摘要:介紹了太陽能-地下坑槽季節性土壤蓄熱熱泵供熱系統的組成、運行模式,建立了系統的數學模型,編制程序針對北京地區進行了全年動態模擬。地下坑槽內的土壤可以保持以年為周期的熱平衡,系統的年平均性能系數為6.89。
關鍵詞:太陽能;地下坑槽;水平埋管;季節性土壤蓄熱;土壤源熱泵
Solar-assisted Ground-source Heat Pump Heating System with Seasonal Soil Heat Storage in Underground Pit
HAN Jing,ZHENG Maoyu,YANG Meng
Abstract:The composition and operation mode of solar-assisted ground-source heat pump heating system with seasolqal soil heat storage in underground pit are introduced.The mathematical model of the system is established,the calculation program is compiled,and the whole year dynamic simulation of the system in Beijing is performed.The soil in underground pit can maintain an annual heat equilibrium,and the annual average performance coefficient of the system is 6.89.
Key words:solar energy;underground pit;horizontal buried pipe;seasonal soil heat storage;ground-source heat pump
1 概述
太陽能是一種清潔能源,但具有能量密度低、間歇性和不穩定等特點,并且與熱負荷的需求在量和時間上存在差異。土壤源熱泵供熱系統由于其高效節能的特性而引起了廣泛關注,但必須保證地埋管周圍土壤的熱平衡。對于冷熱負荷相差不大的地區,地埋管周圍的土壤基本可以保持以年為周期的熱平衡;對于冷熱負荷相差較大的地區,地埋管周圍的土壤很容易發生熱失衡。1956年,Penrod等人首先提出了太陽能集熱器與地埋管組合的設想,描述了太陽能-土壤源熱泵的工作原理,并給出了設計過程[1~2]。隨后,國內外進行了廣泛研究[3~9],但地埋管主要采用豎直埋管,針對水平埋管的研究較少。
夏季和過渡季可以利用太陽能集熱器收集的太陽能向敷設水平埋管的地下坑槽蓄熱。供暖期,太陽能集熱器可以直接供暖,太陽能集熱器和地下坑槽也可為熱泵提供熱量進行供暖。為此,本文提出太陽能-地下坑槽季節性土壤蓄熱熱泵供熱系統。先挖掘坑槽,在坑槽的四周及底部進行絕熱處理,然后填入比較理想的蓄熱黏土,并敷設水平埋管,最后在適當的深度對坑槽的上部進行絕熱處理,再在上面覆蓋自然土壤。對地下坑槽進行絕熱處理,可以減少外界對坑槽內土壤溫度的影響。蓄熱后,坑槽內的土壤可以具有較高的溫度。供暖期,坑槽內土壤的溫度較高,波動較小,從而提高系統的性能系數。本文對太陽能-地下坑槽季節性土壤蓄熱熱泵供熱系統進行模擬。
2 系統的組成以及主要運行模式
太陽能-地下坑槽季節性土壤蓄熱熱泵供熱系統流程見圖1。

系統主要由平板型太陽能集熱器、地下坑槽內的水平埋管換熱器、熱泵機組、地板輻射供暖系統等組成。系統在全年運行中,主要有以下4種運行模式:
① 模式1:土壤蓄熱。非供暖期,閥門1、2、5、6開啟,其余關閉,把收集的太陽能儲存在地下坑槽的土壤中。
② 模式2:太陽能直接供暖。供暖過程中,當太陽輻射較強時,集熱器內介質(乙二醇水溶液)的溫度可滿足直接供暖的要求。閥門7、8、10、9、4、1、13開啟,其余關閉。
③ 模式3:太陽能熱泵供暖。供暖過程中,當太陽輻射較強時,集熱器內介質的溫度不能滿足直接供暖的要求,但可以滿足熱泵供暖的要求。閥門7、11、14、9、4、1、12、15開啟,其余關閉。
④ 模式4:土壤源熱泵供暖。供暖過程中,當室外溫度較低、太陽輻射較弱時,集熱器內介質的溫度不能滿足直接供暖的要求,也不能滿足熱泵供暖的要求,熱泵提取非供暖期儲存在地下坑槽的土壤中的熱量進行供暖。閥門2、3、7、11、14、9、6、12、15開啟,其余關閉。
3 系統模型及運行模式轉換條件
3.1 系統模型
① 集熱器模型
平板型太陽能集熱器吸熱板內的流體(乙二醇水溶液)與太陽輻射進行能量交換,其性能可用能量平衡方程描述:

式中Asc——集熱器的有效面積,m2
Esc——集熱器表面的太陽輻照度,W/m2
τ——蓋板對太陽輻射的透過率
α——蓋板對太陽輻射的吸收率
Φu——集熱系統的有效集熱量,W
Csc——集熱系統的當量熱容,J/K
θscm、θsce、θsci——集熱系統內流體的平均、出口、進口溫度,℃
t——時間,s
KL——集熱器的熱損失系數,W/(m2·K)
θa——室外空氣溫度,℃
qm,sc一一集熱器內流體的質量流量,kg/s
cp,f——集熱器內流體的比定壓熱容,J/(kg·K)
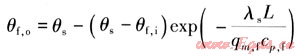
② 地埋管換熱器模型
地埋管換熱器采用10個U形水平埋管并聯組成,U形管長度為72m,U形管之間的水平間距為2m,每個U形管兩管的垂直間距為0.8m。為簡化計算,忽略U形管軸向的溫度梯度,選用二維直角坐標系,垂直方向為y軸,水平方向為x軸。地下坑槽內水平埋管的剖面見圖2。

地埋管換熱器進出口流體(乙二醇水溶液)溫控制方程為[10]:

式中θf,o、θf,i——地埋管換熱器出口、進口流體溫度,℃
θs——地下坑槽內土壤的溫度,℃
λs——土壤的熱導率,W/(m·K)
L——水平埋管一個支路的管長,m
qm,f——水平埋管一個支路的質量流量,kg/s
地埋管換熱器周圍土壤的控制方程為:

式中ρs——地下坑槽內土壤的密度,kg/m3
cp,s——地下坑槽內土壤的比定壓熱容,J/(kg·K)
地埋管外壁處的邊界條件為:

式中r——地埋管外半徑,m
qz——單位管長的換熱量,W/m
d——地埋管外徑,m
③ 熱泵模型
本文根據設計熱負荷選取熱泵,采用對熱泵樣本的數據進行擬合的方法建立熱泵的數學模型。熱泵的制熱量和耗電量一般可以擬合成蒸發器側進口溫度和冷凝器側進口溫度的函數形式:

式中Φc——熱泵的制熱量,kW
a1、b1、c1、a2、b2、c2——擬合系數
θe,i——蒸發器側進口溫度,℃
θc,i——冷凝器側進口溫度,℃
Php——熱泵的耗電功率,kW
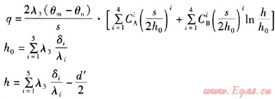
④ 地板輻射供暖系統模型
本文選用的研究建筑(別墅)采用地板輻射供暖方式,供熱介質為水。地面層為瓷磚,厚度為10mm,加熱管外徑為20mm,填充層厚度為50mm,管間距為200mm。地板輻射的傳熱是一個比較復雜的過程,本文根據數值模擬和實驗擬合所得的公式計算地板單位面積的散熱量[11]:

式中q——地板單位面積的散熱量,W/m2
λ1~λ5——地面層、找平層、填充層、絕熱層、基礎層的熱導率,W/(m·K)
θm——地板輻射供暖系統供回水平均溫度,℃
θn——室內空氣溫度,℃
s——管間距,m
CA、CB——擬合系數
h0、h——計算系數
δ1~δ5——地面層、找平層、填充層、絕熱層、基礎層的厚度,m
d′——加熱管外徑,mm
⑤ 房間熱力模型
房間的逐時熱負荷Φ可以由分析軟件DEST進行計算,室內溫度變化可由下式計算:

式中θ、θ′——當前時刻、前一時刻的供暖房間溫度,℃
Φ′——供暖房間的瞬時供熱量,W
Φ——供暖房間的瞬時熱負荷,W
C——供暖房間等效熱容量,J/K
3.2 系統運行模式轉換條件


4 系統的全年運行特性分析
4.1 模擬參數
在系統數學模型及系統運行模式轉換條件的基礎上,編制程序針對北京地區某別墅進行模擬。該別墅的建筑面積為372.44m2,設計熱負荷為12.7kW。整個模擬過程分為兩個階段:第一階段為蓄熱階段(3月16日—11月14日),第二階段為供暖階段(11月15日一次年3月15日)。主要模擬參數見表1。
表1 主要模擬參數
|
集熱器
|
|
|
傾角/(°)
|
50
|
|
Asc/m2
|
40
|
|
KL/(W·m-2·K-1)
|
4.68
|
|
τα
|
0.78
|
|
Csc/(MJ·K-1)
|
1.872
|
|
土壤
|
|
|
ρs/(kg·m-3)
|
2120
|
|
cp,s(J·kg-1·K-1)
|
1975
|
|
λs/(W·m-1·K-1)
|
2.44
|
|
土壤初始溫度/℃
|
7.6
|
|
地下坑槽體積/m3
|
1600
|
|
地埋管換熱器
|
|
|
L/m
|
72
|
|
流量/(m3·h-1)
|
3.8
|
|
乙二醇水溶液(質量分數為40%)
|
|
|
密度/(kg·m-3)
|
1025
|
|
cp,f/(J·kg-1·K-1)
|
3870
|
|
熱泵
|
|
|
a1
|
0.3015
|
|
b1
|
-0.0555
|
|
c1
|
10.2480
|
|
a2
|
-0.0650
|
|
b2
|
0.0429
|
|
c2
|
0.6518
|
|
循環泵
|
|
|
額定功率/W
|
250
|
在模擬分析中,采用中國氣象局氣象信息中心提供的建筑熱環境氣象數據集中北京地區典型年的氣象數據[12]。全年室外日平均氣溫及水平面日太陽輻射總量見圖3、4。由圖3、4可知,在非供暖期,室外溫度較高,太陽輻射較強,可以把這部分太陽能儲存到地下坑槽中,供暖期再用熱泵提取,進行供暖。在供暖期,太陽輻射與建筑熱負荷在時間上不同步,供暖初期和末期,太陽輻射較強,室外平均溫度較高,熱負荷較小;供暖中期,室外平均溫度較低,熱負荷較大,太陽輻射較弱。因此,在供暖初期和末期,優先利用集熱器收集的太陽能供暖,減少熱泵的耗電量,提高系統的性能。

4.2 蓄熱性能分析
蓄熱期集熱器內流體的日平均進出口溫度、水平埋管內流體的日平均進出口溫度、地下坑槽內土壤的日平均溫度見圖5~7。

由圖5可知,集熱器內流體的日平均進出口溫度為7~40℃,日平均進出口溫差為1~8℃。由圖6可知,水平埋管內流體的日平均進出口溫度為8~35℃,日平均進出口溫差為1~5℃。由圖7可知.地下坑槽內土壤的日平均溫度一直在升高,且升高速率逐漸減小,這是由于集熱器內的流體與地下坑槽內土壤的溫差逐漸減小所致。蓄熱結束時,地下坑槽內土壤的平均溫度為22.21℃。
蓄熱期,循環泵耗電能為0.68GJ,集熱器表面的太陽輻射總量為147.91GJ,集熱器的集熱量為107.57GJ,則集熱器的平均效率為72.73%,向土壤蓄熱97.87GJ。
4.3 取熱性能分析
供暖期集熱器內流體的H平均溫度、水平埋管內流體的日平均進出口溫度、地下坑槽內土壤的日平均溫度、地板輻射供暖系統日平均進出口溫度、日總供熱量與日總熱負荷、室內日平均溫度見圖8~13。


由圖8可知,集熱器內流體的日平均溫度為-5~45℃。由圖9可知,水平埋管內流體的日平均進出口溫度為1~16℃,日平均進出口溫差為1~3℃。由圖10知,地下坑槽內土壤的日平均溫度一直在降低,且降低速率逐漸減小,這是由于蒸發器內的流體與地下坑槽內土壤的溫差逐漸減小所致。供暖結束時,地下坑槽內土壤的平均溫度為10.86℃,高于蓄熱啟動時的溫度,說明從地下坑槽的取熱量可完全來自蓄熱期的蓄熱量,且地下坑槽為下個供暖期儲存了一部分熱量。
由圖11~13可知,地板輻射供暖系統日平均供回水溫度為18~30℃,日平均供回水溫差為1~5℃。日總供熱量的變化趨勢基本與地板輻射供暖系統日平均進出口溫度基本一致。整個供暖期,室溫均在18℃以上,滿足要求。
北京地區的供暖期為121d,系統運行1746h。集熱器直接供熱404h,太陽能熱泵供熱329h,土壤源熱泵供熱1013h。集熱器直接供熱量18.18GJ,熱泵從坑槽內土壤取熱46.59GJ,從集熱器取熱6.47GJ,熱泵耗電能7.63GJ,循環泵耗電能3.14GJ,系統的總供熱量為78.87GJ。供暖期系統的平均性能系數為7.32,全年系統的平均性能系數為6.89。
5 結論
① 在地下坑槽內敷設水平埋管并進行絕熱處理,有效地減少了外界對地下坑槽內土壤溫度的影響。
② 通過非供暖期的蓄熱,提高了地下坑槽內土壤的溫度,提高了熱泵的性能系數,維持了地下坑槽內土壤的熱平衡。
③ 系統的年平均性能系數為6.89,具有一定的應用價值。
參考文獻:
[1] PENROD E B,PRASANNA K V.Design of a flat-plate collector for a solar-earth heat pump[J].Solar Energy,1962,6(1):9-22.
[2] PENROD E B,PRASANNA K V.A procedure for designing solar-earth heat pumps[J].Heating,Piping & Air Conditioning,1969,41(6):97-100.
[3] 董呈娟,王侃宏,李保玉.太陽能輔助地源熱泵供熱運行特性研究[J].煤氣與熱力,2006,26(9):39-42.
[4] 董玉平,由世俊,汪洪軍,等.太陽能-地源熱泵綜合系統的經濟分析[J].煤氣與熱力,2003,23(12):734-737.
[5] 張文雍,鄭茂余,王瀟,等.嚴寒地區太陽能土壤源熱泵季節性土壤蓄熱[J].煤氣與熱力,2009,29(8):A21-A24.
[6] UCAR A,INALLI M.Thermal and economical analysis of a central solar heating system with underground seasonal storage in Turkey[J].Renewable Energy,2005(30):1005-1019.
[7] 畢月虹,陳林根.太陽能-土壤源熱泵的性能研究[J].太陽能學報,2002(2):214-219.
[8] 韓宗偉,鄭茂余,孔凡紅.嚴寒地區太陽能-季節性土壤蓄熱熱泵供暖系統的模擬研究[J].太陽能學報,2008(5):574-580.
[9] 王瀟,鄭茂余,張文雍.嚴寒地區太陽能-地埋管地源熱泵地板輻射供暖性能的實驗研究[J].暖通空調,2009,39(7):128-131.
[10] KOYUNA A,DEMIRAA H,TORUN Z.Experiment study of heat transfer of buried finned pipe for ground source heat pump applications[J].Heat and Mass Transfer,2009(36):739-743.
[11] 林濤.低溫地板輻射采暖的傳熱數值模擬及計算軟件開發(碩士學位論文)[D].哈爾濱:哈爾濱工業大學,2004:77-78.
[12] 中國氣象局氣象信息中心氣象資料室,清華大學建筑技術系.中國建筑熱環境分析專用氣象數據集[M].北京:中國建筑工業出版社,2005:68-89.
(本文作者:韓靖1 鄭茂余2 楊萌3 1.機械工業第六設計研究院 第六工程所 河南鄭州 450007;2.哈爾濱工業大學 市政環境工程學院 黑龍江哈爾濱 150090;3.中國市政工程中南設計研究總院第三設計院 湖北武漢 430010)
贊 賞 分享
您可以選擇一種方式贊助本站

支付寶轉賬贊助

微信轉賬贊助
- 注解:本資料由會員及群友提供僅供閱讀交流學習,不得用于商業用途!
