摘要:論述了液氨氣化器和文丘里混合器在選擇性催化還原(SCR)脫硝工藝系統中的應用,液氨氣化器換熱面積的設計計算及驗證測試方法,文丘里混合器的結構設計計算和驗證測試方法。
關鍵詞:選擇性催化還原;液氨氣化器;文丘里混合器;煙氣脫硝
Design and Testing of Liquid Ammonia Vaporizer and Mixer in SCR Denitrification System
XU Jun-xi,LIU Xin-zhe,LI Feng,YUAN Yuan,ZHANG Li-zhong
Abstract:The application of liquid ammonia vaporizer and Venturi mixer to selective catalytic reduction(SCR)denitrification system,the design and calculation of heat transfer area of liquid ammonia vaporizer and its verification testing method and the structural design and calculation of Venturi mixer and its verification testing method are elaborated.
Key words:selective catalytic reduction(SCR);liquid ammonia vaporizer;Venturi mixer;flue gas denitrification
1 概述
我國主要電力來源于燃煤火力發電,在煤炭燃燒過程中,產生了大量的氮氧化物(NOx)。NOx是造成光霧和酸雨的主要污染物,NOx排放量逐年增長,已嚴重污染環境,制約經濟建設的發展。燃煤煙氣脫硝就是脫除煙氣中的NOx,是控制NOx排放的主要手段,也符合我國環保政策的減排要求,符合可持續發展戰略的要求。
在脫硝工藝中,選擇性催化還原(Selective Catalytic Reduction,SCR)工藝效率最高,也是最成熟的一種工藝技術,已經在發達國家有成功使用的業績。SCR技術是在催化劑的作用下,利用還原劑把煙氣中的NOx還原成N2和H2O。因此,對于SCR系統,還原劑的選擇是很關鍵的技術要點,在眾多還原劑中最常用的還原劑是氨氣。
作為還原劑的氨氣是SCR脫硝系統的重要原料。液氨氣化器裝置和混合器是SCR脫硝系統的關鍵設備,其性能、成本及產業化規模都直接制約著燃煤煙氣脫硝系統的穩定性和高效性。
2 SCR脫硝系統簡介
SCR脫硝系統由液氨儲罐、液氨泵、液氨氣化器、調壓器、氨氣緩沖罐、氨氣-空氣混合器、流量計、噴氨格柵、SCR反應器等設備及相關控制系統組成。SCR脫硝系統見圖1。

液氨儲罐內的液氨通過出料管由液氨泵送入液氨氣化器,液氨在氣化器內吸收熱介質熱量后氣化成氨氣并過熱,氨氣經調壓器、緩沖罐后與自風機來的空氣在氨氣-空氣混合器內充分混合,混合氣經調壓、計量后進入噴氨格柵,與鍋爐來的含NOx煙氣充分混合,然后進入SCR反應器。氨與NOx在SCR反應器內,在催化劑作用下反應生成N2和H2O。經過SCR反應器除去NOx的煙氣進入下道工藝設備。
3 液氨氣化器的傳熱計算及試驗
在SCR系統中,液氨氣化器通常采用蒸汽水浴式氣化器,液氨介質通過不銹鋼盤管,盤管浸泡在水中,水的熱量來自蒸汽。盤管內的液態氨與水換熱氣化過熱,通過氣液分離器分離掉霧膜夾帶的液體后輸出氣態氨氣。下面介紹氣化器設計時的傳熱計算[1]。
換熱器的傳熱計算包括兩類:一類是設計型計算,即根據工藝條件,確定換熱面積;另一類是校核型計算,即對已知換熱面積的換熱器,核算其傳熱量、流體的流量、溫度。這兩種計算均以熱量衡算和總傳熱速率方程為基礎。
3.1 傳熱計算主要公式
3.1.1傳熱速率方程
流體的傳熱速率方程見式(1),冷熱流體均按式(1)計算:
Ф=KA△tm (1)
式中Ф——傳熱速率(熱負荷),W
K——總傳熱系數,W/(m2·K)
A——傳熱面積,m2
△tm——冷熱流體對數平均溫度差,℃
3.1.2不同狀態下的傳熱速率(熱負荷)
換熱器熱負荷Ф一般由工藝包提供,也可以由所需工藝要求求得。
① 傳熱的冷熱流體均沒有相變化,且忽略熱損失,則:
Фh=Фc (2)
Фh=qm,hcp,h(t1,h-t2,h) (3)
Фc=qm,ccp,c(t2,c-t1,c) (4)
式中Фh——熱流體傳熱速率(熱負荷),W
Фc——冷流體傳熱速率(熱負荷),W
qm,h——熱流體質量流量,kg/s
cp,h——熱流體平均比定壓熱容,J/(kg·K)
t1,h——熱流體進口溫度,℃
t2,h——熱流體出口溫度,℃
qm,c——冷流體質量流量,kg/s
cp,c——冷流體平均比定壓熱容,J/(kg·K)
t2,c——冷流體出口溫度,℃
t1,c——冷流體進口溫度,℃
② 傳熱的冷熱流體有相變化,如飽和液體氣化,則計算公式為:
Фr=qm,cr (5)
式中Фr——液體相變時的傳熱速率(熱負荷),W
r——飽和液體的氣化潛熱,J/kg
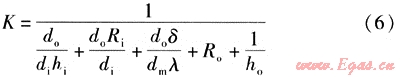
熱負荷確定后,可由總傳熱速率方程(1)求得換熱面積。其中總傳熱系數為:

式中do——傳熱管外徑,m
di——傳熱管內徑,m
hi——管壁內側流體表面傳熱系數,W/(m2·K)
Ri——管壁內側表面污垢熱阻,m2·K/W
δ——傳熱管壁厚,m
dm——傳熱管平均直徑,m
λ——傳熱管管壁熱導率,W/(m·K)
Ro——管壁外側表面污垢熱阻,m2·K/W
ho——管壁外側流體表面傳熱系數,W/(m2·K)
在實際計算中,總傳熱系數通常采用推薦值,這些推薦值是從實踐中積累或通過實驗測定獲得的,可以從有關手冊中查得。
雖然這些推薦值給設計帶來了很大便利,但是在某些情況下,所選K值與實際值出入很大,為避免盲目煩瑣的試差計算,可根據式(6)對K值進行估算。
式(6)可分為3部分,對流傳熱熱阻、污垢熱阻、管壁導熱熱阻,其中污垢熱阻和管壁導熱熱阻可查相關手冊求得。因此,K值估算最關鍵的部分就是流體表面傳熱系數的估算。
對流傳熱是借流體質點的移動和混合而完成的,因此,任何影響流體流動的因素(引起流動的原因、流動狀態、有無相變化等)都必然影響表面傳熱系數。以下分流體無相變和有相變兩種情況來討論表面傳熱系數,其中包括強制對流和自然對流。
3.1.3流體無相變時在彎管內強制對流傳熱
流體在彎管內流動時,由于受離心力的作用,增大了流體的湍動程度,使其表面傳熱系數比直管的表面傳熱系數大,此時可用式(7)計算表面傳熱系數:

式中hb,i——彎管管壁內側的表面傳熱系數,W/(m2·K)
hv,i——直管管壁內側的表面傳熱系數,W/(m2·K)
rp——管子的彎曲半徑,m
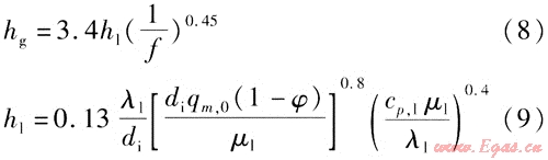
3.1.4流體氣化時在彎管內強制對流傳熱
氣化時兩相流對流傳熱按下式計算:

式中hg——管內兩相流表面傳熱系數,W/(m2·K)
hl——管內液相表面傳熱系數,W/(m2·K)
f——兩相流系數
λl——液體的熱導率,W/(m2·K)
qm,0——單位時間內流過管道單位流通截面積的液體質量,kg/(s·m2)
φ——氣態體積分數,一般取0.3
μ1——管內液體動力粘度,Pa·s
cp,l——管內液體的平均比定壓熱容,J/(kg·K)
3.2 溫水側自然對流的表面傳熱系數
水被冷卻時的表面傳熱系數為:

式中hc——筒體內側水表面傳熱系數,W/(m·K)
tc——筒體內側水溫度,℃
△t——水溫與管子壁溫的平均溫度差,℃
該氣化器采用管式蒸發器,工作壓力較高、滲透性較高、有毒有害、易燃易爆的物料宜走管程,既可以提高設備的安全性,又能節省材料。管外為中間熱介質,通常為溫水。溫水的熱能可由電加熱器或蒸汽加熱器提供。換熱過程溫和,廉價易得,檢修方便,對環境安全無污染。
3.3 試驗方法
依據以上理論,計算出一定溫度、壓力下的液氨所需的換熱面積和所需的熱量,設計出液氨氣化器。氣化器前裝配調節閥,氣化器后裝配流量計,通過調節閥的調整將氣化器的液氨參數控制在設計范圍內,通過測量對應的出氣溫度和氣化后氣體的流量,制作流量曲線圖表,確定設備的氣化量是否達到設計要求。
4 混合器設計計算及試驗[2~5]
在SCR系統中,氣化后的氨氣需要和空氣進行混合,氨氣在混合氣中的體積分數為4%~6%,空氣的壓力為4~10kPa。氨氣-空氣混合器利用文丘里原理,將氣化器氣化后的帶壓氨氣,通過文丘里噴嘴,以高速噴入文丘里管,在局部形成負壓,吸入一定比例的空氣,并在文丘里管中混合,以一定壓力輸出。整個設計計算過程如下。
4.1 確定設計基礎條件
根據組分查物性數據,確定各介質的物性參數,如氣體等熵指數、密度等。
4.2 確定引射器的最佳結構比
最佳結構比按下式計算:

式中γ——最佳結構比
F——氣體射流膨脹系數
ξ1——喉管與擴散管的阻力系數,可取1.5
C——質量引射系數
Fq——體積引射系數
ξ2——被引射氣體進入收縮管阻力系數,可取0.8
dr——引射氣體的相對密度
qm,2——被引射氣體質量流量,kg/s
qm,1——引射氣體質量流量,kg/s
qV,2——被引射氣體的體積流量,m3/s
qV,1——引射氣體的體積流量,m3/s
4.3 確定噴嘴前壓力
噴嘴前壓力按下式計算:

式中p1——噴嘴前介質絕對壓力,MPa
p2——混合氣出口絕對壓力,MPa
p3——大氣絕對壓力,MPa
D——壓力修正系數
η——噴嘴效率
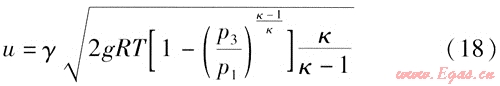
4.4 噴嘴直徑的計算
噴嘴直徑按下式計算:

式中d1——噴嘴直徑,mm
A0——噴嘴流通截面積,mm2
κ——氣體等熵指數
u——噴嘴氣體流速,m/s
當p1等于或大于臨界壓力時:

式中g——重力加速度,m/s2
R——摩爾氣體常數,J/(kmol·K)
T——氣體熱力學溫度,K
當p1小于臨界壓力時:

根據噴嘴直徑和最佳結構比,計算出混合器的其他結構尺寸。
4.5 試驗方法
在文丘里管的前端安裝流量計、壓力計,在混合器出口安裝壓力計、氧氣含量分析儀。試驗時,將一定壓力、一定流量的氨氣通過拉法爾噴嘴以接近聲速的流速噴入文丘里管,利用文丘里管形成的負壓,將風機提供的空氣吸入,與氨氣進行混合。通過測量混合氣的壓力和氧含量,驗證設備是否達到了混合比例和設定的壓力降范圍,從而評估其是否達到了設計能力和目標性能參數。
5 結語
脫硝在我國近年來才得到重視,是環保工作中很重要的一個環節。液氨氣化器和混合器是SCR脫硝系統中的關鍵設備之一,對于脫硝系統長時間穩定運行和成本的影響比較大。我們已經成功開發和制造了該產品,液氨氣化器單臺氣化能力為100~8000m3/h,混合器單臺能力為2000~10000m3/h。該產品在多家電廠的SCR系統投入使用,性能和技術參數完全達到系統要求,用戶反映良好。
參考文獻:
[1] 林宗虎,王樹眾,王棟.氣液兩相流和沸騰傳熱[M].西安:西安交通大學出版社,2003.
[2] 姜正侯.燃氣工程技術手冊[M].上海:同濟大學出版社,1993.
[3] 嚴銘卿.燃氣引射器工況研究與優化設計[J].煤氣與熱力,1994,14(6):20-25.
[4] 謝偉光.引射器混合室最佳長度的計算[J].煤氣與熱力,1997,17(6):15-18、27.
[5] 宓亢琪.高壓引射式燃燒器的計算與工況分析[J].煤氣與熱力,1995,15(2):32-37.
(本文作者:徐俊西1 劉新哲1 李鳳1 袁媛1 張立中2 1.天津市奧利達設備工程技術有限公司 天津 300384;2.中國石油集團工程技術研究院 天津 300451)
贊 賞 分享
您可以選擇一種方式贊助本站

支付寶轉賬贊助

微信轉賬贊助
- 注解:本資料由會員及群友提供僅供閱讀交流學習,不得用于商業用途!
