摘要:煤巖具有微孔-中孔-大孔-裂隙多重孔隙結構,中孔-大孔中的煤層氣流動規律是連接微孔解吸和裂隙滲流的橋梁,是揭示煤層氣解吸-擴散-滲流分階段產出機理的關鍵環節。基于受煤巖變形影響的煤層氣分階段產出特征和規律分析,建立煤層氣在基質微孔表面解吸、由基質微孔向基質較大孔擴散、在基質較大孔中和裂隙空間中滲流的分階段流動數學模型,求取裂隙中氣-水兩相隱式壓力顯式飽和度有限差分線性方程組,計算出晉試1井煤層氣的產出動態,驗證了考慮吸附變形的煤層氣分階段流動模型的可靠性,為完善煤層氣產出動態分析和預測方法提供了理論依據。
關鍵詞:煤層氣;流動;階段;吸附;變形;數學模型;泌水盆地
煤層巖體中氣體流動涉及滲流力學、巖石力學、采礦及安全工程等多個學科,目前國內外有關的煤層氣流動模型主要來源于滲流理論、擴散理論、擴散-滲流理論及地球物理場效應下的多場耦合理論。
雖然煤層氣滲流理論認為煤層氣在煤層中的流動服從線性達西滲流定律,煤層氣擴散理論認為煤層氣在煤層中的流動服從菲克擴散定律,但大量的實驗和理論研究及相關生產實踐都表明:煤層是由含孔隙煤粒和截割煤粒的裂隙組成的可變形的孔隙裂隙雙重介質;孔隙表面是吸附煤層氣存在場所,其運動服從菲克擴散定律;裂隙是游離煤層氣存在的場所,流動服從達西定律;煤層內同時存在一個擴散場和一個滲流場,二場之間存在質量交換,交換量對兩個流動場而言分別相當于一個負的質量源和正的質量源;煤粒表面和裂隙之間的質量交換符合吸附動力學規律[1~3]。
隨著對煤層氣流動機理研究的深入,許多學者認識到了地應力場、地溫場及地電場等對煤層氣流動場的作用和影響,并圍繞煤巖體孔隙壓力與圍巖應力對煤巖體滲透系數的影響,以及對滲流定律達西定律的各種修正,建立和發展了多場耦合作用的煤層氣流動模型及其數值方法[1~3]。
實踐證明,在煤層氣開采過程中,隨著氣體產出煤儲層孔隙壓力降低,煤層孔隙體積收縮將影響煤儲層的滲透率,從而影響到煤層氣的采出,而吸附賦存方式則是煤層氣有別于常規天然氣的本質特征[4~5]。由此可見,吸附變形是煤層氣產出過程必然發生的客觀現象,受這一現象制約,煤層氣產出過程呈現出典型的解吸-擴散-滲流的階段性特征。一般說來,解吸發生在煤巖基質微孔小孔及其表面、擴散發生在煤巖基質微孔-小孔中、滲流發生在中孔-大孔裂隙中,滲流產生的壓力降提供給擴散的動力,擴散形成的濃度差產生的勢能降促使解吸發生,而解吸出的氣體則是擴散和滲流的物質來源,這三個階段互為因果、環環制約[6]。之前的研究大多強調了解吸-擴散-滲流的氣體流動過程,忽視了煤基質中孔-大孔的橋梁作用,弱化了各階段流動之間的聯系。筆者在分析煤層氣吸附變形特征及其對煤層氣流動影響的基礎上,按照煤層氣在不同尺度孔隙空間中分階段流動的產出特征,將基質中孔-大孔納入到流動過程中,以溝通基質微孔和裂隙系統的兩級流動,以此建立考慮煤巖變形和煤層氣解吸的煤層氣分階段流動模型,為煤層氣產出動態分析提供理論基礎。
1 煤儲層吸附變形及產氣特征
1.1 煤層氣的吸附特征
由于煤巖塊中微孔和小孔的發育,煤巖通常具有較大的比表面積,一般說來,煤的總孔容介于0.02~0.2cm3/g之間,內表面積則可高達400m2/g,大量的比表面為煤層氣的吸附創造了有利的條件。因此,煤層一般比相同體積的常規砂巖多存儲1~2倍甚至更多的氣體,如圣胡安盆地的一個埋深914m的煤層,儲集層含氣量為28m3/m3,而相同深度的常規砂巖卻只有12m3。
現有的研究表明,煤固體分子吸附煤層氣氣體分子的作用力是范德華引力,屬于可逆的物理吸附現象。當被吸附氣體分子熱運動的動能足以克服吸附引力場的作用時,氣體分子可脫離固體表面,重新回到游離氣相,當吸附與解吸達到等速時體系達到平衡。在煤層氣的開采過程中,當地層壓力下降到臨界解吸壓力時,被吸附的甲烷分子與煤層微孔隙表面脫離,進入游離狀態并參與向較大孔隙的擴散。
對于煤層氣吸附最重要的參數是表面吸附勢能,煤層固體表面的吸附勢決定了吸附作用力的大小,因而影響到煤層氣的吸附量,同時,煤層氣的吸附也受煤階、儲層壓力、儲層溫度、煤層氣組分及儲層水分、灰分含量等的影響。
1.2 煤巖的變形特征
在煤層氣開采過程中,隨著排水降壓及吸附煤層氣的解吸,煤儲層孔隙、基質、裂隙均會發生一定的變形,即引起固體顆粒的滑動和轉動、顆粒形狀改變甚至斷裂,這種變形引起孔隙結構的改變,使有效孔隙度和滲透率發生變化,從而影響氣體的流動及最終采出。
影響滲透率的因素很多,儲層壓力、天然裂隙出現的頻率及其連通情況、裂隙開度、端割理和面割理方向、水飽和度、煤層埋深、基質收縮、應力等都會影響煤層的滲透率,而滲透率的變化對氣、水產量的影響均較大[5]。在煤層氣開采過程中滲透率的變化是各種效應綜合作用的結果,在上覆壓力一定的情況下,裂隙內流體壓力減小,有效應力增加,裂隙將由于受壓縮而減小;當孔隙壓力減小,煤巖基質中甲烷的解吸引起煤基質的收縮從而會增加裂隙間的間距;前者將導致滲透率降低,而后者則促使滲透率增加。
1.3 煤層氣分階段產出特征
煤層氣主要以吸附狀態賦存于煤基質塊的微孔隙中,在一定壓力下處于動平衡狀態,其流動遵循“解吸-擴散-滲流”三個緊密相連、相互影響的過程。煤儲層是由孔隙和裂隙組成的多孔介質,其孔隙、裂隙結構及特征直接與煤層氣的吸附性和流動性密切相關,是建立煤層氣產出模式的基礎。在排水降壓開發煤層氣的過程中,不同尺寸的裂隙和孔隙的壓降程度不同,滲流或擴散能力各異。如前所述,現有的滲流方程更多地考慮了裂隙中流體的流動,忽視了煤基質較大孔隙中流體流動的橋梁作用,忽略了各流動階段間的聯系。由于煤層中煤層氣主要賦存于基質孔隙中,解吸、擴散等基質內的流動一般都比裂隙中的滲流慢得多。因此大多數煤層氣開采的控制因素是以解吸和擴散為主,忽略煤基質較大孔隙中流體的流動顯然難以準確描述煤層氣在煤儲層中的復雜流動過程。
煤基質巖塊中不僅發育微孔隙,還廣泛發育足以使煤層氣流動的較大孔隙,如基質中的過渡孔、中孔、大孔等[6~7]。因此在煤基質巖塊中僅有煤層氣在同一尺度孔隙中擴散或滲流的模式是不符合實際的。事實上,由于上述較大孔隙復雜的空間關系,煤層氣從煤表面解吸后經由微孔隙、較大孔隙到裂隙產出的過程中,存在擴散和滲流運動形式的多次交替。因此下述分階段產出模式更符合煤層氣產出的實際:①煤層氣在基質微孔表面的解吸;②解吸煤層氣從基質微孔擴散到基質較大孔(定義為除裂隙外的滲流空間,包括基質中的過渡孔、中孔、大孔等),并參與基質較大孔(喉道半徑一般大于10nm[6])中原有煤層氣的流動;③游離煤層氣從基質較大孔滲流到裂隙,并與裂隙中的氣體和水一起滲流。
2 吸附變形煤巖體分階段產氣數學模型
2.1 基本假設
1) 假定煤巖體理想化地被面割理和端割理切割成規則的含孔隙的基質塊。
2) 煤層包含氣水兩相流體。
3) 煤巖孔隙由基質微孔、基質較大孔、裂隙三重孔隙結構組成;基質微孔隙直徑小(喉道半徑一般小于10nm[6]),水不能進入,僅含吸附氣相,其中的煤層氣解吸過程符合擬穩態吸附規律;基質較大孔隙中不發生氣體吸附,僅提供氣、水兩相的儲存空間和流動路徑;裂隙系統提供氣水兩相流體流向井底的滲流通道。
4) 煤巖基質微孔系統中的解吸煤層氣通過擴散進入基質較大孔中,煤層氣、水兩相在基質較大孔-裂隙雙重介質中的流動符合達兩定律。
5) 流體無相間交換,即不考慮煤層氣在水中的溶解。
6) 流體在整個流動過程中保持等溫狀態。
7) 流動過程巖石的變形通過壓力變化和基質收縮引起的裂隙孔隙度和滲透率的變化來體現。
2.2 基質微孔中氣體運動方程
一般情況下,水不能進入基質塊中的微孔隙,基質微孔中煤層氣以吸附態方式賦存,并通過擴散方式進入到基質較大孔中。
基質較大孔系統中的氣體是自由氣體,基質微孔隙中的氣體則主要是吸附氣體。只有靠近裂隙面的基質微孔隙中的氣體,解吸作用足夠快,與自由氣體處于平衡狀態;而遠離裂隙的基質微孔隙中氣體與裂隙中的自由氣體處于非平衡狀態。
與自由氣體處于平衡狀態的吸附氣體含量可用朗格繆爾模型計算。即
V=VLpg/(pL+pg) (1)
在基質微孔與基質較大孔自由氣相存在氣體濃度差的作用下,基質微孔中的氣體以擴散方式向氣體濃度降低的基質較大孔中運移。煤層氣通過煤基質微孔隙系統的擴散通常有非穩態擴散和擬穩態擴散兩種模式,擬穩態擴散遵從菲克第一定律,非穩態擴散遵從菲克第二定律。由于非穩態擴散的求解過程非常復雜,但計算結果當時間較長時與擬穩態模型幾乎相同,為簡便起見,筆者僅給出擬穩態模型。
根據菲克第一擴散定律,在濃度差作用下,煤基質微孔中煤層氣向外的擴散量可表示為:

質量流量可用擴散量乘煤巖體的幾何因子(Fg)得到:

2.3 基質較大孔中氣、水連續性方程
由于煤層基質含有煤層氣藏絕大部分的儲量,所以煤層氣采出的關鍵在于如何將煤層氣從基質中采出來。因此,需要確定基質較大孔裂隙雙重介質系統之間的流體交換量。
一般說來,煤巖裂隙與基質較大孔間流體交換主要是在較為平穩的壓力變化下發生的,這個過程可以假定為穩定的,故煤儲層基質較大孔與裂隙的流體交換量可作如下表示。
1) 氣相連續性方程

2) 水相連續性方程

2.4 裂隙中氣、水滲流微分方程
根據質量守恒原理和達西定律推導出煤層裂隙系統中氣、水兩相的滲流微分方程分別為:

3 吸附變形煤巖體分階段產氣差分數值模型
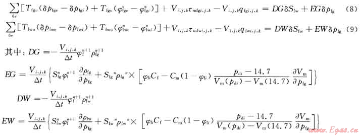
利用直角坐標下的塊中心差分網格分別對基質較大孔中氣、水連續性方程的等號右邊進行差分離散,在網格點(xi,yi,zk)上對煤層裂隙中氣、水滲流微分方程進行差分離散,獲得非線性方程組;然后采用IMPES方法對非線性差分離散方程組進行線性化,得到裂隙中氣 水兩相隱式壓力顯式飽和度差分線性方程組:

4 實例計算及分析
在上述模型建立的基礎上,采用自上而下的模塊化結構設計,編制了求解考慮吸附變形的煤層氣分階段流動數學模型的計算機程序(圖1)。并針對沁水盆地樊莊區塊晉試1井開采的實例進行了計算。

晉試1井巖心觀察及電鏡掃描結果顯示,鉆遇的煤層裂縫發育,分布不均勻,裂隙與層面斜交或平行展布。圖2是模型計算的晉試1井前80d的日產氣量與實際日產氣量的擬合曲線,計算過程中采用時間步長為1d,通過對初始參數進行調整,使模型模擬計算的日產氣量與實際日產氣量達到較好的擬合效果。由此表明,利用此模型進行考慮吸附變形的煤層氣分階段流動過程的驗證及對產量進行預測是可行的。

5 結束語
1) 煤儲層的孔隙、裂隙結構及特征與煤層氣的吸附性和流動性密切相關,煤層氣以解吸、擴散和滲流3種流動方式在基質微孔、較大孔和裂隙3種不同尺度的孔隙空間中的流動具有典型的階段性,在煤層氣流動的研究中需要考慮每一階段的流動規律。
2) 根據煤層氣在煤巖層中的分階段流動特征,建立了考慮吸附變形的煤層氣分階段流動數學模型和有限差分數值模型,并通過實例計算證實了模型的可靠性。
符號說明
V為單位固體表面上吸附的氣體的量,kg/t;VL為Langmuir體積,kg/t;pL為Langmuir壓力常數,MPa;pg為自由氣體壓力,MPa;qm為煤基質中氣體擴散量,kg/(d·t);D為擴散系數,kg/(d·t);σ為基質塊形狀因子,1/kg;Fg為煤巖體幾何因子,無量綱;Cm為煤巖基質中甲烷的平均濃度,kg/t;Cp為煤巖基質微孔-較大孔邊界上的平衡甲烷濃度,kg/t;τmfg、τmfw分別為單位煤巖體基質較大孔裂隙間氣相、水相的日交換量,kg/(d·t);Vm為單位質量煤巖體體積,m3/t;φm為煤巖體基質較大孔孔隙度,小數;ρmg、ρmw分別為煤巖體基質較大孔中氣相、水相密度,kg/m3;Smg、Smw分別為煤巖體基質較大孔中氣相、水相飽和度,小數;φf為煤層裂隙孔隙度,小數;Kf為煤層裂隙滲透率,mD;Kfrg、Kfrw分別為煤層裂隙氣相、水相的相對滲透率,小數;ρfg、ρfw分別為煤層裂隙中氣相、水相密度,kg/m3;Sfg、Sfw分別為煤巖裂隙中氣相、水相飽和度,小數;μfg、μfw分別為煤巖裂隙中氣相、水相黏度,mPa·s;qfg、qfw分別為煤巖裂隙中原有的氣、水量,kg/t;g為重力加速度,kg/m3;▽為三維空間求偏導數;i為差分離散時本結點下標;e為差分離散時鄰接點下標;
為對上下左右前后6個結點求和;u為根據上游權原則確定的傳導率值,即取本點和鄰點中勢能高的那點飽和度值來計算本點和鄰點間的傳導率值;Tfg、Tfw分別表示裂隙中氣、水在本節點間的流動的傳導率。
為對上下左右前后6個結點求和;u為根據上游權原則確定的傳導率值,即取本點和鄰點中勢能高的那點飽和度值來計算本點和鄰點間的傳導率值;Tfg、Tfw分別表示裂隙中氣、水在本節點間的流動的傳導率。參考文獻
[1] 趙陽升.煤巖體-瓦斯耦合數學模型及數值解法[J].巖石力學與工程學報,1994,13(3):229-239.
[2] 郭永存,王仲勛,胡坤.煤層氣兩相流階段的熱流固耦合滲流數學模型[J].天然氣工業,2008,28(7):73-74.
[3] 梁冰,章夢濤,王泳嘉.煤層瓦斯滲流與煤巖體變形的耦合數學模型及數值解法[J].巖石力學與工程學報,1996,15(2):135-142.
[4] CLARKSON C R,BUSTIN R M.The effect of pore structure and gas pressure upon the transport properties of coal[J].Fuel,1999,78:1345-1362.
[5] 李祥春,聶百勝,劉芳彬,等.三軸應力作用下煤體滲流規律實驗[J].天然氣工業,2010,30(6):19-21.
[6] 李強,歐成華,徐樂,等.我國煤巖儲層孔裂隙結構研究進展[J].煤,2008,17(7):1-3.
[7] 石書燦,李玉魁,倪小明.煤層氣豎直壓裂井與多分支水平井生產特征[J].西南石油大學學報:自然科學版,2009,31(1):148-52.
(本文作者:歐成華1 梁成鋼2 蔣建立3 張俊成1 1.“油氣藏地質及開發工程”國家重點實驗室·西南石油大學;2.中國石油新疆油田公司準東采油廠;3.新疆準東石油技術股份有限公司)
贊 賞 分享
您可以選擇一種方式贊助本站

支付寶轉賬贊助

微信轉賬贊助
- 注解:本資料由會員及群友提供僅供閱讀交流學習,不得用于商業用途!
