摘要:我國天然氣工業快速發展起步較晚,因儲備設施不健全,季節性調峰和應急均以上游氣田的提產為主。從氣田科學開發角度考慮,上游氣田應建設調峰和應急備用能力,實際產量安排和產能的比值(即生產負荷因子),是衡量生產系統安全平穩運行的一個關鍵參數,對于天然氣工業的有序發展、最大限度地節約資金有著非常重要的意義。調研結果表明,目前國內尚無該方面的系統研究。為此,通過研究產能負荷因子的影響因素及其特點,建立了產能負荷因子的計算公式,分析了其存在的前提條件,并利用該公式進行了舉例測算。在近期的天然氣發展規劃和戰略研究中,已應用該計算方法對各氣區的產能負荷因子進行了計算,計算結果符合歷史供氣特點和規律,能夠指導氣田的科學開發、保障安全平穩供氣。
關鍵詞:天然氣;生產能力;負荷因子;影響;因素;前提;計算方法;應用效果
1 研究背景
由于天然氣的特殊屬性,存儲及運輸等難度都很大,因而上中下游的協調發展至關重要。實際運行中,由于下游用戶需求存在季節性波動,且氣井、地面設施、管道等不可避免地存在事故風險,天然氣消費涉及千家萬戶,一旦停供,后果不堪設想[1]。因此需要有一定的儲備隨時應對調峰和應急。從儲備類型來看,有儲氣庫、上游氣田、管道、LNG等手段[2],從規模和經濟角度來看,儲氣庫是最佳選擇。在儲運設施不完善的情況下,上游氣田可建設備用能力以滿足調峰和應急生產的需要,氣田實際產量安排和建成產能的比值即產能負荷因子[3]。
我國天然氣工業發展起步較晚,儲備設施不健全,長期以來,用戶調峰和應急都靠氣田放壓提產來解決,影響了氣田的科學開發。近年來隨著對該問題的重視和工作的不斷深入,部分氣田開始建設備用能力,天然氣產能負荷因子已經呈現下降趨勢。
利用氣田調峰也存在弊端,如氣井、地面設施、長輸管道設備閑置、投資巨大、氣田距離用戶遠應急反應較慢等,隨著儲氣庫等設施的不斷完善,可以適當降低上游調峰量。結合氣田實際狀況、調峰需求和儲氣庫建設進度等因素確定各時期合理的產能負荷因子對于天然氣工業的有序發展、最大限度的節約資金有著非常重要的意義。
2 計算方法及測算前提條件分析
2.1 計算方法及影響因素
產能負荷因子可以是某一時刻或某一時間段的值,實際應用中以年或月為單位的較多,但從研究意義來說,以月或天為單位更能反應實際產能利用情況,不論以什么為計算單位,計算方法一樣。下面以年為例,分析影響因素及計算方法。
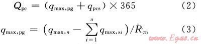
負荷因子的計算公式為:
Rqc=Qp/Qpc (1)
式中Rqc為天然氣產能負荷因子;Qp為天然氣年產量;Qpc為天然氣年生產能力。
天然氣年產量預測可利用戰略規劃上中下游平衡后的結果數據。天然氣產能建設要滿足季節性波動生產和應急備用,其中供應波動主要與需求季節性波動和儲備調節量(儲氣庫、LNG、管道調用)有關,測算公式為:

式中qmax,pg為氣田生產井最大日生產能力;qpcs為氣田應急生產備用井日產能力;qmax,n為最大日需求量;qmax,si為第i種儲備設施最大日供應量;Rcn為商品率。
氣田生產井最大日生產能力的確定可參考供氣歷史波動規律進行預測,也可以根據需求量和儲備設施供氣能力來確定。
應急備用能力根據氣區實際位置、氣田個數和規模、供需關系來確定,如英國應急備用能力基本為供氣規模的5%左右[4],美國在2000年之前基本在5%~10%之間,2000年以后隨著氣田生產能力的下降,供需壓力變大,基本不再留富余能力[5]。國內氣區主要分布在中西部,而消費市場集中在東部、東南部,重點氣區、重點氣田應留有應急備用能力。如塔里木氣區單氣田規模大、氣田個數少的情況,重點氣田備用能力應在10%以上。實際運行中,有些氣區氣井多,單井產量低,在建設了調峰能力后,不再建設應急備用能力。
最大日需求量可由市場調研結果、用戶結構及供氣合同來確定,最大日儲備供應量根據儲氣庫等儲備手段的最大日工作氣量確定。
上述公式針對的是對未來年負荷因子的計算方法,而對于月和天而言,式(1)中產量和生產能力分別為月產量、日產量和月產能力、日產能力,式(2)中的計算天數分別改為30和1即可。
2.2 測算的前提條件
產能負荷因子的測算受天然氣資源豐富程度、管輸能力和投資規模的限制。
首先是上游天然氣資源的富足程度,若足夠豐富,則可以根據消費需求和儲備需求來建產;若供不應求,則根據氣田最大合理生產能力來建產。
其次,管輸能力要有富余,在用氣高峰和應急時能夠將氣輸送到用戶,管道富余能力多少也是限制負荷因子值大小的一個關鍵因素。
產能建設投資巨大,建設富余能力來應急和調峰,在春秋季節用氣低谷時期關井或減產、設備閑置,從企業角度來講,投資回報率降低,所以在這部分產能建設上的投資多少也是影響建產的一個因素。
以上3個都是瓶頸制約因素,只有三者都存在且富足,負荷因子的測算結果對于科學開發氣田、安全平穩供氣才有意義。
3 舉例計算
以某假定市場為例測算,假設:①冬季高峰用氣量為7500×104m3/d,儲氣庫日采出量為2000×104m3,應急備用能力為最大日供氣量的5%,月度日均消費量如表1所示,商品率按O.9考慮;②氣田資源和管輸能力足夠大,投資按照需求下達,儲氣庫夏季注氣量由該氣源提供。

根據式(3)計算,氣田最大日供氣量為5500×104m3,氣田需要建設最大日產能力6111×104m3。
依次根據式(1)、(2)計算,該氣田年度產能負荷因子為0.91,月度負荷因子在0.85~0.96之間(如表1所示)。
目前國內除了北京及周邊市場有儲氣庫以外,其余市場均不具備規模儲氣庫,所以部分供氣區負荷因子更低。如青海氣區,地處西北高寒地區,冬季峰值用氣是夏季的2.5倍左右[3,6],目前外輸管道下游沒有條件建設用于調峰的地下儲氣庫,若按照氣田科學建產來測算,其年負荷因子在0.75左右(不考慮應急備用能力的情況下),實際上由于氣田能力限制,年產能符合因子控制在0.8~0.85,供氣高峰期只能通過部分氣井放壓生產。各氣區產能負荷因子的差距較大,主要與供氣市場位置、用戶類型和儲備設施有關。
4 結論
1) 目前國內供氣系統尚不完善,缺乏足夠的儲備設施,為滿足高峰期供氣需求和突發事件,并合理開發氣田,上游氣田在產能建設時需要留有余量,保持合理的產能負荷因子。
2) 產能負荷因子的直接影響因素是調峰量、應急備用量和儲備調節量,其測算的前提條件是充足的天然氣資源、管輸能力和投資。
3) 根據以上因素和條件測算的產能負荷因子能夠指導氣田科學開發和保障安全平穩供氣。
參考文獻
[1] 石興春.關于天然氣產業可持續發展的幾點思考[J].天然氣工業,2009,29(1):13-16.
[2] 丁國生,李曉波,姜風光,等.“西氣東輸”二線調峰應急問題探討[J].天然氣工業,2008,28(12):92-94.
[3] 趙素平,陸家亮,馬惠芳,等.天然氣產能負荷因子研究[J].天然氣工業,2009,29(5):95-97.
[4] Ruairidh(Rory)Stewart.英國天然氣價格揮發式增長[EB/OL].石油服務工業研究,2004.http:∥3gcl.co.uk/3GGL/Datasheets/Alt%20Energy/UK%20Natural%20gas.pdf.
[5] 美國本土48州天然氣生產能力[EB/OL].美國能源資料協會,2002.http:∥WWW.eia.doe.gov/pub/oil_gas/natural_gas/analysis_publications/ngcap2003/ngcap2003.pdf.
[6] 陸家亮.中石油供氣能力及調峰問題研究[D].北京:中國石油勘探開發研究院,2005.
(本文作者:趙素平 陸家亮 劉素民 中國石油勘探開發研究院廊坊分院)
贊 賞 分享
您可以選擇一種方式贊助本站

支付寶轉賬贊助

微信轉賬贊助
- 注解:本資料由會員及群友提供僅供閱讀交流學習,不得用于商業用途!
