.
[3] ASHRAE.2007 ASHRAE handbook on HVAC applications[M].Atlanta:American Society of Heating,Refrigerating and Air-Conditioning Engineers,Inc,2007:32.12-32.13.
[4] 常桂欽,廖全,彭清元,等.土壤源熱泵巖土熱物性測試的參數分析[J].煤氣與熱力,2011,31(5):A05-A10.
[5] 胡平放,孫啟明,於仲義,等.地源熱泵地埋管換熱量與巖土熱物性的測試[J].煤氣與熱力,2008,28(8):A01-A04.
[6] 段征強,趙軍,宋德坤.土壤熱導率測試系統研究[J].煤氣與熱力,2006,26(11):45-47.
[7] 王京,楊衛國.土壤源熱泵豎直U型埋管換熱器冬季性能測試[J].煤氣與熱力,2007,27(11):64-66.
[8] 周亞素.土壤熱導率的現場測試方法[J].東華大學學報:自然科學版,2008,34(4):482-485.
(本文作者:鄒勤1 李寧2 盧軍1 黃光勤1 1.重慶大學 三峽庫區生態環境教育部重點實驗室 重慶400045;2.重慶大學 資產與后勤管理處 重慶 400044)
贊 賞 分享
您可以選擇一種方式贊助本站

支付寶轉賬贊助

微信轉賬贊助
- 注解:本資料由會員及群友提供僅供閱讀交流學習,不得用于商業用途!
