摘 要:凝析氣井在生產中常會出現反凝析現象,會對其產能預測產生影響,特別是在凝析油含量較高的氣藏中影響尤為明顯。為此,提出了使用關井壓力恢復試井結果,計算凝析氣井瞬態產能的方法。從油、氣兩相滲流方程出發,利用相滲曲線定義擬壓力,得到線性化后的油氣兩相滲流方程。結合狀態方程及多組分閃蒸計算,準確描述了凝析氣藏在開發過程中相態的變化,得到準確的地層壓力和油相飽和度關系,實現了壓力與擬壓力的轉化。利用線性化的擬壓力方程可計算試井分析圖版,并通過試井分析得到地層滲透率等參數。使用這些地層參數,通過擬壓力方程計算得到凝析氣井的IPR曲線,最終可對凝析氣井的產能進行準確計算和預測。將模型的計算結果與實際井例的生產測試數據進行對比,結果表明其計算合理準確,與已有的井產量數據基本吻合,可在凝析氣井中推廣使用,以獲得準確的產能預測數據。
關鍵詞:凝析氣井 閃蒸計算 擬壓力 生產能力 反凝析 相變 數學模型
Dynamic productivity calculation of condensate gas wells considering flash evaporation
Abstract:Retrograde condensation frequently occurs in condensate gas wells during the production,exerting a significant impact on production forecast,especially for the reservoirs with higher condensate oil contents.To deal with this,we proposed a method to use shut-in pressure build-up test results to calculate the transient production of a condensate gas well.Specifically,we employed elative permeability curves to define pseudo-pressure,thereby to work out the linearized oil/gas permeability equations,then accurately described the phase transition of a gas condensate reservoir during production according to state equation and multi-component flash calculations,and finally determined the accurate relationship between formation pressure and oil phase saturation,realizing the conversion between pressure and pseudo-pressure.Additionally,we applied the linearized pseudo-pressure equation to figure Out the test well analysis charts,thus to obtain the permeability and other parameters of the strata,with which we got IPR curves of a condensate gas well by calculating the pseudo pressure equation;in this way,we could accurately calculate and predict the production of the condensate gas well.As a result,the calculated results fit well with the in-situ data.which means the proposed method is applicable and accurate for forecasting the productivity of a condensate gas well.
Keywords:condensate gas well,flash calculation,pseudo-pressure,productivity,retrograde condensate,phase transition,mathematical model
凝析氣田在世界油氣田開發中占有重要的地位,此類氣藏在開采時壓力遞減快,常有相變發生,且會出現反凝析現象[1-3],因此如何準確預測凝析氣藏的產能和提高采收率[4-5]是較為困難的工作。l967年,Dell和Miller[6]針對低滲透富凝析氣藏,提出氣相的穩態產量公式,僅適用于反凝析不嚴重的氣井。1996年,Fevang和Whitson[7]的研究表明,對不同種類的凝析氣藏,凝析油氣擬穩態擬壓力產量公式計算的產能均較準確。1998年Blom和Hagoort[8]研究得出需綜合考慮凝析油氣非達西滲流和相對滲透率隨毛細管數兩個因素對凝析氣井產能的影響,才能較準確預測氣井產能。2001年謝興禮等[9]在三區模型的基礎上建立了擬穩態形式的凝析氣井兩相流產能方程。2007年朱紹鵬等[10]利用氣藏工程和單井數值模擬方法研究了影響凝析氣井產能的主要因素。2009年李華等[11]在正交試驗的產能參數分析基礎上,研究了影響產能的主要因素及各因素對產能影響的權重。2011年石軍太等[12]統計得出了凝析氣相對滲透率與壓力的關系,簡化了凝析氣藏擬壓力函數,進而預測凝析氣井產能。2012年廖發明等[13]結合物質平衡方程,利用生產動態數據擬合整個歷史生產過程,獲得氣井目前的產能和地層壓力及各種地層參數。2012年楊濱等[14]分析了不同類型氣井產能變化規律,結果表明在凝析氣井中儲層壓力低于露點壓力后,凝析氣組分變化和凝析液析出控制產能的變化。2013年任俊杰等[15]研究了在開發異常高壓氣藏的過程中,滲透率模量變化和高速非達西效應對氣井產能的影響。
目前對凝析氣井的產能計算都采用單相或兩相擬壓力方法[16],這些方法中都假設地層為圓形定壓且流動達到穩定而壓力不隨時間變,實際生產中,壓力是在不斷變化,地層也存在各種邊界化。筆者采用閃蒸理論,根據實際油田的氣體組分,計算得到不同壓力下的液相氣相摩爾分數,并將其換算成定容體積比,以此作為油相飽和度,從而建立凝析氣中壓力和飽和度的關系式。采用油氣兩相滲流方程,通過定義擬壓力得到線性化后的凝析氣藏滲流方程,據此方程進行凝析氣產能計算。
1 理論模型
1.1 滲流方程及其線性化
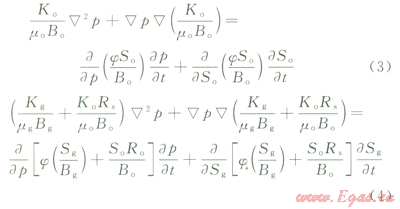
對于凝析氣藏,采用油氣兩相滲流方程進行描述[17]:


式中Kro、Krg分別為油氣兩相的相對滲透率;Bo、Bg分別為油氣兩相的體積系數;mo、mg分別為油氣兩相的黏度,mPa·s;po、pg分別為油氣兩相的壓力,MPa;So、Sg分別為油氣兩相的飽和度;Rs為溶解油氣比;j為地層孔隙度;K為地層滲透率,mD。
上述方程組中,如果不考慮毛細管力的影響(即po=pg),展開方程(1)和(2)得到:

假設生產油氣比

在空間上均勻分布

那么有:

方程(3)×Bo+方程(4)×Bg,并將方程(5)~(7)代入方程(3)和(4),且令

并注意到So+Sg=1,則可得到:

利用以下關系式:


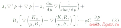
略去二階以上的小量后,可將方程(8)簡化為:

當lt和Ct取原始地層壓力下的值時,lt和Ct是常數,則方程(9)是線性化的方程。對方程(9)進行無量綱化,得到無量綱化后的方程:

式中mD為無量綱擬壓力;tD為無量綱時間;rD為無量綱徑向距離。
其中

純油相體積系數(Bo)可通過p—Bo曲線獲得,氣相體積系數(Bg)通過多組分氣體的PVT關系式計算得到,在無量綱量定義中Bo和Bg取原始地層壓力下的數值。
考慮表皮及流量變化后,無量綱井底壓力可表達成:

式中mwD為無量綱井底擬壓力;S為表皮因子。
其中

mD(T)為單位產量無表皮時的無量綱井底擬壓力表達式,與井類型(直井,裂縫井)有關。
從方程(11)可知,利用試井分析得到滲透率等參數后,可直接采用方程(11)計算產量與井底壓力的關系,很明顯不同時間下,井底壓力與產量關系曲線是不相同的。
1.2 利用閃蒸計算飽和度隨壓力變化關系
利用方程計算凝析氣井的產能,需要計算擬壓力,而擬壓力是油相對滲透率、黏度和體積系數的函數,相對滲透率曲線可以通過實驗給出。計算凝析氣藏擬壓力的關鍵是要給出不同壓力下的飽和度變化關系。對于凝析氣藏,各烴類物質的摩爾組分可以實驗測定,可利用閃蒸模型計算飽和度隨壓力的變化,其計算步驟如下所述。
1.2.1計算i組分平衡比
由各組分的臨界溫度(Tci)、臨界壓力(pci)以及地層溫度(T)和壓力(p),給出一個計算初始Ki值的經驗公式為:

式中Ki=yi/xi為第i組分的平衡比;xi=Mli/M與y=Mvi/M分別為第i組分的液相摩爾分數和氣相摩爾分數;∑xi=1,∑yi=1;Mli與Mvi分別為第i組分液相和氣相的摩爾數,mol;M為系統烴類的總摩爾數,mol。
引入液相摩爾分數L=Ml/M、氣相摩爾分數V=Mv/M,則L+V=1。
1.2.2計算xi和yi
第i組分摩爾組分(zi)表示為:
zi=Lxi+Vyi (13)
由方程(13)可計算xi,即
xi=zi/L+(1-l)ki (14)
由于0=∑xi-∑yi=一∑xi(1-Ki),由方程(14)容易得到:

由方程(15)可算出L,由yi=xiKi得到yi。
1.2.3計算逸度方程
根據逸度公式和狀態方程(這里以SRK狀態方程為例)可得逸度方程,見本文參考文獻[14],即

Z是混合物體系的壓縮因子,可由下式計算得到(不同的狀態方程對應于不同的公式,下式是在SRK狀態方程情況下)。即
Z3-Z2+(Am-Bm-Bm2)Z-AmBm=0 (18)
其中:


式中am(T)、bm分別為混合物體系的平均引力和斥力常數;wi為偏心因子;kij為二元交互作用系數的一個經驗公式。
1.2.4相平衡判斷
當相平衡時,氣液兩相逸度相同,則
fli=fvi (i=1,2,…,N) (19)
判斷是否½fli-fvi½<10-6,如果是則結束循環,否則由Ki=yi/xi計算新的值Ki,繼續循環執行步驟(2)~(4),直到相平衡后得到。
1.2.5計算飽和度
根據狀態方程(這時為SRK方程),得到液相體積(Vl)和氣相體積(Vg),即
Vl=LMRTZl/p (20)
Vg=(1-L)MRTZv/p (21)
式中Zl、Zv分別為液相和氣相的壓縮因子。
由此可得油相飽和度為:

2 實例分析
2.1 基本數據
某凝析氣井為預測未來產能,進行關井壓力恢復測試,表1給出該井例的基本參數及氣體組分,實測的井底壓力恢復曲線由圖1給出。


根據閃蒸計算過程以及表1中的相關數據,計算得到油相飽和度與壓力的關系曲線如圖2所示。

于方程(9)中的變量為擬壓力,在進行凝析氣井試井分析和產能計算時需要將圖l中的關井恢復壓力轉換為擬壓力。由定義的擬壓力公式進行積分。由圖2結合表1的數據可以計算出m(p)(圖3)。

2.2 凝析氣井例的試井分析
結合圖1、3,對擬壓力無量綱化并求導,得到無量綱擬壓力及其導數隨時間變化的雙對數曲線圖,根據曲線的形態,選用均質無限大模型,進行擬合,得到無量綱擬壓力及時間的擬合值和Cde2S。圖4給出該井例的雙對數無量綱擬壓力及其導數擬合圖,圖5給出該井例的井底壓力無量綱Horner檢驗圖。從圖4、5可以看出,兩者的擬合效果都較好,因而相應得到的地層參數也較為準確,根據曲線擬合得到K=0.17638mD、S=1.56、C=3.7833m3/MPa、`p=23.3713MPa。


2.3 凝析氣井產能預測
根據試井分析得到的結果,采用方程(11)可直接計算得到不同時間下的凝析氣氣井的井底流壓和地面產量之間的關系。對于凝析氣井,可以分別計算出氣的產量和油的產量隨壓力的變化關系,由于不同的時間曲線不同,故稱之為瞬態IPR曲線(井底流入動態曲線)。
圖6是根據試井分析得到地層參數,利用方程(11)計算的該井例生產1年和2年時的氣體產量與井底流壓的變化曲線,由于是無限大地層,生產1年和生產2年的IPR曲線相差不大。圖7是該井生產1年和2年時的油相產量與井底流壓的變化曲線,兩條曲線相差也不大。


從圖6、7可以看出:當井底流壓較大時,井底流壓與地面產量呈線性變化關系,這是因為當壓力較高時,氣體的密度較大,氣體的物性參數隨壓力變化較小,同時方程(9)線性化的條件是lt和Ct取原始地層壓力下的值,所以井底流壓較大時,流量和井底壓力呈線性關系。
筆者的井例中,關井前的井底流壓為9.082MPa,在圖6、7中分別作一條pwf=9.082MPa的水平線與IPR曲線相交。從圖6中得到該井往后生產1年和2年時的產氣量分別是3.67×104m3/d和3.54×104m3/d,從圖7中得到該井往后生產1年和2年時的產油量為5.18m3/d和5.01m3/d,這些產量數據與該井例在關井前的產量數據(表1)非常接近。由于本試井模型是均質無限大地層(擬壓力及導數曲線特征也反應出均質無限大地層特征),因此往后生產1年和2年的IPR曲線應該相差不大,也應該與測試時的IPR曲線相差較小。前一點從圖6和圖7中可以看出1年和2年的IPR曲線接近,后一點可以從圖6、7中井底流壓pwf=9.082MPa下的產油和產氣量與該井例關井前的產油和產氣量接近中得到驗證。這說明所計算的瞬態IPR曲線是較準確的,因此利用圖6、7可預測2年內不同流壓下的產油量和產氣量。
3 結論
1)筆者提出了使用關井壓力恢復試井結果,計算凝析氣井瞬態產能的方法,從而使穩態產能多次開關井測試,降低為1次關井壓力恢復測試,極大減少測試時間,降低測試風險。
2)通過閃蒸計算,得到凝析氣井的壓力與油飽和度關系曲線,為凝析氣井試井分析和瞬態產能預測奠定了基礎。
3)利用某井例的實際數據計算出的壓力與油飽和度關系曲線,實現壓力和擬壓力轉化,并對該井例進行試井分析,從擬壓力與導數擬合圖及無量綱Horner檢驗圖上看出計算數據和實測數據擬合度高,擬合得到的地層參數準確可靠。
4)利用試井的結果使用擬壓力方程計算得到的凝析氣井IPR曲線,和該井例在關井前的生產數據吻合得很好,證明該方法計算得到的IPR曲線的準確性,進而可由此IPR曲線進行未來生產時不同壓力下的產能預測。
參考文獻
[1]MCCAIN JR W D,ALEXANDER R A.Sampling gas-condensate wells[J].SPE Reservoir Engineering,1992,7(3):358-362.
[2]BARNUM R S,BRINKMAN F P,RICHARDSON T W,et al.Gas condensate reservoir behaviour:Productivity and recovery reduction due to condensation[C]//paper 30767-MS presented at the SPE Annual Technical Conference and Exhibition,22-25 October 1995,Dalias,Texas,USA.NewYork:SPE,l995.
[3]侯大力,高黎惠,劉浩成,等.近臨界態凝析氣藏地層流體特殊相態行為[J].天然氣工業,2013,33(11):68-73.
HOU Dali,GAO Lihui,LIU Haocheng,et,al.Dynamic phase behavior of near-critical condensate gas reservoir fluids[J].Natural Gas Industry,2013,33(11):68-73.
[4]馬青印,李才學,畢建霞,等.白廟致密砂巖凝析氣藏水平井優化設計[J].西南石油大學學報:自然科學版,2014,36(2):85-90.
MA Qingyin,LI Caixue,BI Jianxia,et al.Optimization design of horizontal wells in tight sandstone reservoir in Baimiao condensate gas[J].Journal of Southwest Petroleum University:Science&.Technology Edition,2014,36(2):85-90.
[5]郭平,景莎莎,彭彩珍.氣藏提高采收率技術及其對策[J].天然氣工業,2014,34(2):48-55.
GUO Ping,JING Shasha,PENG Caizhen.Technology and countermeasures for gas recovery enhancement[J].Natural Gas Industry,2014,34(2):48-55.
[6]ODELLH G.Successfully cycling a low permeability high-yield gas condensate reservoir[J].Journal of Petroleum Technology,1967,19(1):41-47.
[7]FEVANG O,WHITSON C H.Modeling gas condensate well deliverability[J].SPE Reservoir Engineering,1996,11(4):221-230.
[8]BLOM S M P,HAGOORT J.How to include the capillary number in gas condensate relative permeability functions[C]//paper 49268-MS presented at the SPE Annual Technical Conference and Exhibition,27-30 September 1998,New Orleans,Louisiana,USA.New York:SPE,1998.
[9]謝興禮,羅凱,宋文杰.凝析氣新的產能方程研究[J].石油學報,2001,22(3):36-42.
XIE Xingli,LUO Kai,SONG Wenjie.A novel equation for modeling gas condensate well deliverability[J].Acta Petrolei Sinica,2001,22(3):36-42.
[10]朱紹鵬,李文紅,勞業春.凝析氣井無阻流量影響因素分析[J].特種油氣藏,2007,14(1):84-86.
ZHU Shaopeng,LI Wenhong,LAO Yechun.Influence factors of open flow potential in condensate gas well[J].Special Oil and Gas Reservoir,2007,14(1):84-86.
[11]李華,劉雙琪,朱紹鵬.氣井及凝析氣井產能影響因素綜合研究[J].巖性油氣藏,2009,21(3):111-113.
LI Hua,LIU Shuangqi,ZHU Shaopeng.Influencing factors of productivity in gas well and gas condensate well[J].Lithologic Reservoirs,2009,21(3):111-113.
[12]石軍太,李相方,吳克柳,等.基于統計的凝析氣井產能預測新方法[J].大慶石油地質與開發,2011,30(6):107-111.
SHI Juntai,LI Xiangfang,WU Keliu,et al.Statistic based productivity predicting method for condensate gas well[J].Petroleum Geology and Oilfield Development in Daqing,20ll,30(6):107-111.
[13]廖發明,苗繼軍,陳文龍,等.凝析氣井產能和儲量計算新方法[J].西南石油大學學報:自然科學版,2012,34(4):100-104.
LIAO Faming,MIAO Jijun,CHEN Wenlong,et,al.The new calculation method of condensate gas well production and reservoirs[J].Journal of Southwest Petroleum University:Science&Technology Edition,2012,34(4):100-104.
[14]楊濱,方洋,王國政.氣井產能遞減分析與預測研究[J].西南石油大學學報:自然科學版,2012,34(4):105-109.
YANG Bin,FANG Yang,WANG Guozheng.Analysis and prediction of the deliverability decline for gas well[J].Journal of Southwest Petroleum University:Science&Technology Edition,2012,34(4):105-109.
[15]任俊杰,郭平,王紹平,等.考慮變滲透率模量的異常高壓氣藏產能計算新方法[J].天然氣工業,2013,33(7):52-56.
REN Junjie,GUO Ping,WANG Shaoping,et al.A new method for calculating the productivity of abnormally high-pressure gas reservoirs considering variable permeability modulusf[J].Natural Gas Industry,2013,33(7):52-56.
[16]盧德唐.試井分析理論及方法[M].北京:石油工業出版社,1998.
LU Detang.Well test analysis theory and methods[M].Beijing:Petroleum Industry Press,1998.
[17]孔祥言.高等滲流力學[M].合肥:中國科學技術大學出版社,1999.
KONG Xiangyan.Advanced fluid mechanics[M].Hefei:China University of Science and Technology Press,1999.
本文作者:盧德唐 何鵬 牛聰 張龍軍
作者單位:中國科學技術大學近代力學系
您可以選擇一種方式贊助本站

支付寶轉賬贊助

微信轉賬贊助
