摘要:生產壓差是煤層氣井能夠正常排呆的關鍵,影響煤層的滲透率,進而影響了產氣量。目前絕大多數的井底流壓計算模型和方法都只適用于常規的油氣井,在煤層氣井應用上存在局限性。為此,在分析煤層氣井生產壓差影響因素的基礎上,提出了確定煤層氣井合理生產壓差的兩種方法——產能方程法和修正公式法,分別根據煤層氣井不同階段的產能方程和煤層氣藏井底流壓修正后的計算公式確定煤層氣井的生產壓差,并在柳林地區FL-EP3井進行了實例分析。結果表明,修正公式法用來確定煤層氣合理生產壓差效果較好,與實際生產數據相比,使用確定的簡化和修正后的煤層氣藏井底流壓計算公式所得出的生產壓差數據誤差在4%以內,為煤層氣井合理生產壓差的確定和正常排采提供了技術支撐。
關鍵詞:煤層氣;生產壓差;產能方程;修正;滲透率;產氣量;柳林地區
合理的生產壓差是制訂煤層氣井排采制度的基礎,也是保證煤層氣井能夠正常排采的關鍵。生產壓差過大,一方面可能導致井筒附近煤層發生急劇壓縮,使得壓降漏斗得不到充分擴展,煤層氣井控制半徑減小,只有井筒附近小范圍內煤層氣發生解吸,從而影響了煤層氣井的產氣量;另一方面,如果生產壓差過大,當氣體開始解吸時可能造成套壓突然增加,環空液面急劇下降,從而導致出現大量的煤粉或造成割理關閉,影響了煤層的滲透性。
對于煤層氣井產能預測,國內外普遍使用的方法是數值模擬,自1958年以來,國內外所開發的模型大體分為3種類型:氣體吸附 擴散模型、組分模型和黑油模型[1],但每個模型都有其專門的用途,只有極少數模型能得到廣泛的應用。而關于井底流壓的算法,國內外學者在理論推導和實驗模擬的基礎上,建立了多種不同的計算模型和方法[2~3],但這些計算模型和方法多適用于常規的油氣井。筆者考慮到煤層氣井生產的特殊性,利用滲流力學理論,提出了煤層氣井不同階段的產能方程,并根據產能方程確定了不同階段的生產壓差。同時,又考慮到煤層氣井與普通氣井的差別,在分析其垂直環空管流特征的基礎上,借鑒Hasan-Kabir推導的井底流壓的算法,并在此基礎上對該公式進行了簡化和修正,最后根據試井資料的幾個測試點確定了煤層氣井的生產壓差。這些確定生產壓差的方法有利于煤層氣井制訂合理的排采制度。
1 煤層氣井生產壓差的影響因素
生產壓差是儲層壓力與井底流壓之間的差值。儲層壓力一般通過試井資料確定,井底流壓主要通過套壓和動液面來控制,且它們之間具有相互調整的變化關系,二者的共同作用導致井底流捱的變化,從而影響產氣量的變化。一般減小油嘴,套壓上升,動液面下降,井底流壓增加,生產壓差減小,產氣量降低;反之,放大油嘴,套壓下降,動液面升高,生產壓差增加,產氣量升高。
2 確定生產壓差的新方法
2.1 確定生產壓差的新思路
煤層氣井與常規天然氣井的差別之一是煤層氣井具有產氣高峰,產氣上升和穩產階段,其產量歷史曲線與常規天然氣井明顯不同,不能用簡單的動態模型來描述,但在產量遞減階段,地層中的水已經接近束縛水飽和度,水的產量較低,可以將煤層氣井視為產水量少的干氣井,用常規氣井的方法來計算煤層氣井的產氣量。
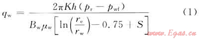
煤層氣井經過排水降壓,當井筒周圍煤儲層壓力低于臨界解吸壓力后,煤層氣開始從煤巖內部孔隙表面開始解吸,經滲濾通道流向井筒后產出。假設每一階段以不變的壓差開采,可以根據產能公式確定該階段的生產壓差。
煤層氣井的開采過程主要分為單相水流和氣水兩相流兩個階段。
在排采初期,煤層中的水在儲層壓力(pr)與井底壓力(pwf)之差作用下進入井中,此時,整個煤儲層中單相流,考慮煤層氣井的泄流體積范罔內為徑向流動,且水相滲流滿足達西定律,同時考慮表皮因子的影響,則第一個階段單相水的產量公式為:

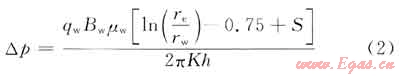
根據產量可以計算出該階段的生產壓差為:

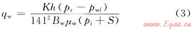
當煤儲層壓力低于臨界解吸壓力(pi)時,煤層氣開始解吸,此時會出現氣水兩相流,這個階段的產量公式[4]為:

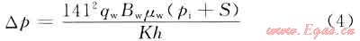
根據產量可以計算出該階段的生產壓差為:

2.2 修正公式法
2.2.1煤層氣井井底流壓的確定
煤層氣開始解吸后,在油套環空中垂直上升時,隨著產氣量和壓力的不斷變化,氣體的流動形態也呈現出不斷的變化。當環空中氣相速度大于液相速度,即氣液兩相之間存在滑脫效應時,氣體從液相中大量脫出,含氣量達到一定范圍情況下(一般大于60%),井筒內氣體分布的離散可能導致泡沫段的產生。
對于含氣量相對較高且具有一定穩產能力的煤層氣井,可以將環空內的流體劃分為純氣柱段、混氣液柱段(泡沫段和普通液氣段),如圖1所示。由于泡沫段的存在,使得擬液面的位置反映為泡沫段的上端面,環空液面往往并不能真實地反映煤層氣井的井底流壓,真實液面位置必須通過測試的擬液面與泡沫段長度進行修正。

2.2.1.1 純氣柱段壓力的計算
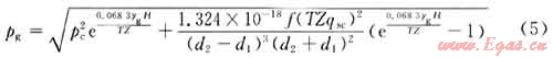
井底壓力(pwf)由套壓、井筒液面至井口段純氣柱壓力(pg)、氣水混合液柱壓力(pm)3部分組成,井口套壓(pc)可通過壓力計直接測量,純氣柱段壓力可根據天然氣井井底流壓的計算方法計算[5]。即

煤層氣井與常規氣井開采最大的不同是煤層氣產量較低,且相對常規氣井來說井口壓力較低,所以井口、套管、油管所用的級別都較低。因此,在利用式(5)計算煤層氣井氣柱段壓力時,常忽略第二項所造成的影響。又由于實測套壓較低,在實際的計算中可以采用以下近似計算式:

2.2.1.2 混氣液柱的計算
混氣液柱段如果在一定的壓力條件下含氣量大于60%,則此時必須考慮泡沫段的存在。可以根據泡沫段的壓力界限[6~7]和擬壓力(套壓和純氣柱壓力之和)求出泡沫段的長度。
混合液柱的壓力根據Hasan Kabir[8~9]推導出的相關式可以表示為:
pm=hL(1-fg)△pL+hLfg△pg (7)
氣體表觀流速為:

含氣率為:


由于煤層氣井氣體壓力梯度一般較低,fg又是小數,故混合液柱的壓力可以簡化為:
pm=hL(1-fg)△pL (10)
計算的時候采用反復迭代,直到滿足精度要求。對于產水量大、產氣量不高的煤層氣井,不考慮泡沫段的存在,在計算混氣柱壓力時可以采用以下簡化公式:
pm=9.8×10-3hL (11)
另外,由式(5)、(7)還可以看出,對于煤層氣井,井底流壓是動液面深度和套壓的函數,通常可以通過調節套壓和動液面深度來控制井底流壓,從而來確定合理的生產壓差。
2.2.2幾個測試點確定生產壓差
煤層氣井在排采過程中,由于煤層氣的產出與煤層水的產出密切相關,因此可以通過控制煤層水的產出來調節煤層氣井的生產制度,根據幾個測試點來確定合理的生產壓差。
當不考慮氣體的解吸過程,煤層水的產出可以利用兩相滲流時的指數方程[10]來表示,即
q=J(pr2-pwf2)n (12)
每一種工作制度下測4~5個測試點,且測試點均勻分布。在生產允許的條件下,使最小工作制度的穩定流壓盡可能接近地層壓力,最大工作制度的穩定流壓盡可能接近大氣壓。
將測試數據在雙對數坐標上以qw為橫坐標,pr2-pwf2為縱坐標作圖,根據截距為J和斜率1/n就可以確定產能方程。對測試數據進行回歸分析,確定J和n,結合煤層煤粉和砂的產出狀況,確定在不破壞煤層原始狀態下的最大產水量,進而確定生產壓差。
3 實例驗證分析
柳林地區FL-EP3井,井深860m,4#煤層厚度2.5m,5#煤層厚度2m,8#+9#煤層厚度4.5m,平均地層壓力6.69MPa,動液面、產量基礎數據、公式(5)和式(7)~(10)計算的井底流壓1和公式(6)、(11)計算的井底流壓2如表1所示。由表1中可以看出,采用近似公式計算的井底流壓1與實測的井底流壓的誤差在8%以內,采用修正公式計算的井底流壓2與實測的井底流壓的誤差在4%以內。因此,對于實際的井可以用修正公式來確定煤層氣井的井底流壓。
假定各階段平均地層壓力不變,FL-EP3井各計算數據如表2所示。
由圖2回歸的曲線可以得出:n=0.8333,J=2.1975。則公式(12)可變為:
qw=2.1975(pr2-pwf2)0.8333 (13)



然后根據該階段的最大產水量和井底流壓可以確定地層壓力,從而確定生產壓差。
4 結論
1) 煤層氣井生產壓差的影響因素分析表明,煤層氣井在排采過程中。生產壓差的主要影響因素為套壓和動液面。
2) 在分析煤層氣井生產壓差的影響因素的基礎上,提出了確定煤層氣井合理生產壓差的兩種方法,即產能方程法和修正公式法,分別根據煤層氣井不同階段的產能方程和煤層氣藏井底流壓修正后計算公式確定煤層氣井的生產壓差。
3) 柳林地區FL-EP3實際應用結果表明,通過對比采用Hasan-Kabir推導的解析方法計算的井底流壓和根據修正公式計算的井底流壓,得出修正公式計算的結果與實測的壓力值較接近,誤差在4%以內,可靠度更高,且根據修正公式計算的井底流壓和通過試井測得的幾個特殊測試點,可以確定生產壓差。
符號說明
qw為產水量,m3/d;qsc為標準狀況下環空氣體流量,m3/d;d2為套管內徑,m;d1為油管外徑,m;H為井口到環空擬液面的深度(純氣柱長度),m;Z為天然氣壓縮因子;γg為天然氣相對密度;f為摩阻系數;△pL為液體壓力梯度,Pa/m;△pg為氣體壓力梯度,Pa/m;hL為混合液柱的長度,m;Tst為溫度,K;J為方程系數;n為滲流指數,其值取決于氣體滲濾方式;pr為平均地層壓力,MPa;pwf為井底流壓,MPa。
參考文獻
[1] 張群.國外煤層氣儲層數值模擬技術的現狀及發展趨勢[J].煤田地質與勘探,2004,32(增刊1):61-64.
[2] RASHID HASAN A,SHAH KABIR C.A study of multiphase flow behavior in vertical well[J].SPE Production Engineering,1988,3(2):263-272.
[3] 陳家瑯.石油氣液兩相管流[M].北京:石油工業出版社,1989.
[4] 婁劍青.影響煤層氣井產量的因素分析[J].天然氣工業,2004,24(4):62-64.
[5] 張榮軍,孫衛.垂直管流中的氣液兩相流壓力計算[J].西北大學學報:自然科學版,2007,37(1):123-126.
[6] 王振松,陳偉.高氣油比抽油井環空泡沫段雖化計算初探[J].吐哈油氣,2006,11(2):20-23.
[7] 泡沫舉升排酸過程井筒壓力溫度數學模型研究[J].西南石油大學學報:自然科學版,2009,31(2):59-63.
[8] 楊濤,楊樺.利用氣井環空氣柱壓力計算井底流壓新方法的研究與應用[J].天然氣工業,2001,21(2):66-70.
[9] 唐海,李麗雄,曾凡華,等.氣井油套合采時井底流壓的計算方法[J].西南石油學院學報,2001,23(5):23-25.
[10] 楊川東.采氣工程[M].北京:石油工業出版社,2001.
(本文作者:毛慧1 韓國慶1 吳曉東1 孟尚志2 莫日和2 1.中國石油大學(北京)石油工程學院;2.中聯煤層氣有限責任公司)
贊 賞 分享
您可以選擇一種方式贊助本站

支付寶轉賬贊助

微信轉賬贊助
- 注解:本資料由會員及群友提供僅供閱讀交流學習,不得用于商業用途!
