1 燃氣供銷差(Unaccounted-for Gas,簡稱UAG[1]或UFG[6])的定義
燃氣供銷差的定義為:來自所有氣源的可用燃氣總量與諸如銷售量、凈替代燃氣量和公司白用量之間的差值;此差值包括漏氣量或其他實際存在的損失以及由于用戶竊氣、計量不準、溫度和壓力的變化和計量時間的不同步所造成的差值等[1],燃氣的購進和售出需按共同的基礎狀態條件進行校正,其表達方式有[5,6]:
(1) 以體積式熱量表示系統供出量(System send-out)與實際用量之間的差值。
(2) 可用燃氣(Gas available)的百分值。
(3) 系統供出燃氣的百分值。
(4) 每公里干管或其他管道的損失量。
第1種方法是典型的表達法,第2、3、4種方法很少采用,僅在分析時作參考。
從工程和運行分析的角度看,UFG只是一個重要的有指導意義的指標,并不能說明燃氣計量系統的性能、相關記錄的有效性、單根管線或配氣系統的漏氣量和未經批準的使用量或竊氣量的最具權威的表達方式。在統計報告中常用燃氣量(體積或熱量)、百分數或貨幣值表示其經濟意義;規章的制定部門常用來衡量系統的安全性。通常并不使用或引用其絕對值,而是更多的在可比的條件下看作是一個發生變化的指示性標志。
從各國公布的統計資料文獻或國際燃氣聯盟(IGU)的統計資料中??煽吹饺細夤╀N差的報導。在我國可查找的統計資料中,最早有供銷差率(%)報導的是中國城市煤氣協會的統計資料匯編。當時建設部雖已有正式的城市建設統計資料出版,但協會從上世紀80年代末到本世紀初的十余年中,出版了《全國城市煤氣統計資料匯編》,作為可供參考的內部資料。早期的統計列入煤氣企業的八率統計表,但不久又改成煤氣企業的九率統計表,在九率統計表中取消了供銷差率這一項,因此,只有極少數的幾期有供銷差率的數據。在1994年度的一冊巾對我國128個燃氣企業做了統計,供銷差率的最大正值有幾個公司為100%(相當于只購進不售出),最大負值為-40%,這樣的數據是無意義的,可能對供銷差率的定義不明確或當時的條件下還難以統計,也可能已意識到供銷差率并不是一個和資本利稅率、銷售利稅率等經濟指標不屬同一類型的原因,從而在以后出版的九率中被取消,這說明,協會在完善資料的統計丁作中是做了許多努力的。
建設部的《城市建設統計年鑒》自1985年起正式出版,燃氣行業的統計數據也日趨完善,從2006年起出現了燃氣損失量(Loss Amount)這一欄,至今已有3年(已出版到2008年),現將2008年中的部分數據摘錄[7]如表1:
表1 2008年我國按省分列的城市天然氣部分數據
|
地區名稱
|
供氣總量(萬m3)
|
損失量與合計量之比(%)*
|
|||
|
合計
|
銷售氣量
|
居民家庭
|
燃氣損失量
|
||
|
全國
|
3680393
|
3563730
|
779917
|
116663
|
3.17
|
|
北京
|
601381
|
578626
|
72274
|
22755
|
3.78
|
|
天津
|
138630
|
125110
|
20159
|
13520
|
9.75
|
|
上海
|
298601
|
283746
|
57171
|
14856
|
4.96
|
|
重慶
|
187936
|
183559
|
63839
|
4377
|
2.33
|
注:*為筆者加上的一欄
表2 若干國家的供銷差率值(%)
|
國家
|
澳大利亞
|
丹麥
|
芬蘭
|
法國
|
德國
|
美國
|
伊朗
|
意大利
|
拉脫維亞
|
立陶宛
|
新西蘭
|
波蘭
|
羅馬尼亞
|
俄羅斯
|
西班牙
|
瑞典
|
瑞士
|
|
1993
|
289
|
0.11
|
0.21
|
1.82
|
0.69
|
4.23
|
7.40
|
0.98
|
3.08
|
0.99
|
215
|
7.48
|
1.16
|
2.38
|
1.25
|
0.70
|
0.70
|
|
1994
|
277
|
0.10
|
0.41
|
-1.97
|
0.10
|
2.59
|
4.34
|
0.60
|
3.01
|
2.00o
|
2.52
|
5.76
|
1.59
|
2.53
|
1.09
|
0.33
|
0.88
|
|
1995
|
255
|
|
0.39
|
2.63
|
0.66
|
3.96
|
7.99
|
0.31
|
2.38
|
2.28
|
2.61
|
2.77
|
1.10
|
2.78
|
1.48
|
0.29
|
0.88
|
分析表1中的數據后可知,燃氣損失量即供氣總量合計值與銷售量之差,從原則上看,似即供銷差的概念,但從中、英文的表達來看又未說明是供銷差;英文中燃氣的損失量定義為漏氣量與臨時性排放量之和(Leakage+fiagitive),且燃氣的損失量不可能有負值,與國際上規定的供銷差定義不同,因而筆者不能妄自制定,
2 國際上的參考數據
(1) 20屆世界燃氣大會(丹麥哥本哈根)的統計資料中有42個國家和地區的資料和圖表。供、銷及其差值的單位均用熱量值(1012J)表示,時間為1993年—1995年[1],原資料為460頁的一厚本,今選取17個國家,筆者將其整理并換算成百分數值,可見表2:
(2) 美國的資料
美國燃氣工程師手冊中[5]說明,美圍的供銷差值:1946年—1950年平均為4%;1958年—1960年平均為2.6%。根據美國1976年—1985年的統計資料[2],筆者整理后,用百分數表達的供銷差率可見表3:
表3 美國1981年—1985年的供銷差率
|
年份
|
1981
|
1982
|
1983
|
1984
|
1985
|
|
供銷差率
|
2.48
|
2.53
|
3.77
|
0.77
|
2.06
|
(3) 2009年24屆世界燃氣大會上,研究組4.2[3]對世界8大區24個國家所屬的48家燃氣公司做了答問研究,公布的結論是,有回答的公司中除2個公司的數值較高外,其他43個公司均在他們規定的等級值4%之內,平均值為2.7%。因此,取消邊緣值后,推薦以2.7%這一最大值作為供銷差值的基準值(Benchmark)。
3 供銷籌(以下用UFG表示)的求定
與UFG值有關的因素很多,難以用一個簡單的項目來表示。1959年美國AGA的運行部工作組曾提出一些對UFG有影響的因素,包括對這些因素的簡單的估算法[5]。隨著燃氣工業的發展,經過多年的實踐,開始明確與UFG有關的主要因素[6],認為UFG總量中差值產生的主要原因在于:
(1) 燃氣在生產、購買、銷售、交易過程中產生的計量誤差或省略了計量環節造成的錯誤。
(2) 引入氣庫或從氣庫中提取的燃氣量不準。
(3) 公司在運行中用掉了部分燃氣。
(4) 由于管道系統漏氣和安裝臨時支線或用戶竊氣時未加嚴格控制所造成的損失。
3.1 計量誤差
在輸氣和配氣中均可能發生計量誤差。
購進燃氣的計量誤差常發生在供氣公司的交付點上,如獨立的產氣方、儲氣設施方、與其他公司的交接點以及諸如代用天然氣或液化天然氣等作為補充燃氣的供氣點上等。當涉及1個—2個供氣點時,對IJFG的潛在影響很小。隨著氣源的數量和輸氣布局復雜性的增加,某些計量裝置在正、負誤差之間常會產生一種自消效應(Self-cancelling effect)。
銷售燃氣方的計量誤差發生在:大容量用戶的超壓交付點、公司的自用燃氣點、氣庫的燃氣引入點、與其他公司的交接點和配氣系統的室外民用氣表上。
計量誤差也可能發生在流量的變化范圍超出計量裝置所規定的公差要求時。其他的誤差原因則可能發生在:
(1) 大流量、高壓力的計量誤差
美國AGA的計量手冊(Catalog N0.XQ1081)中均有規定要求。對高壓下的燃氣流量必須進行校正,內容包括:燃氣的流動溫度、氣表的壓力、大氣壓力值、燃氣的相對密度、熱值、燃氣的含濕量和壓縮系數。嚴重的誤差可能發生在大流量、高壓力的計量站,特別在按合同溫度或平均的燃氣流動溫度作流量計算時。不適當的操作和干擾也會發生不正確的計量記錄。
對大型的大流量供氣站,計量規定要求流動燃氣的溫度有連續的記錄。對孔板流量計,基礎溫度每發生5.5℃的變化,計量體積就有1%的誤差;對容積式流量計,基礎溫度每相差2.7℃,也會得到1%的計量誤差[5][6]。
運行操作中也會有錯誤的記錄,通常發生在計量儀器連接管路受凍,控制設備的動作失調。計量器上的記錄筆或時鐘失效,不正確的計量記錄和圖形比例以及不正確的計量控制程序等方面。用圖形表達時,如壓差線太粗而壓差又很小,造成的計量誤差甚至可能達到20%[6]。
(2) 低壓下的計量誤差
與UFG有關的民用低壓氣表的計量誤差常發生在與基礎條件不同的溫度和壓力時,假設基礎條件為101.325kPa和15℃,民用氣表又安裝于室外,則夏季可能有+5%,冬季可能有-5%的差別,需用溫度補償表校正低壓系統因燃氣流動溫度變化而得到的UFG值。這一原則同樣也適用于室內氣表,只要實際燃氣的流動溫度與規定的基礎溫度不符。
低壓計量中的誤差常發生在:低壓管道系統運行壓力的變化,低壓系統與海平面的高程差,大氣壓力,燃氣熱值和流動燃氣的相對密度等發生變化時。
平均大氣壓與高程的關系工程上可按圖1所示計算[6]。

3.2 低壓計量中的校正系數[6]
如上所述,供銷差計算中代表供的一方是不同來源的可燃氣體總體積,代表銷的一方是相同時間段中實際的用氣體積,兩者必須在同一基礎狀態條件下才能進行計算。對大用戶或高壓供氣戶,實際的用氣體積都是經過狀態計算校正的,可直接用來計算供銷差。但對與低壓系統連接的用戶。用氣量是通過抄表確定的,極可能誤以為抄表所得的賬單體積即實際用氣體積,實際上賬單體積也必須做狀態校正,且可通過理論計算方法得出與實際體積的差別。常用以下格式表示:
實際體積(VAct)=賬單體積(VBil)×校正系數(C)
校正系數按以下公式確定:

式中:角標S表示基礎狀態條件,M為計量(抄表)狀態條件。
為了表明使用校正系數后對UFG的影響,常引用一個UFG的影響值概念[6]:即
UFG的影響值=賬單體積(VBil)-實際體積(VAct)
=VBil-VBil·C
=VBil(1-C) (2)
將上式中的(1-C)×100(成為百分數)稱為UFG的影響值(用百分數表示)
若C>1,即實際體積大于賬單體積,(1-C)
為負值,會使UFG減少。
若C<1,即實際體積小于賬單體積,(1-C)
為正值,會使UFG增加。實即售出的實際氣體體積小于賬單氣體體積。
這一概念有助于分析在經濟上對燃氣公司有利,對用戶不利或其相反的情況。從而不斷提高校正工作的準確性。
以下可通過計算實例,進一步對UFG的影響值加深理解[6]。
3.2.1求計量溫度的校正系數CT
已知基礎溫度TS=15℃,試計算容積式流量計在下列兩種條件下的溫度校正系數?
(1) 若流動燃氣的實際溫度為0℃,則該氣表的校正系數為:

式中TS——基礎溫度(273.2+15=288.2k)
Tf——流動燃氣的實際溫度(273.2+0=273.2k)

UFG的影響值(用%表示)為:
(1.000-1.055)×100=-5.5%
即校正后的實際體積大于賬單體積,校正量將促使UFC減少。實際的售出燃氣體積大于賬單上的收費體積。
(2) 若流動燃氣的實際溫度為27℃(273.2+27=300.2k),則

UFG的影響值(用%表示)為:
(1.000-0.960)×100=+4.0%
即校正后的實際體積小于賬單體積,校正量將促使UFG增加,實際的售出燃氣體積小于賬單上的收費體積。
IS0 6976:1995中規定的基礎溫度或參比溫度為15℃。我國天然氣標準中采用20%,而城鎮燃氣設計規范中又采用0℃,極不統一;主要應看購氣合同中規定的基礎溫度值。流動燃氣的實際溫度決定于氣表的安裝位置,隨季節氣候而變化;室外氣表變化較大,室內較小,以后還將討論。
3.2.2計算壓力的校正系數Cp

式中PS——基礎壓力,101.325kPa;
Patm——當地實際的大氣壓,kPa;
Pgauge——計量表的壓力,kPa;
若已知一個低壓系統的壓力=152.4mm水柱,該地離海平面的高程差為304.8m,當地大氣壓為736.6mmHg,基礎大氣壓為760mmHg。換算系數1mm水柱=0.009806kPa。
查圖1,得高程為304.8m處的大氣壓為98kPa,則

對UFG的影響值=(1.000-0.952)×100=+4.8%
說明高程差較大的地方,實際售出的燃氣體積小于賬單上的收費體積。
3.2.3計算熱值的校正系數Chv

式中HVpg——購進燃氣的熱值,或實際使用中的燃氣熱值,MJ/m3;
HVstd——規定的標準熱值,MJ/m3。
在美國和其他許多國家,配氣公司購進的多數燃氣常用能量單位,而銷售時則用體積單位計量。而用于賬單結算的標準熱值則由管轄區的規章制定單位根據熱值的變化裁定。因此,購進燃氣熱值的變化和用于賬單結算的標準熱值會影響到UFG值。
已知燃氣用于賬單結算的標準熱值為37.98MJ/m3,而購進燃氣的熱值為39.10MJ/m3,則熱值的校正系數為:

UFG的影響值=(1.000-1.029)×100=-2.9%
而實際的售出燃氣體積大于賬單上的收費體積
如購進燃氣的當量熱值為35.37MJ/m3,則

UFG的影響值=(1.000-0.93)×100=+7%
即實際的售出燃氣體積小于賬單上的收費體積
3.2.4 燃氣中水蒸汽含量的校正系數CW
校正系數應用于:當購進的燃氣為干基,購進后再加濕;或購進的為濕氣,經脫水后,供應干氣這兩種情況。水含量的校正系數可按下式計算:
由干氣至濕氣的校正系數:

由濕氣至干氣的校正系數:

式中PB=基礎壓力=101.325kPa
PV:基準狀態為15.5℃和101.325kPa時水蒸汽的壓力=1.767kPa
RH=相對濕度,用10位百分數表示,如1.0,0.8,0.5等。
如購進的燃氣為干基,加濕(RH=100%)后供民用,終端用戶的抄表值應與購進氣的容積相一致,必須由濕氣轉換成干氣:

UFG的影響值=(1.000-0.9826)×100=+1.74%
3.2.5超壓縮性(Super compressibility)的校正系數Cpv
波義爾定律表明,當溫度為常數時,燃氣的相對密度正比于其絕對壓力。在燃氣壓力高于大氣壓力時,天然氣的相對密度通常均大于理論值。超壓縮系數用于計算計量壓力等于或大于6.9kPa(1lbf/in2)時的氣體體積。燃氣的超壓縮性是其壓力、溫度和相對密度的函數。一般在高壓條件下燃氣的抄表體積均已經過壓力校正,因此,與UFG的影響值無關。
3.2.6氣表準確性的校正系數
低壓系統中容積式流量計的準確讀數受以下兇素的影響:(1)氣表標準儀表的標定影響;(2)氣表標定快、慢的影響;(3)氣表更換周期中機件的耐久性影響等。
由于多數配氣公司所用的氣表可能來自不同的生產廠,根據標準制定部門制定的試驗要求,在準確性、公差和使用時間方面可能有一些差別,在低壓系統中考慮氣表的準確性XCUFG的影響也不現實。
3.3 地下氣庫運行中的計量誤差
如果地下氣庫的引入和提取氣量的測量基礎條件相同,則UFG的值可達最小,因此,必須考慮到墊層氣(Cushicngas)的變化,引入和提取氣量必須保證庫內余下的墊層氣量相同,并以此作為基本條件。從氣庫中提取的燃氣在計量前必須去除水、其他液體、塵埃和石蠟油等。
在短期內從氣庫提取的燃氣量從零增加到一個相對較高的量時,可能會導致孔板變形或渦輪表的超速。提取氣量可能達到高峰用氣量的50%,氣庫的操作情況對UFG的影響應特別注意。
3.4 公司的自用氣量
公司的自用氣量來源于營運的需要,可分為經營用和操作用兩部分。前者包括公司的辦公室、服務中心、倉庫和其他建筑物的中央空調和熱水等需要的用氣量;后者是指管道加熱器、發電機、脫水廠、加壓站、補充氣源和調峰廠等的用氣量,通常均需進行計量。
未經計量的公司自用氣量包括日常操作中所用的氣量,如熱量計和分析儀、計量儀表和控制儀表以及正常運行和維修過程中排出的少量燃氣。
上述公司白用的同定計量氣表每時每刻都在變化中,排出量和損失量約為每表0.05m3。管道儲氣的變化則與管段中的氣量有關,為滿足用戶的需要,管內壓力的升高或降低對UVC都有影響,其量也可通過計算確定;如不作計算,則冬季系統的壓力增高時UFG也增加,反之,春季壓力降低時UFG也減小。
未經計量的公司自用氣量中,運行試驗和接管時管道吹掃的排氣量是主要部分。下式可用來計算這部分排氣量:

式中P1=管內的初始壓力,(kPa)ahs;
V1=P1和T1時燃氣的體積,(Nm3);
T1=燃氣的初始溫度,(k);
P2=標準大氣壓,(101.325kPa):
V2=標準狀態下的溫度,(273.2+15)=288.2k;
Z1=P1和T1時燃氣的壓縮系數;
Z2=標準狀態下燃氣的壓縮系數=1.0;
R=氣體常數。
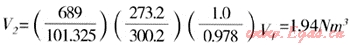
例:計算管道清掃時燃氣向大氣的排放量
已知:初始壓力為689kPa(絕對壓力);初始溫度為27℃;壓縮系數=0.978;管內徑203.2mm;管長=23m。
管道的幾何容積V1=0.00000785D2L=0.745m3
相當標準狀態下的排氣體積:

近些年來燃氣公司的用氣構成十分復雜,需認真總結,美國的一些資料可供參考㈧。
3.5 不可控制的燃氣損失量
凡屬非計量誤差造成的燃氣損失量,在統計中可作為不可控制的損失量處理。
3.5.1管道系統的漏氣損失
在地下燃氣輸配設施未做全面防腐保護之前,UFG主要源于因腐蝕造成的漏氣損失。隨著各國規范不斷的改進和嚴格要求,這項漏氣損失已逐漸減少。
3.5.2維修計劃中的漏氣損失
通常指未經計量的大量燃氣通過城市門站中的計量站、加壓站以及替代燃氣交換站等處的旁通管或在事故接管時通過管道閥門造成的漏氣損失。因此,在閥門檢測和維修計劃中應盡量減少UFG中的這一損失量。
漏氣作為產生UFG的主要原因常令人懷疑,特別是UFG的長期記錄趨勢中有突變情況發生時。漏氣鑒定的根本方法只能通過詳細的漏氣測量來完成。如將部分管道從系統中隔離,然后在不同點上安裝校核計量儀器或在漏氣管段上鑒定其進、出口的流量等。
3.5.3管道系統受到破壞時的漏氣損失
大型管道設施的失效或受外力的損傷會產生不可控制的燃氣損失,開挖設備通常是導致管道破裂的主要原因。管道破裂造成的燃氣漏損甚難確定,特別是漏損發生在環狀管網的管段上。利用公式的幫助可獲得近似的燃氣漏失量。近似燃氣損失量應作為管道發生破裂時正式報告中的一個部分。
3.5.4臨時連接燃氣支管和竊氣造成的損失
近年來,UFG構成中因臨時連接燃氣支線和竊氣事件造成的燃氣損失已成為必須消除的問題。竊氣通常是在兩個抄表日之間拆除氣表,隱藏損壞的氣表或數字顯示機件和在氣表的上游連接臨時支管等,類似的這些問題只有在情況確定后才能估算出UFG的量。
竊氣可用連續分析用戶的耗氣量來減少,如比較現行的抄表值和之前的抄表值,或根據連接的燃具數估算。抄表人員對管線的監管負有責任,及時發現臨時的或多余的管線以及氣表附近的可疑情況。
4 統計工作
統計工作是追蹤購氣量和交付用戶使用的氣量,從而確定UFG的總值。
4.1 對所有的購進氣量和交付氣量進行準確的限定
求定UFG的計算準確性決定于“計量區”或“范同”的合適定義。一個計量區規定為在一個管道系統上的每一個供氣點和向用戶交付點的氣量均能進行核定。對一個簡單的配氣系統,計量區或計量范圍包括門站計量站下游的所有氣表;對大型的復雜系統,則需要分成若干個計量區,要有詳細的設施和用戶記錄卡,并保證計量結果能達到可接受的準確程度。美國的經驗表明[6],并不一定對大型系統的每一個計量區需有詳細的UFG記錄,除非UFG的長期趨勢已發生了變化而必須進行徹底的核查。
4.2 統計報告的修改和調整
燃氣購入和交付量的月統計中,其體積量可能已包括氣表動作失調、讀表的錯誤或出現一些估計值。在長輸公司方面,統計的誤差可能在某個月內發生不平衡的情況,通常在隨后的一個月份中在計量圖表根據實際的體積處理后應進行準確的校正。因而UFG報告中準確的體積值也應做適當的修改和調整。使用電子流量量測技術(EFM-Electronic flow measurement)可以大大改進量測的準確性和量測數據的及時性。
4.3 賬單循環(Billing-cycle)的效應
不論是長輸管線還是配氣系統,兩者的購進或交付使用的燃氣量應在相同的月末日期完成統計工作,如果有一方的統計工作落后,對UFG而言,就產生了所謂賬單循環效應。一個城市可用燃氣的賬單日期,在向地區氣源方、管道供氣方的購進和氣庫或調峰供氣方的日期,在一個日歷月中可能處在不同的時間;對大流量、高壓力用戶交付量的賬單日期可能處在同一日歷月的不同時間;而配氣系統用戶的賬單時間則隨抄表日期而變,而抄表日期又分布在一個月的各天中,而更為復雜的賬單循環效應常發生在雙月抄表和不同的抄表慣例時。
比較簡單的方法是根據專用的抄表圖將高壓、大流量用戶的交付日選定一個共同的日歷周期,但實際上又很難做到。在低壓系統中使用容積式流量計時按月或雙月抄表值得出按日歷日規定的氣量。南于這類用戶在配氣系統中所占的氣量比例很大,UFG的計算只有按年度結算才能達到可接受的準確值。對年周期的UFG值,美國的經驗是以8月末作為結算日期,由于夏季的用氣量最少,記錄的購氣體積和銷售量之間的誤差值通常最小[5],[6]。選擇用氣量最小的日歷月末作為確定年UFG的日期是各國在實踐中得出的一個重要經驗。
5 結語
(1) 作為一個重要的運行指標,UFG值涉及到系統的經濟性、安全性、技術、管理水平和對環境的評價等。如UFG的趨勢值不斷增加則應查出其原因和位置,如不斷減少,則應指出校核工作改進的特點或計量中的問題。隨著管理水平不斷從粗放到集約,發達國家的UFG值在逐步減小,且數據可靠,經得起計量、報告和核實。在正常情況下UFG值應該是比較穩定的,當前世界上參與IGU調查的國家多數在4%以內,平均值為2.7%。
(2) 我國的燃氣統計資料中尚未看到UFG的值。雖然從表1可知,燃氣損失量為供氣總量的合計值與銷售氣量之差,但并未說明燃氣損失量HIIUFC,或有對其定義的說明。因此,無法妄為推論。這說明,在我國開展UFG研究的空間還很大,有許多工作可做,各國的經驗值得研究。
(3) 參考文獻5中介紹了未經校正的賬單數據對UFG的影響。從本文的計算示例可知,如對賬單值不做校正,或校正的項目內容不全面,存在缺項,則實際售出的燃氣體積完全可能小于賬單燃氣或缺項校正后的賬單燃氣體積,在這樣的情況下將賬單體積代表售出燃氣的實際體積后求得的UFG值就可能成為負值。如以UFG的正值代表燃氣的損失,負值代表燃氣的獲得就不盡合理。因此,供銷差的計算必須強調相同的狀態條件。如果校正的狀態條件完全符合于實際的運行狀況,則UFG就能真正反映燃氣系統的損失狀況,在此條件下對UFG作比較才有意義。
(4) 燃氣工程中的許多名詞術語均有規定的定義和內涵,不能僅從中文的字面上去理解,從而把復雜的問題簡單化,造成理解上的錯誤。已有很多這類的例子,供銷差是其中之一。
參考文獻
1 《Statistical Data》,20th world Gas Conference Sub-Committee G 1(1993,1994,1995),Copenhagen,Denmark 1997
2 American Gas Association. 1976-1985 Historical Statistics of the Gas Utility prepared by Department of Statistics
3 Chair Steve Vick (United kingdom).An evaluation and determination of leading practices used in the industry for management of leakage from gas distribution systems. Study Group 4.2 (Woc-4) 24th World Gas Conference,Boenors Aires Agentina 2009
4 中國城市煤氣協會.全國城市煤氣統計資料匯編.1994
5 C.George Segeler (Editor-in-Chief) Gas Engineers Handbook. Fuel Gas Engineering Practices. 93 Worth street,New York,N.Y.1965
6 The American Gas Association 《Transmission》Volume Ⅱ,Book T-1 Pipelines/planning and Economics. Geop (Gas Engineering and Operating Practices) A Series by the Operating Section.1989
7 住房和城鄉建設部計劃財務與外事司.中國城市建設統計年鑒.中國計劃出版社,2008
(本文作者:李猷嘉 中國市政工程華北設計研究總院 300074)
贊 賞 分享
您可以選擇一種方式贊助本站

支付寶轉賬贊助

微信轉賬贊助
- 注解:本資料由會員及群友提供僅供閱讀交流學習,不得用于商業用途!
