摘 要:活動斷層是地震區天然氣長輸管道的主要威脅,斷層作用下管道會發生軸向和垂向位移,導致管道內產生較大的應變而失效,斷層作用下管道應變的準確計算對跨斷層區管道的設計與安全評估具有重要意義。現有的針對跨斷層區管道應變計算方法主要針對管道受拉情況,缺乏對受壓情況的考慮。為此,基于非線性有限元法,給出了管道受壓時(穿越角大于90度)的跨斷層區X80鋼管壓應變數值計算模型,分析了直徑、壁厚、內壓、土壤特性、穿越角5種主要參數對設計應變(最大壓應變)的影響規律,基于有限元數據,擬合得到了受壓X80鋼管設計應變回歸計算公式,與“西氣東輸二線”工程實際工況有限元結果的對比,驗證了回歸公式的準確性。該回歸公式為穿越斷層區X80鋼管基于應變的設計與安全評估提供了一定的參考。
關鍵詞:X80鋼管 天然氣管道 斷層 非線性有限元 設計應變 回歸公式 西氣東輸二線
Prediction on the design strain of the X80 steel pipelines across active faults under stress
Abstract:Active faults pose threats to the long distance oil&gas pipelines cross the seismic zones and the axial and vertical displacement of pipes will Occur under the action of faulting,resulting in the pipe’s failure by a great inside strain.In this case,the accurate calculation of the strain in the pipe is of great significance to the pipe design and security risk assessment.However,thc existing methods only focus on the pipeline in tension but not under stress.In view of this,based on the non-linear FEM,a mathematical model was established for the X80 steel pipeline crossing an active fault with a crossing angle of over 90 degrees.And the influencing rules of pipe diameter,wall thickness,inner pipe stress,soil rigidity,and crossing angle on the design strain(the maximum compressive strain)were also analyzed.In combination with the FEM data,a regression equation was proposed for calculating the design strain of the X80 steel pipeline in this case,and the accuracy and feasibility of which were verified by many numerical examples from the West-to East Pipeline lI Project.This equation provides valuable reference for the pipe design and security risk assessment for the X80 steel pipe across active faults.
Keywords:X80 steel pipeline,fault,non linear finite element method,design strain,regression equation,West-to-East Pipeline Ⅱ Project
活動斷層是地震區天然氣長輸管道的主要威脅,斷層作用下管道會發生軸向和垂向位移,導致管道內產生較大的應變而失效。所以斷層作用下管道應變的準確計算對斷層區管道的設計與安全評估具有重要意義。國內外大量學者針對斷層區管道的應力應變分析進行了大量研究[1-12],提出了多種理論和數值計算方法,其中在工程中應用最廣泛的為Newmark-Hall和Kennedy方法[3-4],但是其只能求解管道穿越角小于90°時的管道受拉情況,無法求解管道穿越角大于90°時管道的受壓情況。
Karamitros等[5]提出并驗證了管道在斷層作用下產生空間錯動時,可簡化為一個走滑斷層作用和一個管道垂直穿越的正或逆沖斷層作用。走滑斷層產生與空間斷層一致的管道軸向與側向位移,管道垂:苴穿越的正或者逆斷層產生與空間斷層一致的管道軸向與垂向位移。在該假設下,管道以小于90°穿越逆沖斷層時,斷層在管道軸向產生了壓縮位移,簡化后走滑斷層的穿越角度變為大于90°,現有的解析方法無法求解。而工程實例卻表明,管道以這種形式穿越的斷層大量存在,如“四氣東輸二線”穿越西山斷裂、王家溝斷裂[13]等。
對此,筆者建立了穿越角度大于90°時跨斷層區X80鋼管應變計算有限元模型,研究了管道直徑、壁厚、內壓、斷層錯動量、穿越角和土壤特性5種主要影響參數對管道設計應變(最大壓應變)的影響。基于計算得到的超過2000種工況下管道的設計應變值,擬合得到了穿越角度大于90°時的跨斷層區X80鋼管設計應變回歸公式。并與“西氣東輸二線”實際工況參數的有限元結果對比驗證。所給出的方法可以為斷層區X80鋼管基于應變的設計與安全評價提供一定的參考。
1 數值模型
1.1 有限元模型
圖1為管道以大于90°穿越角度穿越斷層時的示意圖。斷層造成地表錯動,產生沿管道軸向和側向的位移。以管道軸向為x方向,側向為y方向,建立笛卡爾坐標系??梢詫鄬渝e動量ds分解為一個管道軸向分量DX和側向分量Dy。

目前有限元模型中管道主要使用梁單元(BEAM)、管單元(PIPE)、彎管單元(ELBOW)或殼單元(SHELL)來模擬[6-9,11-18]。筆者采用ABAQUS非線性有限元軟件建立管道跨斷層有限元模型,模型使用管單元和彎管單元模擬管道。為消除邊界的影響,管道總長取為2000m,斷層兩側各1000m,模型兩端900m管道采用PIPE31單元,單元長度為1m,模型中間200m管道采用ELBOW31單元,單元長度為0.1m。
1.2 管土相互作用
根據ASCE Guidelines.for the Design of Buried Steel Pipe[21,斷層作用下,土壤對管道的作用可以用彈塑性土彈簧來表示,包括管道軸向、側向和垂向的土彈簧(圖2)。筆者采用管土相互作用(PSI)單元模擬管土相互作用,PSl單元如圖2-b所示,由4個節點組成,單元上端2個節點(3和4)與地表面相連,反映地面運動與位移,下端2個節點(1和2)與管道單元相連,管土相互作用關系以非線性單元剛度表示,單元剛度與土彈簧剛度一致。通過將斷層位移施加在斷層右側PSI單元的土壤節點上可以來模擬斷層的作用。等效土彈簧的力學性能可以用極限抗力與屈服位移2個量來描述。Pu、Tu、Qu和Qd代表了3個方向的極限抗力,Dp、Dt、Dqd和Dqu代表了3個方向的屈服位移(圖3)。


1.3 管材模型
采用Ramberg-Osgood模型來描述管材的彈塑性特征,表達式如下:

式中E為管材的初始彈性模量;e為應變;s為應力;ss為管材的屈服應力;a和N為R-O模型參數。對X80鋼管材拉伸實驗結果的真實應力應變曲線下限值進行擬合[10],得到參數取值如下:E=206000MPa;ss=2552MPa;a=0.86;N=28。管道真實應力應變關系如圖4所示。

1.4 計算參數取值范圍
根據“西氣東輸二線”工程管道的實際運行參數與沿途斷層參數,對模型計算參數進行取值,得到的模型計算參數范圍如表1所示。這里需要說明的是,直接研究斷層對管道在空間中造成的錯動雖然更加符合實際,但該情況下影響參數眾多,很難得到設計應變與各影響參數間的準確關系與回歸公式。所以筆者只討論管道錯動分解后位于水平面內的情況。當分析管道在水平面內錯動時,垂直向上與向下的土彈簧對管道的應變不再產生任何影響,所以可以不用考慮。而管道的軸向土彈簧與側向土彈簧的取值范圍由“西氣東輸二線”中出現的管道埋深、回填土和場地土性質參考ASCE Guidelines for the Design 0/Buried Steel Pipe方法進行計算確定??梢缘玫礁鲄等≈捣秶绫?/span>1所示。

2 參數分析
采用上述非線性有限元模型,對表1所列參數下工況進行計算,在對表1中數據進行計算時,采用因素輪換法分析各個參數對設計應變的影響,考慮參數之間的相互影響。為了準確得到設計應變與各參數之間變化關系,對超過2000組工況進行了計算。
2.1 斷層位移與穿越角的影響
圖5為不同穿越角度下設計應變與斷層位移的關系圖,圖5表明,管道的設計應變在所有大于90°的穿越角度下都隨著斷層位移的增大而增大。隨著斷層位移的加大,設計應變增大速度變快。當穿越角度小于135°時,角度越大設計應變越大,設計應變隨斷層位移的變化速度越快;當穿越角度大于135°時,角度越大設計應變越小,設計應變隨斷層位移的變化速度越慢??梢缘玫剑谒写┰浇嵌认?,設計應變與斷層位移均表現為近似冪函數關系。

為了更深入分析設計應變與穿越角度的關系,圖6給出了不同斷層位移下設計應變隨穿越角度的變化關系。從圖6可以看出,當斷層位移量小于0.8m時,設計應變較小,變化也較?。划敂鄬游灰屏看笥?/span>0.8m時,設計應變隨著穿越角度的增大先增大后減小,在所有斷層位移下,設計應變與穿越角度之間存在著相似的函數關系,可以用二次多項式來描述。

2.2 管徑與壁厚的影響
圖7、8給出了不同斷層錯動位移下管徑和壁厚對設計應變的影響。從圖7-a和圖8-a可以看出,管徑和壁厚越大,設計應變越小,但在不同的管徑和壁厚下設計應變和斷層錯動量都保持著相似的函數關系。圖7-b和圖8-b給出了不同斷層位移下設計應變與管徑和壁厚的變化規律,可以看出,設計應變隨管徑和壁厚的變化規律比較一致,也可以用冪函數來描述。


2.3 內壓的影響
考慮0MPa、4MPa、8MPa、12MPa這4種不同內壓工況下設計應變的變化規律。由有限元結果可以得到,設計應變在不同內壓下隨斷層位移的變化規律比較類似(圖9)。為了進一步分析內壓對設計應變的影響,分析了不同斷層位移下設計應變隨內壓的變化情況。從圖9-b可以看出,當斷層位移量大于1m時,設計應變在4MPa時應變最小;當斷層位移量小于1m時,設計應變較小,不同內壓下設計應變的差距變得不大明顯。

2.4 土壤的影響
通過研究不同土彈簧的取值影響來考慮土壤特性對管道設計應變的影響,圖10給出了不同軸向和側向土彈簧下設計應變的變化規律。由圖10-a可以得到,軸向土彈簧越大,設計應變越大。在不同軸向土彈簧下管道設計應變隨斷層位移量的變化形式保持一致,依舊保持著類似冪函數的關系。這里分析不同側向土彈簧下應變隨軸向土彈簧的變化規律來分析軸向和側向土彈簧的相互影響,從圖10-b可以發現,在不同側向土彈簧下設計應變隨軸向土彈簧保持單調的規律,軸向土彈簧越大設計應變越大,同時側向土彈簧越大設計應變也越大。

使用同樣的方法分析側向土彈簧對設計應變的影響(圖11)。對比圖11和圖10,可以得到設計應變隨側向土彈簧的變化形式與軸向土彈簧類似。從圖11-a可以發現,側向土彈簧越大,設計應變越大,設計應變在不同側向土彈簧下與斷層位移量均保持類似冪函數關系;從圖11-b可以發現,設計應變隨側向土彈簧也保持著類似冪函數的關系。

3 設計應變計算公式回歸
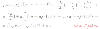
基于有限元分析結果,給出了穿越角度大于90°時跨斷層區X80鋼管設計應變的回歸公式。根據參數分析得到的各參數對設計應變的影響規律可以得到設計應變的回歸公式形式如下:

式中D為管道直徑,m;t為管道壁厚,m;ds為斷層位移,m;b為管道穿越角,(°);p為管道內壓,MPa;Tu為軸向土彈簧大小,kN/m;Pu為側向土彈簧大小,kN/m;k和m為無量綱化參數。k=1 m-1,m=0.01m/kN;a1~a13是待定系數。
基于超過2000組設計應變數據,采用MATLAB非線性擬合工具箱求解得到待定系數值如下:
a1=1.166×10-3
a2=-0.5021
a3=-1.803
a4=6.312
a5=-5.092
a6=-2.283
a7=-1.745×10-2
a8=5.003×10-4
a9=-1.637
a10=9.238×10-2
a11=1.413
a12=0.5467
a13=1.843×10-3
為了驗證公式的準確性,本使用“西氣東輸二線”工程中30種工況參數的應變計算結果進行對比分析(圖12),從圖12中可以發現本文給出的回歸公式精度較高,可以對穿越角度大于90°時跨斷層區XS0鋼管的設計應變進行預測。

4 結論
基于非線性有限元分析,給出了穿越角度大于90°時跨斷層區X80鋼管設計應變計算方法,討論了管徑、壁厚、斷層位移量、穿越角度、土壤特性5種主要參數對設計應變的影響?;跀抵涤嬎憬Y果,回歸得到了穿越角度大于90°時跨斷層區X80鋼管設計應變的計算公式。通過與“西氣東輸二線”工程中實際案例對比驗證了回歸公式的準確性。給出的斷層區X80鋼管設計應變計算公式可以為管道的設計與安全評估提供一定的參考。
參考文獻
[1]馬正茂,馮啟民,徐志誠,等.SY/T 0450—2004輸油(氣)埋地鋼制管道抗震設計規范[S].北京:石油工業出版社,2004.
MA Zhengmao,FENG Qimin,XU Zhicheng,et al.SY/T 0450-2004 Code for seismic design of oil and gas steel pipeline[S].Beijing:Petroleum Industry Press,2004.
[2]American Lifelines Alliance ASCE.Guidelines for the design of buried steel pipe(with addenda through February 2005)[S].New York:American Society of Civil Engineers,2005.
[3]NEWMARK N M,HALL W J.Pipeline design to resist large fault displacement[C]//proceedings of the U.S.National Conference on Earthquake Engineering,16-25 April 1975,Ann Arbor,Michigan,USA.Michigan:University of Michigan,1975.
[4]KENNEDY R P,DARROW A W,WILL.IAMSON R A.Fault movement effects on buried oil pipeline[J].Transport E1lgineering Journal,1977,103(5):617-633.
[5]KARAMITROS D,BOUCKOVALAS G,KOURETZIS G,et al.An analytical method for strength verification of buried steel pipelines at normal fault crossings[J].Soil Dynamics and Earthquake Engineering,20ll,31(11):1452-1464.
[6]KARAMITROS D,BOUCKOVAL AS G,KOURETZIS G.Stress analysis of buried steel pipelines at strike-slip fault crossings[J].Soil Dynamics and Earthquake Engineering,2007,27(3):200-211.
[7]TRIFONOV O V,CHERNIY V P A.Semi analytical approach to a nonlinear stress-strain analysis of buried steel pipelines crossing active faults[J].Soil Dynamics and Earthquake Engineering,2010,30(11):1298-1308.
[8]劉學杰,孫紹平.地下管道穿越斷層的應變設計方法[J].特種結構,2005,22(2):81-85.
LIU Xuejie,SUN Shaoping.Strain based design of buried pipelines crossing faults[J].Special Structures,2005,22(2):81-85.
[9]顧曉婷,張宏,王國麗,等.大口徑天然氣管道穿越斷層的管溝設計研究[J].天然氣工業,2009,29(8):106-108.
GU Xiaoting,ZHANG Hong,WANG Guoli,et al.Trench design for buried cross-fault large-diameter gas pipelines[J].Natural Gas Industry,2009,29(8):106-108.
[10]劉冰.基于應變的管道設計準則與方法研究[D].北京:中國石油大學(北京),2008.
LIU Bing.Strain-based design criteria and method of pipeline[D].Beijing:China University of Petroleum(Beijing),2008.
[11]JOSHI S,PRASHANT A,DEB A,et al.Analysis of buried pipelines subjected to reverse fault motion[J].Soil Dynamics and Earthquake Engineering,2011,31(7):930-940.
[12]閆相禎,張立松,楊秀娟.管道穿越地震斷層管土耦合大變形殼模型的應變響應規律研究[J].土木工程學報,2010,43(8):132-139.
YAN Xiangzhen,ZHANG Lisong,YANG Xiujuan.Strain response study of oil gas pipeline crossing earthquake fault based on pipeline-soil coupling and large deformation shell model[J].China Civil Engineering Journal,2010,43(8):132-139.
[13]余志峰,王國麗,史航,等.Q/SY GJX 0136—2008西氣東輸二線管道工程強震區和活動斷層區段埋地管道基于應變設計導則[S].北京:石油工業出版社,2008.
YU Zhifeng,WANG Guoli,SHI Hang,et al.Q/SY GJX 0136-2008 Guideline for strain-based design in seismic area and active fault crossing of the second west east natural gas transportation pipeline project[S].Beijing:Petroleum Industry Press,2008.
[14]朱秀星,仝興華,薛世峰.跨越斷層的埋地管道抗震設計[J].油氣儲運,2009,28(10):30-33.
ZHU Xiuxing,TONG Xinghua,XUE Shifeng.Aseismic design for buried pipeline crossing fault[J].Oil and Gas Storage and Transp Ortation,2009,28(10):30-33.
[15]姚安林,徐濤龍,鄭健,等.河流穿越高壓輸氣管道臨界懸空長度的數值模擬研究[J].工程力學,2013,30(3):152-158.
YAO Anlin,XU Taolong,ZHENG Jian,et al.Study on numerical simulation of critical suspended length of high-pressure gas pipelines crossing riverbed[J].Engineering Mechanics,201 3,30(3):152-158.
[16]張鵬,魏耩,崔立偉,等.地表沖溝條件下懸空管道的力學模型與延壽分析[J].天然氣工業,2014,34(4):142-148.
ZHANG Peng,WEI Wei,CUI Liwei,et al.A mechanical model and life extension analysis of suspended pipelines under the condition of geological gulch[J].Natural Gas Industry,2014,34(4):142-148.
[17]吳曉南,盧泓方,黃坤,等.基于頻譜分析的地震帶輸氣管道應力分析方法[J].天然氣工業,2014,34(5):152-157.
WU Xiaonan,LU Hongfang,HUANG Kun,et al.Stress analysis of gas pipelines at seismic belts based on the spectrum analysis[J].Natural Gas Industry,2014,34(5):152-157.
[18]劉愛文,胡聿賢,趙鳳新,等.地震斷層作用下埋地管道殼有限元分析的等效邊界方法[J].地震學報,2004,26(增刊1):141-147.
LIU Aiwen,HU Yuxian,ZHAO Fengxin,et al.An equivalent boundary method for the shell analysis of buried pipelines under fault movement[J].Acta Seismologica Sinica,2004,26(S1):141-147.
本文作者:劉嘯奔 陳嚴飛 張宏 夏夢瑩 鄭偉 張振永 梁樂才 陳金孝
作者單位:中國石油大學(北京)機械與儲運工程學院
中國石油天然氣管道工程有限公司
您可以選擇一種方式贊助本站

支付寶轉賬贊助

微信轉賬贊助
