——以普光、大北氣田為例
摘 要:普光、大北等氣田具有儲層厚度大、層間非均質性強、產量高及生產壓差小的特點,各個層段的產能貢獻差異很大。對井筒壓力計算的準確性對產能評價影響很大,對于巨厚氣藏而言,壓力不能簡單地選取地層中部深度的流壓值,同時變質量流對井筒壓力分布的影響也不能被忽略,否則會導致產能解釋異常。綜合考慮儲層的這些因素對井筒壓力分布的影響,利用儲層物性與產能的相關性,選取產能中值對應的壓力代替中部深度對應的流壓值來計算產能,建立了考慮變質量流的井筒壓力計算模型,最后形成了巨厚氣藏產能評價方法。將該方法應用于普光氣田,所求得的產能接近于氣井實際產能,其產能預測誤差在5%以內,也有效地避免了解釋過程中出現負斜率的現象;同時,還能解決壓力計無法下入產層或不能正常測試的問題。該方法作為壓力測試的替代手段,在僅進行井口參數測量的情況下能夠幫助完成常規的生產動態分析,可節省測試所需的大量人力和物力。
關鍵詞:儲集層 巨厚 高產 強非均質 變質量流 井底流動壓力 數學模型 產能評價 普光氣田 大北氣田
A productivity evaluation method of gas reservoirs with great thickness,high deliverability and strong heterogeneity:Case studies of the Puguang in the Sichuan Basin and the Dabei in the Tarim Basin
Abstract:The Puguang Gas Field in the Sichuan Basin and the Dabei Gas Field in the Tarim Basin are both featured by great thickness,vertical heterogeneity,high deliverability and small differential production pressure,resulting in wide differences in the productivity at various payzones.The accuracy of wellbore pressure exerts a great effect on the productivity evaluation,especially for a gas reservoir with great thickness.It is insufficient to simply select the flowing pressure at the middle depth of the reservoir,and the effect of variable mass flowing on wellbore pressure distribution should never be ignored;otherwise,the deliverability interpretation will be abnormal.In this paper,the effects of these reservoir factors on wellbore pressure distribution were comprehensively consid ered.with the correlation between reservoir physical properties and deliverability,the pressure corresponded by mid value of deliver ability replaces the flowing pressure value at the middle depth on calculating the deliverability.Then a calculation model of wellbore pressure with consideration of variable mass flowing is established.Furthermore,the productivity evaluation method of greatly-thick gas reservoirs was worked out and applied in the Puguang Gas Field,and the obtained productivity approximated to the actual one,and the prediction error was lower than 5%,which effecl ively avoided the negative slope in the interpretation process.Additionally,this evaluation method solved the problem that the pressure meter was difficult to be lowered into the targeted pay zone or was abnormally operated.As an alternative means of pressure tests,this method can facilitate the conventional production dynamic analysis when only wellhead parameters are measured,which saves a great deal of manpower and material resources.
Keywords:reservoir,great thickness,high productivity,strong heterogeneity,variable mass flow,downhole flowing pressure,mathematic model,deliverability evaluation,Puguang Gas Field,Dabei Gas Field
在油氣田現場的生產中,由于不同儲層特征、生產過程差別很大,決定了氣井的產能評價方法不是單一固定的[1-3]。因此,在進行產能評價時必須根據氣藏的實際情況,如針對巨厚儲層的氣藏所提出的改進氣井產能的預測方法,應充分考慮到氣層的特征,并能夠與現場的產能試井的情況相結合[4-7]。李治平等[8]針對單點法測試產能存在的問題提出了對單點法測試資料進行有效處理的新思路。謝興禮[9]等提出根據確立的無阻流量與地層系數的相關關系式。張修明等[10]對于剛開發的氣藏,假設地層的溫度、平均壓縮系數和黏度基本保持不變,對鄂爾多斯盆地靖邊古潛臺東側氣田氣藏產能評價方法進行了研究。但這些方法僅針對較薄儲層,故儲層的非均質性及井筒壓力分布對氣藏產能評價影響不大。
巨厚氣藏具有儲層厚度大,生產井段長(一般為200~500m),非均質性強的特點。在求取產能時,各層段產能差異大,地層中部深度的井筒壓力值,并不能代表整個地層的壓力,不能再單純地取儲層中部的井筒壓力作為井底流壓。同時,與常規氣井井底流壓計算方法相比,由于儲層巨厚及非均質性強,導致變質量流引起的井筒壓力分布變化較大,需要考慮變質量流壓降的影響。筆者在優化了井底流壓的取值深度基礎上,建立了考慮變質量流的井筒壓力分布計算模型,有效地消除了產能評價過程中的異常(負斜率)問題。
1 普光氣田儲層巨厚且非均質性強
筆者定義多層地層系數累積值及多層地層系數偏差值來表示地層系數的差異性。多層地層系數累積值,即各層地層系數之和;多層地層系數偏差值,即地層系數方差值,用來衡量地層系數的波動大小,方差值越大,表明地層系數波動越大,非均質性越強。表1為普光氣田5口井的地層系數偏差值。總體特征為:多層分布特征,各層滲透率差異大;多數井儲層縱向非均值性強、層數多,層間地層系數差異大。累積值為:

其中Ki、hi分別為第i層的滲透率及有效厚度。

不同滲透率的多個氣層合采,滲透率越高的氣層,泄氣半徑傳播越快,地層壓力下降也越快,產氣量貢獻值越大,井筒壓力分布就會不同。
2 井底流壓取值深度的優化方法
2.1 產能異常機理分析
由于普光氣田是屬于以小壓差高產量生產的巨厚縱向非均質氣藏,已投產的井中射孔厚度在200~400m占絕大多數,地層壓力在50MPa左右,生產壓差在4~10MPa,產量在70×104m3/d左右。儲層巨厚,單井產量高,沿井筒方向的摩擦壓降和靜壓降高,而且生產壓差小,導致在進行產能分析時,發現二項式直線段的斜率對井底流壓非常敏感,當井底流壓取值位置不同時,勢必對二項式產能分析造成很大影響,甚至出現負斜率,導致無法進行產能分析。因此,此處針對巨厚均質氣藏,利用Eclipse數值模擬軟件分析不同位置處的井底流壓值對回壓試井數據分析的影響。巨厚均質氣藏C井的主要數值模型參數有:平面滲透率為3mD,縱向滲透率為0.3mD,孔隙度為10%,儲層邊界長度1200m,厚度300m,原始地層壓力50MPa。設計的回壓試井3個工作制度分別為10×104m3/d、20×104m3/d、30×104m3/d,數值模擬結果如圖1所示。取儲層頂部、中部、底部的壓力為井底流壓,進行二項式產能分析,其結果如圖2所示。


圖2中曲線①為采用儲層頂部的井筒壓力作為井底流壓得到二項式產能曲線,斜率為負,無法進行產能分析。曲線②為按照儲層中部的井筒壓力作為井底流壓得到的二項式產能曲線,得到該井的絕對無阻流量為503.6×104m3/d。曲線③為采用儲層底部的井筒壓力作為井底流壓得到的二項式產能曲線,斜率為正,得到的絕對無阻流量為498×104m3/d。由圖2可以看出,對這種均質巨厚氣藏來說,井底流壓取值不一樣,產能結果就不一樣。因此取何處的井筒壓力作為井底流壓,對于巨厚、高產、非均質氣藏來說更為重要。這種氣藏比較容易出現小壓差大產量的情況,一旦取值錯誤就會導致較大誤差,甚至會出現負斜率,從而使得產能方程異常。
以普光B井為例,儲層中深5320m,儲層厚度442m,井底溫度130℃,井口溫度60℃,地層壓力53.32MPa,滲透率分布不均衡,滲透率相差大。各層厚度分布也不均勻,使得地層系數的分布也不均勻。其測試制度及儲層中部的井筒壓力測試值見表2。對表2中的4個測試制度中的儲層中部測試壓力及產量資料利用壓力平方法進行回歸處理,其結果如圖3所示。


回歸直線斜率為負數,產能方程異常,無法利用二項式產能方法求出產能,故現場采用一點法[11]求得無阻流量為600×104m3/d,而這種方法僅適用于一般油氣藏,對于巨厚、高產氣藏不適用,誤差會較大。
2.2 產能異常消除的方法
由于普光氣田在縱向上存在嚴重非均質性,不同儲層對氣井的產能貢獻差異巨大,井底流壓在試氣中如何確定會對解釋方法有影響。此時,采用常規油氣藏的測試方法會有問題,在巨厚氣藏中,不同層的產能貢獻不同,不能直接采用常規方法,儲層中部深度與產能貢獻1/2處的深度不相等(圖4),若取儲層中部深度處的井底流壓,勢必對產能分析造成很大的影響。

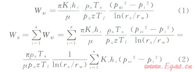
對于全部射開的巨厚氣藏,流體的滲流特征與普通氣藏的滲流并沒有特別大的差別,所以滲流模型可以用常規的氣井滲流模型。即

式中Wg為井口的干氣質量流量,kg/d;Wgi為流入第i段微元體內的干氣質量流量,kg/d;pei分別為第i段儲層的外邊界壓力,pei=gzzi,MPa;gz為靜壓梯度;zi為第i層的儲層深度,m;pi為第i段儲層的內邊界壓力,MPa。
由上式看出,產能的貢獻主要與地層系數及該層的地層壓力及井筒壓力有關。
對于巨厚非均質儲層氣井的井底流壓進行取值時,也應當取產能貢獻為總產能1/2時的深度對應的井筒壓力。假設n1層的產能累積值為總產能貢獻的1/2,那么有:

這種情況下,氣井產能異常的具體消除方法為:①基于測井資料的每一層的滲透率及儲層厚度,計算地層系數(Kh);②利用井筒壓力計算公式計算每一層的井筒壓力(pj)及地層壓力(pej);③利用式(3)進行累加計算,當累加到n1層時,計算的產能比值恰好為1/2,即從第一層開始,到n1層的產能累積貢獻值為總產能的一半,這時n1層對應的深度可作為放置壓力計的深度或利用公式計算井底流壓的深度,來進行產能評價,即取總產能的1/2對應深度的井底流壓。
3 考慮變質量流的井筒壓力分布模型
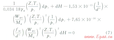
井筒中儲層段的壓力分布復雜,儲層段短時可以忽略由于流量變化引起的壓降;而對于長井段氣井,井筒壓力分布計算應當考慮變質量流引起的附加壓降。假設單相氣體作穩定流動,儲層全部射開生產,將厚度為H的氣層,分成n段。設氣藏在第i段井筒段中心處的壓力為pwi,氣藏流入第i段的質量流量為Wgi,第i段儲層內邊界壓力為pi,第i段微元體中干氣質量流量的主流量(即前i-1段微元體內的干氣質量流量之和)為Wgmi(圖5)。

3.1 考慮變質量流的井簡壓降計算模型
取長度為dH的第i個管段為控制體,其總壓降表達式為:
dpi=dpg-dpa+dpf (4)
式中dpi為第i段的總壓降,MPa;dpg為第i段的重力壓降,MPa;dpa為第i段的加速度壓降,MPa;dpfr為第i段的摩阻壓降,MPa。
由微元體內的能量守恒方程得出:
(dpi/rgig)+uidui+gdH+dJgi+dpfr=0 (5)
式中rgi為第i段微元體內氣體密度,kg/m3;ui為第i段微元體內氣體流速,m/s;dJgi為第i段微元體內外界對氣體所做的功,J。對于井筒內氣體流動從套管鞋到井口沒有功的輸出,也沒有功的輸入,dJi=0。
則上式可以簡化為:

上式采用的是SI單位制,進行單位轉化,將數值帶入式(6)后轉化為:

式中pi為第i段微元體內氣體壓力,MPa;Ti為第i段微元體內氣體溫度,K;Zi為第i段微元體內氣體壓縮因子;fgi為第i段微元體摩擦因子;Mg為氣體摩爾質量,g/mol,Mg=28.97gg;H為氣井的垂深,m;Wgti為第i段微元體中干氣質量流量的總流量,Wgti=Wgmi+Wgi,kg/d。
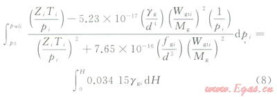
分離變量積分后可得:

式(8)即為考慮了變質量流的井筒壓降模型。
3.2 井筒流動與地層充動的耦合模型
3.2.1質量流量守恒
井筒內各段的流量與氣藏的流入量相等,并假設井筒末端無流體流入,即

3.2.2壓力連續性
第i段儲層的內邊界壓力和井筒的壓力在井壁處相等,即
pi=pwi (10)
3.2.3壓降方程
在已知各微元段頂端壓力(pwfi)的情況下,井筒中各微元段中心處的壓力可表示為[12]:

氣藏滲流模型(4)和井筒壓降模型(8)以及耦合條件(9)~(11)就構成了長井段井筒/滲流耦合模型。
3.3 模型求解
其步驟為:①將產層以上的井筒部分分成m等份,按照平均溫度平均壓縮因子井簡壓降模型[11]計算出產層頂部壓力(p0);②將整個產層等分成n份,產層頂部為第n個微元段,底部為第1個微元段;③利用式(8)計算第咒個微元段的底部壓力(pwfn),根據滲流模型(1)~(2)、耦合條件(9)~(11)計算從產層流入井筒的氣體質量流量(Wgn),計算流入第n-1個微元段的氣體質量流量,即Wgtn-1=Wgtn-Wgn;④重復第③步,直至算到產層底部。
4 實例應用
4.1 井筒壓力計算模型驗證
利用式(1)~(2)、(8)~(11)對普光B井的井筒壓力進行計算,同時也利用常用的干氣井井底流壓計算公式[11]進行計算,其計算結果如表3所示。

干氣井井底流壓計算方法的計算誤差雖然在7%以內,但均比地層壓力大很多,故該方法不適用。考慮變質量流壓降的地層、井筒耦合模型計算結果誤差小于5%,精度較高,滿足工程計算的需要,該模型可以用于巨厚高產非均質氣藏氣井的井筒壓力分布計算。
4.2 產能評價方法應用
以普光B井為例來說明所建立的產能評價方法。首先,利用第2部分建立的井底流壓取值深度優化方法,得出普光8井第8~11層的累積產能為總產能的1/2,即取第8層深度處的壓力為井底壓力;其次,利用第3部分的井筒壓力分布計算模型,計算出第8層的井底流壓;第三,對該井資料進行處理,并進行壓力平方法回歸,其結果見圖6。

新方法消除了產能方程的異常,計算得到普光B井的無阻流量為363×104m3/d,比現場采用的一點法更加接近實際情況。
5 結論
1)對于巨厚氣藏,二項式產能直線段易在解釋中出現異常。由于普光氣田大多數井具有巨厚、高產、小壓差的特點,井底流壓在不同儲層深度時有明顯的差異。筆者提出井底流壓取值深度優化方法,即取累積產能為總產能1/2的位置處的壓力為井底流壓,可以較好地消除負斜率問題,通過實例驗證了該方法的正確性。
2)基于考慮變質量流引起的附加壓降,建立了長井段井筒壓降與地層滲流耦合的計算模型,該模型可以計算巨厚高產氣藏的井筒壓力分布,提高了井筒壓力計算的精度。從計算實例看,計算誤差在5%以內,與實際情況更接近,滿足工程應用的需要。
3)新建立的巨厚高產非均質氣藏產能評價方法,可以有效地解決測試過程中的異常問題(如負斜率)、解決壓力計無法下入產層中部或不能正常測試的問題,從而節省測試所需的大量人力、物力。
參考文獻
[1]邱先強,李治平,劉銀山,等.致密氣藏水平井產量預測及影響因素分析[J].西南石油大學學報:自然科學版,2013,35(2):141-145.
QIU Xianqiang,LI Zhiping,LIU Yinshan,et al.Analvsis of productivity equation and influence factors of horizontal wells in tight sand gas reservoir[J].Journal of Southwest Petroleum University:Science&Technology Edition.2013,35(2):141-145.
[2]劉琦,孫雷,羅平亞,等.蘇里格西區含水氣藏合理產能評價方法研究[J].西南石油大學學報:自然科學版,2013,35(3):131-137.
LIU Qi,SUN Lei,LUG Pingya,et al.The research on the proper production capacity evaluations on the west of Sulige Gas Field[J].Journal of Southwest Petroleum University:Science&Technology Edition,2013,35(3):131-137.
[3]趙慶波,單高軍.徐深氣田氣井多因素動態配產方法研究[J].西南石油大學學報:自然科學版,2013,35(3):111-116.
ZHAO Qingbo,SHAN Gaojun.Research of multi-factor dynamic allocation methods of gas well in Xushen Gas Field[J].Journal of Southwest Petroleum University:Science&Technology Edition,2013,35(3):111-116.
[4]LLK D,CURRIE S M,BLASINGAME T A.Production analysis and well performance forecasting of tight gas and shale gas wells[C]//paper 139118-MS presented at the SPE Eastern Regional Meeting,12-14 October 2010,Morgantown,West Virginia,USA.New York:SPE,2010.
[5]周家雄,劉巍.樂東氣田斷層分布特征及其對產能的影響[J].天然氣工業,2013,33(11):56-61.
ZHOU Jiaxiong,LIU Wei.Fault distribution characterislics and their impacts on the yield of the Ledong Gas 15-1 Field,Yinggehai Basin[J].Natural Gas Industry,2013,33(11):56-61.
[6]任俊杰,郭平,王紹平,等.考慮變滲透率模量的異常高壓氣藏產能計算新方法[J].天然氣工業,2013,33(7):52-56.
REN Junjie,GUO Ping,WANG Shaoping,et al.A new method for calculating the productivity of abnormailv high-pressure gas reservoirs considering variable permeability modulus[J].Natural Gas Industry,2013,33(7):52-56.
[7]胡永全,嚴向陽,趙金洲.多段壓裂水平氣井紊流產能模擬模型——以塔里木盆地克拉蘇氣田大北區塊為例[J].天然氣工業,2013,33(1):61-64.
HU Yongquan,YAN Xiangyang,ZHAO Jinzhou.A simulation model for the turbulent production of a multi-stage fractured gas well:A case study from the Dabei block in the Kelasu Gas Field,Tarim Basin[J].Natural Gas Industry,2013,33(1):61-64.
[8]李治平.氣藏動態分析與預測方法[M].北京:石油工業出版社,2002.
LI Zhiping.The analysis and prediction methods of gas res rvoir performance[M].Beijing:Petroleum Industry Press,2002.
[9]謝興禮,朱玉新,冀光,等.氣藏產能評價方法及其應用[J].天然氣地球科學,2004,15(3):276-279.
XIE Xingli,ZHU Yuxin,JI Guang,et al.Evaluation methodology and application of well deliverability in gas reservoir[J].Natural Gas Geoseience,2004,15(3):276-279.
[10]張修明,李曉平,張健濤,等.靖邊古潛臺東側氣田氣藏產能評價方法研究[J].海洋石油,2009,29(2):65-68.
ZHANG Xiuming,LI Xiaoping,ZHANG Jiantao,et al.Productivity evaluating methods for gas reservoir in eastern part of Jingbian Paleozoic buried platform gas field[J].Offshore Oil,2009,29(2):65-68.
[11]李士倫.天然氣工程[M].北京:石油工業出版社,2000:85-134.
LI Shilun.Natural gas engineering[M].Beijing:Petroleum Industry Press,2000:85-134.
[12]WILLIAM C L,Standard handbook of petroIeum and naturai gas engineering[M].Burlington:Gulf Professional Publishing,2004.
本文作者:尹邦堂 李相方 李佳 解偉
作者單位:中國石油大學(華東)石油工程學院
中國石油大學(北京)石油工程學院
中國石化石油勘探開發有限公司
中國石化勝利油田分公司地質科學研究院
您可以選擇一種方式贊助本站

支付寶轉賬贊助

微信轉賬贊助
