摘要:“油氣儲量起算標準確定方法”是儲量計算中關鍵而又敏感的問題,長期以來未得到有效解決。根據多年來的儲量計算與評價研究,認為可從單井儲量價值評估入手,以單井的投入、產出盈虧平衡為條件,采用將未來采出量折算成現值產量的新方法,研究該井回收產能建設投資的最低經濟可采儲量,作為儲量起算標準,由此測算不同穩產年限或遞減率條件下的穩定日產量。分別以川渝地區2口油氣井為例,說明了具體的確定方法。
關鍵詞:油氣;單井;儲量起算標準;價值評估;現值產量;經濟可采儲量;方法
自從我國三大石油公司重組上市以來,油氣儲量的計算與評估,就從注重體積量計算,過渡到重視價值評估方面[1]。2005年發布實施的《石油天然氣儲量計算規范》行業標準[2],也體現了這一原則與變化趨勢。然而在儲量計算中有一個關鍵而又敏感的“儲量起算標準確定方法”問題,至今尚未得到有效解決。究竟應采用何種方法來確定單井的儲量起算標準,一直是眾多儲量計算與評估工作者傷腦筋的問題。根據多年的實踐及研究工作經驗,筆者認為可從儲量價值評估[3]入手,探索采用動態評價(現值)法來研究解決上述問題。
1 解決問題的基本思路
一個油氣藏必須經過開發,將儲量變成商品產量,才能取得收益。只有當收益能抵償在此過程中的所有投入及成本、稅費支出時,才能實現投入、產出的基本平衡。在儲量計算前,當試圖考查某口已獲油氣單井是否達到起算標準時,則應當以這口單井的投入、產出是否能實現盈虧平衡作為判斷依據。
在經濟評價中,按是否考慮資金時間價值分為動態法和靜態法。筆者主要探討考慮資金時間價值的動態評價(現值)法。
1.1 靜態評價法
當采用不考慮資金時間價值的靜態法評價時,可采用如下方法:
1) 針對探明未開發儲量,單井穩定產量需達到儲量起算標準,可根據當地、當年銷售平均價、實際經營成本、開發井建設投資及稅費等,按式(1)或(2)測算。
油井儲量起算產量的計算公式:

氣井儲量起算產量的計算公式:

若為凝析氣藏,qeg則為當量氣產量,價格及成本均相應按當量氣測算。各式中非標準、未注明的參數符號及意義統一附后。下標g表示氣,o表示油,下同。
2) 針對探明已開發儲量,若開發井建設完成,則儲量起算標準產量。可不考慮開發井建設投資Ip及投資回收期PT,按式(1)或(2)簡化測算。
1.2 動態評價(現值)法
當考慮資金時間價值時,以單井的投入、產出盈虧平衡累計凈現值等于零為條件,研究該井回收產能建設投資的最低經濟可采儲量,作為儲量起算標準,由此測算不同穩產年限或遞減率下的穩定日產量。
2 評價模型的建立
2.1 前提條件
在評價期間均不考慮銷售油氣價格、生產成本及稅費率等隨時間的變化,全部采用評價基準日或合同的價格和成本以及其他有關的條件[1~4]。
2.2 評價對象
以已獲油氣井或新鉆井為對象,考查其滿足投入、產出盈虧平衡的產能條件。
2.3 評價方法
依據技術經濟評價盈虧平衡原理,采用現值法,將投入和產出均折算為評價起始年的累計凈現值(NPV)為零作為極限,基本公式如下:

3 現金流入的現值算法
3.1 油氣井生產基本模式
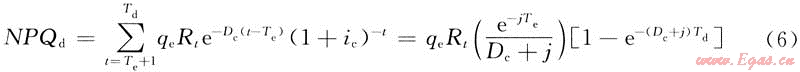
油氣井開采一般都要求有一段時間的穩產期(Te),然后再進入遞減階段生產(圖1),而穩產期的平均日產量(qe),就是本文所指的儲量起算標準產量。

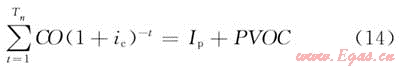
3.2 可采儲量計算
以氣井為例,按圖1生產模式,可采儲量等于穩產期采出量與遞減期采出量之和:

3.3 現值產量計算
將未來采出并銷售的天然氣,貼現成評價起始年的天然氣,由此得到現值產量:
1) 穩產期現值嚴重:

2)遞減期現值產量:

3)總現值產量:

以上各式中,設ej=1+ic,ta=te+td。
3.4 現值系數計算
根據資金時間價值概念,用現值除以將來值,表示現值系數(1+ic)-t,如果用現值產量除以累計產量(即可采儲量),就可得到累計產量現值系數:
PVF=NPQ/GR (8)
根據式(4),當廢棄產量比初始產量(qga/qgi)<<1時,

由此可求得現值系數為:

如果氣井未按圖1所示的穩產-遞減模式生產,而是投產當年就遞減,則Te=0,式(10)可簡化為:

3.5 現值凈收入計算
產品銷售收入扣除銷售稅金及附加后為銷售凈收入,計算公式為:

4 現金流出的現值算法
現金流出包含資本性支出和費用性支出兩部分。
4.1 資本性支出的估算
資本性支出為新增投資(Ip),應包含鉆井投資(CzD)、地面建設及配套工程投資(DM)之和。
對于已獲油氣井,鉆井投資已經發生,因此新增投資只考慮產能建設投資。
4.2 費用性支出的估算
費用性支出主要指直接操作成本,其現值取決于總生產時間與貼現率,計算公式如下:

4.3 現金流出的總現值
現金流出的總現值,等于新增投資(Ip)與未來操作成本現值(PVOC)之和:

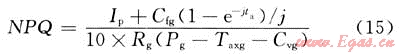
5 穩定日產量計算
將式(12)、(14)代入式(3),可得現值產量為

根據圖1模式生產,以目前通用的石油行業基準收益率12%作為貼現率(ic),那么系數j=0.11333。通過理論計算,可以得出圖2所示的采(油)氣速度、遞減率、現值系數、穩產時間與總生產時間的相關曲線。

由圖2所示的相關分析,穩產期的產量可由下式確定:

式中:NPQ、v、PVF均可由圖2中的關系式計算確定。下面將以實例說明具體應用。
6 應用實例
6.1 氣井實例
川渝某氣田TD82井,實際發生鉆井投資4600萬元,地面產能建設投資369萬元,測算固定成本130萬元/口,可變成本45元/103m3,氣價890元/103m3,天然氣商品率96%。按如下3種假設計算該井的儲量起算標準及可采儲量,并與靜態評價法式(2)計算結果對比:①考慮全部投資并且穩產5年;②只考慮產能建設投資并且穩產5年;③穩產3年并不考慮投資。
3種假設條件下計算結果:儲量起算標準分別為3.93×104、0.87×104、0.67×104×104m3/d,與靜態評價法式(2)計算結果相比高21%~27%;要求的最低可采儲量分別為13694×104、3026×104、1602×104m3(見表1)。

6.2 油井實例
川中地區設計鉆1口2480m井深的油井,預計鉆井投資1550萬元,地面產能建設投資100萬元,估算固定成本35萬元/口·a,可變成本975元/t,石油銷售平均價2853元/t,商品率98%。由于采用衰竭式開采方式,油井無穩產能力,按如下2種假設條件計算該油井的儲量起算標準及最低可采儲量:①考慮全部投資并且無穩產期;②僅考慮產能建設投資并且無穩產期。
計算結果儲量起算標準分別為10.4、1.87t/d,要求的最低可采儲量分別為17090、3084t(見表1)。
7 認識與建議
1) 從單井儲量價值評估A-T-,采用將未來產量折算成現值產量的全新方法,以單井的投入、產出盈虧平衡為條件,研究該井口收產能建設投資的最低可采儲量,作為測算儲量起算標準,是切實可行的。
2) 利用采(油)氣速度、遞減率、現值系數、穩產時間與總生產時間的相關關系,可計算不同條件下的儲量起算標準。
3) 在申報新增探明儲量時,建議只考慮單井產能建設投資及直接操作成本,計算儲量起算標準及所需的最低可采儲量。
符號說明
qeo、qeg分別為油井、氣井的儲量起算標準(即穩產期的平均日產量),t/d、104m3/a;qi為初始年最高折算日產量,t/d、104m3/d;qa為廢棄年平均日產量,t/d、104m3/d;Cfo、Cfg分別為油井、氣井的年固定成本,元/a;Cvo、Cvg分別為單位產品油、氣的可變成本,元/t、元/103m3;Ro、Rg分別為石油、天然氣商品銷售價格,元/t、元/103m3;Ro、Rg分別為石油、天然氣商品率,小數;Taxo、Taxg分別為油、氣的單位產品綜合稅率,包括增值稅、資源稅、城市建設維護費及教育費附加;Te(或te)為穩產期生產時間,年或月;Td(或td)為遞減期生產時間,年或月;L為評價年限,a;ta為總生產時間,年或月;Rt為生產時率換算系數,當生產時間t按年統計時,Rt=330;當生產時間按月統計時,Rt=27.5;當生產時間按天統計時,Rt=1;v為采油、氣速度,%;Dc為綜合遞減率,1/a;PVOC為直接操作成本貼現值,
參考文獻
[1] 張倫友.國內外油氣儲量的概念對比與剖析[J].天然氣工業,2005,25(2).
[2] 呂鳴崗,程永才,袁自學,等.中華人民共和國國土資源部發布《石油天然氣儲量計算規范》(DZ/T 0217—2005)[S].北京:中國標準出版社,2005.
[3] 張倫友.石油天然氣儲量價值評估方法研究[J].天然氣勘探與開發,2005,28(3).
[4] 張倫友.國家石油和化學工業局發布《天然氣可采儲量計算方法》(SY/T 6098—2000)[S].北京:石油工業出版社,2000.
(本文作者:張倫友 青紅 黃嘉鑫 中國石油西南油氣田公司勘探開發研究院)
贊 賞 分享
您可以選擇一種方式贊助本站

支付寶轉賬贊助

微信轉賬贊助
- 注解:本資料由會員及群友提供僅供閱讀交流學習,不得用于商業用途!
