——以鶯歌海盆地為例
摘 要:目前國內外推導的異常高壓氣藏考慮應力敏感效應的產能方程中混淆了有效應力與生產壓差的概念。為此,在前人研究的基礎上,通過對實驗和產能測試資料的分析,探討了應力敏感對儲層物性和氣井產量的影響問題,并基于修正的應力敏感方程,結合氣藏滲流特征,重新建立了符合油氣藏地質特征的新的二項式氣井產能方程,從理論上闡述了鶯歌海盆地異常高壓氣藏產能特征,并用實際測試資料檢驗了該方程的實效性。結果表明,鶯貔海盆地異常高壓氣藏開發中不應忽視應力敏感效應,在同一儲層特征條件下,應力敏感效應特征越顯著,開發過程中表現出的應力敏感效應越嚴重,氣井產能損失就越大。因此,在異常高壓氣藏生產管理中,應采取合理的開發技術手段和工作制度,防止井筒附近地層壓力迅速下降導致儲層滲透能力及氣井產能的下降。所取得的成果、認識可推廣應用于其他類似探區。
關鍵詞:異常高壓氣藏 應力敏感 產能方程 上覆壓力 二項式 推導 鶯歌海盆地
Stress sensitivity features and productivity equations of offshore abnormal high-pressure gas reservoirs:A case study from the Yinggehai Basin
Abstract:At present scholars often mix up the concepts of effective stress and drawdown pressure,especiallv when the stress-sensitive productivity equations for those overpressure gas reservoirs are applied.Based on the previous studies and data analysis on the stress-sensitive experiments and production tests,the effects of stress sensitivity on reservoir physical properties and gas well production are discussed.Furthermore,a new binomial equation of gas well productivity suitable for the geological features of a hydrocarbon reservoir is reformulated on the basis of the amended stress sensitivity equation and the percolation characteristics of a gas reservoir.The new binomial equation theoretically indicates the productivity features of abnormal high Pressure gas reservoirs in the Yinggehai Basin,and its effectiveness is validated through actual test data.The results show that the stress sensitivitv effect shouid never be ignored in the development of abnormal high pressure gas reservoirs in the Yinggehai Basin;the more obvious the stress sensitivity on the same gas reservoir,the greater the stress sensitivity effect during the development and the greater loss in gas well productivity.Therefore,a reasonable working system and development technology means should be implenlented to nlanage the production of abnormal high pressure gas reservoirs and to avoid rapid dropping of formation pressure around the welibore which contributes to the reduction of reservoir permeability and gas well productivity.This study is practical and helpful in other similar reservoir development projects.
Keywords:abnormal high pressure gas reservoir,stress sensitivity,productivity equation,overburden pressure,binomial equation,derivation,Yinggehai Basin
南海西部海域鶯歌海盆地中深層為異常高壓(地層壓力系數大于1.8)天然氣氣藏,該類氣藏在衰竭式開采過程中往往表現出強應力敏感效應[1-5]特征,國內外[1-8]對該類氣藏的應力敏感和產能的研究已有很多,但產能方程的建立中,混淆了有效應力與生產壓差的概念。筆者在前人研究的基礎上,通過對實驗和產能測試資料分析,探討了應力敏感對儲層物性和氣井產量的影響,并基于修正的壓敏方程[9-11],結合氣藏滲流特征[12-13],推導了考慮應力敏感效應的新的二項式氣井產能方程,并對其產能特征進行了分析。
1 應力敏感特征
1.1 應力敏感實驗研究
油氣藏儲層應力敏感性是指儲層物性隨有效應力的變化而發生變化的現象,有效應力通常定義為上覆地層壓力與地層孔隙壓力之差。因此在實驗中常采用壓敏實驗(定圍壓變內壓)和覆壓實驗(定內壓變圍壓)來模擬實際油氣藏儲層應力敏感性。郭平等[14-18]通過對兩種實驗對比分析,得出兩種實驗所獲得的巖心滲透率的變化規律是一致的。筆者依此選用鶯歌海某氣田Dl井黃流組的巖心開展覆壓實驗研究。
實驗結果如圖l所示,可見中新統黃流組儲層巖心對應力具有強敏感性,當有效應力小于10MPa時,隨著有效應力的增加儲層滲透率出現快速下降,即儲層應力敏感性強,滲透率傷害指數大;但隨著有效應力的進一步增加,儲層滲透率下降幅度出現降低,尤其當有效應力增大到15MPa后,儲層滲透率隨有效應力增加下降幅度將進一步減小,儲層應力敏感性較弱。

實驗研究表明,儲層滲透率與有效應力具有冪指數關系,為了統一應力敏感效應評價標準。朱紹鵬[9]引入相對有效應力概念(sf/sf min),將實驗條件下的應力敏感相關式修正為:

其中 sf=sp圍-p內
式中K0為實驗條件下最小有效應力時的滲透率,mD;sf為實驗條件下有效應力,MPa;sfmin為實驗條件下最小的有效應力,MPa;p圍為實驗條件下圍壓,MPa;p內為實驗條件下內壓,即流體壓力,MPa;m為應力敏感指數,簡稱壓敏指數,無量綱。
由圖1獲得鶯歌海盆地黃流組儲層滲透率與相對有效應力實驗關系為:

1.2 應力敏感影響產能實例
鶯歌海盆地某氣田黃流組主要為臨濱砂壩、臨濱灘砂沉積。砂體的規模較大,在氣田范圍內連片分布,縱向上相互疊置,砂體整體上垂直物源方向呈西北向東南方向展布。整體看目的層儲層表現為中孔低滲的特征。測試資料表明,該地區在開發生產進程中隨著地層壓力的下降,地層滲透性將下降,無阻流量將降低。因此該地區不能忽視儲層應力敏感對開發生產的影響。
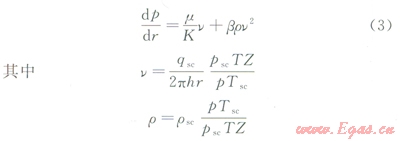
2 新的二項式產能方程的推導
在平面徑向流情況下,氣體高速非達西滲流的速度方程[11-13]為:

根據相關經驗公式[8]得:
b=1.437×1010/K1.0527 (4)
刻畫實際油氣田開發過程中滲透率隨地層壓力變化的應力敏感方程[9-10](簡稱壓敏方程)為:

把式(5)代入式(4)得:

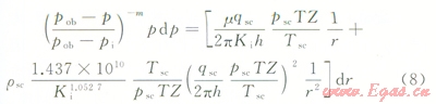
以上各式代入式(3)后得:

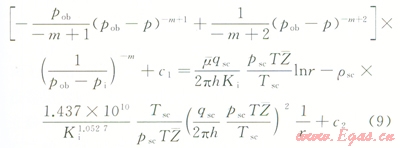
對式(6)積分得:

已知井底壓力和邊界壓力為:
p(rw)=pwf (10)
p(re)=pe (11)
把式(10)、(11)代入式(9)后整理得:
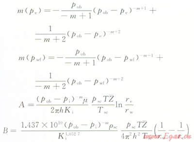
m(pe)-m(pwf)=Aqsc+Bq2sc (12)
其中

式中qsc為標準狀況下氣井產量,104m3/d;h為氣層射開有效厚度,m;`m為平均地層壓力及溫度下氣體的黏度,mPa·s;`Z為平均地層壓力及溫度下氣體的偏差系數;rsc為標準狀況下氣體密度,g/cm3;T為地層溫度,℃;Tsc為標準狀況下溫度,℃;psc為標準狀況下壓力,MPa;pob為儲層上覆壓力,MPa;pi為儲層原始地層壓力,MPa;pe為儲層目前地層壓力,MPa;p為泄油半徑處地層壓力,MPa;pwf為井底流壓,MPa;r為徑向半徑,m;re為泄油半徑,m;rw為井筒半徑,m。
當m=0時,式(12)與常規二項式產能方程[11-13]相一致。
3 異常高壓氣藏產能特征分析
據鶯歌海盆地黃流組儲層特征,結合新推導考慮應力敏感的二項式產能方程,對海上異常高壓氣減產能特征進行分析,探討了單個參數對氣井產能的影響。
3.1 應力敏感指數對氣井無阻流量的影晌
應力敏感指數對氣井無阻流量的影響如圖2所示,可見氣井無阻流量隨應力敏感指數的增大損失將越大。即說明實際應力敏感氣藏開發生產過程中,越具有強應力敏感效應的氣藏,應力敏感效應越嚴重,氣井產能相對損失就越大。

3.2 地層壓力系數對產能的影響
在油氣藏開發過中,儲層有效應力可表述為上覆地層壓力與孔隙壓力之差,在一定的上覆地層壓力情況下,儲層有效應力只與地層壓力有關,儲層有效應力將會隨著地層壓力系數變化而變化。如圖3所示,在同樣的生產條件下,地層壓力系數越大的氣藏(即越具有高異常壓力顯著特征的氣藏),開發過程中應力敏感效應將越嚴重,單井產能損失越大。

3.3 上覆地層壓力對產能的影響
隨著上覆地層壓力的不斷增加,孔隙中流體排出,孔隙體積不斷減小。在同一沉積環境下,壓實強弱,即上覆地層壓力的改變,將影響儲層物性變化,從而影響產能。
根據上覆壓力的經驗公式:pob=0.01[h水深+2.3(h中深-h水深)],計算出不同儲層埋深下的上覆壓力,再結合式(12)探討上覆壓力對產能的影響(圖4)。從圖4中可以看出:隨著沉積物埋藏深度增加,上覆壓力增大,應力敏感效應越嚴重,氣井產能損失越大。

4 實例分析
鶯歌海盆地某井對黃流組進行產能測試,氣藏中部海拔-2179.3m,海域水深119m,地層壓力系數為2.18,試井解釋滲透率為0.54mD,油層有效厚度為7.5m,地層氣黏度為0.06mPa·s,氣藏溫度136℃,偏差系數1.206。根據覆壓實驗測試結果分析有效儲層壓敏指數平均為0.15。
根據氣藏實際資料,計算得上覆地層壓力為61.0MPa,油藏壓力為58.2MPa,結合筆者推導的公式對產能進行分析,其結果如圖5所示。從圖5中可看出,該氣藏應力敏感效應嚴重,應力敏感效應引起的氣井無阻流量損失在23%左右。從產能測試數據分析,考慮應力敏感效應的產能方程更符合實際產能測試。因此對鶯歌海盆地異常高壓氣藏在產能評價時應考慮應力敏感效應,綜合分析確定該氣藏單井合理工作制度,盡量減少應力敏感效應對單井產量造成的損失。

5 結論及認識
1)筆者從室內實驗及生產動態兩方面,論證了海上異常高壓氣藏隨著有效應力的變化將影響儲層滲透能力及單井產能。并在前人研究的基礎上,基于修正應力敏感公式,重新推導了反映應力敏感效應的二項式產能方程,經實際測試資料檢驗具有實效性,為類似氣藏的產能求取提供了參考。
2)鶯歌海盆地異常高壓氣藏具有應力敏感效應,應力敏感指數越大,應力敏感效應越嚴重,單井產能損失相對越大;開發過程中越具有高異常壓力顯著特征的氣藏,應力敏感效應越嚴重,單井產能損失相對越大。
3)儲層壓實作用對氣井產能具有一定的影響,隨著沉積物壓實作用增強,應力敏感效應越嚴重,氣井產能損失越大。
4)海上異常高壓氣藏生產管理中要重視應力敏感效應,要采取合理的開發技術手段和工作制度,防止井筒附近地層壓力迅速下降導致儲層滲透能力及氣井產能的下降。
參考文獻
[1]郭晶晶,張烈輝,涂中.異常高壓氣藏應力敏感性及其對產能的影響[J].特種油氣藏,2010,17(2):79-81.
GUO Jingjing,ZHANG Liehui,TU Zhong.Stress sensitivity and its influence on productivity in gas reservoirs with abnormally high pressure[J].Special Oil&Gas Reservoirs,2010,17(2):79-81.
[2]向祖平,謝峰,張箭,等.異常高壓低滲透氣藏儲層應力敏感對氣井產能的影響[J].天然氣工業,2009,29(6):83-85.
XIANG Zuping,XIE Feng,ZHANG Jian,et al.The influence of stress sensitivity of abnormal high pressure and low permeability gas reservoir on the deliverability of a gas well[J].Natural Gas Industry,2009,29(6):83-85.
[3]郭春華,周文,馮文光,等.四川河壩異常高壓氣藏的產能方程及其計算[J].天然氣工業,2009,29(6):86-88.
GUO Chunhua,ZHOU Wen,FENG Wenguang,et al.Building up and calculation of a deliverability equation for Heba gas reservoir with abnormal high pressure in Sichuan Basin[J].Natural Gas Industry,2009,29(6):86-88.
[4]董平川,江同文,唐明龍.異常高壓氣藏應力敏感性研究[J].巖石力學與工程學報,2008,27(10):2087-2093.
DONG Pingchuan,JIANG Tongwen,TANG Minglong.Research on stress-sensitivity in abnormal high pressure gas reservoir[J].Chinese Journal of Rock Mechanics and Engineering,2008,27(10):2087-2093.
[5]楊勝來,肖香嬌,王小強,等.異常高壓氣藏巖石應力敏感性及其對產能的影響[J].天然氣工業,2005,25(5):94-95.
YANG Shenglai,XIAO Xiangjiao,WANG Xiaoqiang,et al.Stress sensitivity of rock and its influence on productivity for gas reservoirs with abnormal high pressure[J].Natural Gas Industry,2005,25(5):94-95.
[6]熊健,馬強,肖峰,等.低滲氣藏酸壓井產能評價研究[J].科學技術與工程,2013,13(6):1418-1422.
XIONG Jian,MA Qiang,XIAO Feng,et al.Well production evaluation of acid fracturing well in the low-permeability gas reservoirs[J].Science Technology and Engineering,2013,13(6):1418-1422.
[7]任俊杰,郭平,王紹平,等.考慮變滲透率模量的異常高壓氣藏產能計算新方法[J].天然氣工業,2013,33(7):52-56.
REN Junjie,GUO Ping,WANG Shaoping,et al.A new method for calculating the productivity of abnormally high pressure gas reservoirs considering variable permeability modulus[J].Natural Gas Industry,2013,33(7):52-56.
[8]戴強,焦成,段永剛,等.應力敏感性對低滲透氣藏滲流的影響[J].特種油氣藏,2008,15(3):65-68.
DAI Qiang,JIAO Cheng,DUAN Yonggang,et al.Effect of stress sensitivity on percolation in low permeability gas reservoir[J].Special Oil&Gas Reservoirs,2008,15(3):65-68.
[9]朱紹鵬,勞業春,楊志興,等.一種新的壓敏油藏產能方程[J].中國海上油氣,2012,24(1):29-32.
ZHU Shaopeng,LAO Yechun,YANG Zhixing,et al.A new deliverability equation for pressure-sensitive oil reservoirs[J].China Offshore Oil and Gas,2012,24(1):29-32.
[10]朱紹鵬,李茂,勞業春,等.一種新的低滲壓敏油藏產能方程推導及特征分析[J].中國海上油氣,2012,24(5):29-33.
ZHU Shaopeng,LI Mao,LAO Yechun,et al.A new deliverability equation for oil reservoirs with low permeability and pressure-sensitivity and its characteristics[J].China Offshore Oil and Gas,2012,24(5):29-33.
[11]馮文光.油氣滲流力學基礎[M].北京:科學出版社,2007:74-80.
FENG Wenguang.Oil and gas reservoir seepage mechanics[M].Beijing:Science Press,2007:74-80.
[12]葛家理,寧正福,劉月田,等.現代油藏滲流力學原理[M].北京:石油工業出版社,2001:65-70.
GE Jiali,NING Zhengfu,LIU Yuetian,et al.Modern reservoir seepage mechanics[M].Beijing:Petroleum Industry Press,2001:65-70.
[13]黃炳光,冉新權,李曉平.氣藏工程分析方法[M].北京:石油工業出版社,2004:87-90.
HUANG Bingguang,RAN Xinquan,LI Xiaoping.Analysis method of gas reservoir engineering[M].Beijing:Petroleum Industry Press,2004:87-90.
[14]郭平,張俊,杜建芬,等.采用兩種實驗方法進行氣藏巖芯應力敏感研究[J].西南石油大學學報,2007,29(2):7-9.
GUO Ping,ZHANG Jun,DU Jianfen,et al.Study on core stress sensitivity for gas reservoir with two experiment method[J].Journal of Southwest Petroleum Univer sity,2007,29(2):7-9.
[15]李樂忠,李相方.儲層應力敏感實驗評價方法的誤差分析[J].天然氣工業,2013,33(2):48-51.
LI Lezhong,LI Xiangfang.Error analysis of experimental evaluation methods for stress sensitivity of reservoirs[J].Natural Gas Industry,2013,33(2):48-51.
[16]王峰,李崇喜.低滲透氣藏應力敏感性及其變形機制研究[J].西南石油大學學報:自然科學版,2012,34(2):13l-136.
WANG Feng,LI Chongxi.Study on stress sensitivity and transformation mechanism of low permeability reservoir[J].Journal of Southwest Petroleum University:Science&Technology Edition,2012,34(2):131-136.
[17]戴勇,吳大奎,李躍綱,等.川西地區九龍山構造碎屑巖儲層氣水預測實踐[J].天然氣工業,2012,32(9):37-39;
DAI Yong,WU Dakui,LI Yuegang,et al.Prediction of gas and water distribution in elastic reservoirs of the Jiulongshan structure in West Sichuan Basin[J].Natural Gas Industry,2012,32(9):37-39.
[18]鄧勇,彭光明.應力敏感儲層相對滲透率計算方法研究[J].西南石油大學學報:自然科學版,2011,33(2):95-98.
DENG Yong,PENG Guangming.A calculation method for relative permeability curve of stress sensitive[J].Journal of Southwest Petroleum University:Science&Technology Edition,2011,33(2):95-98.
本文作者:溫偉明 朱紹鵬 李茂
作者單位:中海石油(中國)有限公司湛江分公司
您可以選擇一種方式贊助本站

支付寶轉賬贊助

微信轉賬贊助
