摘 要:針對回收工業建筑排風余熱的溶液熱回收系統,建立管道部分的仿真模型。結合算例,對溶液在輸送過程中的混合及管段散熱對溶液參數(溫度、質量分數)的影響進行了計算分析。
關鍵詞:溶液熱回收系統; 排風余熱; 溶液參數
Simulated Calculation of Circulating Solution Parameters of Solution Heat Recovery System
Abstract:The simulation model of pipes in solution heat recovery system recovering industrial building exhaust waste heat is established.Combined with numerical example,the influence of mixing and heat loss of circulating solution during transportation on solution parameters like temperature and mass fraction is analyzed.
Keywords:solution heat recoveur system;exhaust waste heat;solution parameters
1 概述
工業建筑對新風需求量大,新風負荷較大,排風量也比較大。冬季工況下,排風基本為高溫高濕狀態,排風點比較分散,且與新風處理設備距離較遠,排風的熱量回收利用難度較高。因此,可考慮采用溶液(一般采用氯化鋰溶液)熱回收系統,將多臺分散的熱質回收塔(低溫濃溶液與室內高溫高濕排風進行傳質傳熱的設備)的出口溶液(高溫稀溶液)經過較長距離輸送并收集到稀溶液儲罐,再送入熱質釋放塔(高溫稀溶液與室外低溫低濕新風進行傳質傳熱的設備)集中處理新風,通過控制循環溶液參數(溫度、質量分數)調節溶液、新風流量等手段,可以調節經熱質釋放塔處理的新風參數(溫度、含濕量),從而滿足工業建筑對新風的需求。由于不同熱質回收塔出口溶液在輸送過程中混合并產生熱損失,勢必影響熱質釋放塔進口溶液(高溫稀溶液)參數,從而影響熱質釋放塔的性能。
在溶液除濕領域,學者們對除濕溶液以及熱質回收塔、熱質釋放塔內的熱質交換進行了深入研究[1-9],探討了溶液熱回收系統在特定場所的節能與環境效益[10-11],但對溶液在輸配中的參數變化鮮有關注。本文建立溶液熱回收系統管道部分的仿真模型,對溶液在輸送過程中的混合及管段散熱對溶液參數的影響進行計算分析。
2 溶液熱霹收系統
溶液熱回收系統是一種基于大量溶液循環的新型能量回收系統,適用于空氣、煙氣及蒸汽等的能量回收,并可實現多點能量的綜合回收利用與轉化,是一種環保高效的新型節能技術。溶液熱回收系統是回收建筑物內(外)的余熱(冷)或廢熱(冷),并把回收的熱(冷)量用于供熱(冷)或作為其他設備的冷(熱)源加以利用的系統。溶液熱回收系統(流程見圖l)主要設備包括熱質回收塔、熱質釋放塔、風機、溶液泵及儲液罐等。大量的熱濕空氣從熱質回收塔底部進入,與低溫濃溶液在填料表面接觸,進行熱濕交換,熱濕空氣變為干冷空氣,低溫濃溶液則變為高溫稀溶液,并收集到稀溶液儲液罐。熱質釋放塔用于溶液再生,干冷空氣從塔下部進入,與來自稀溶液儲液罐的高溫稀溶液在填料表面接觸,進行熱質交換后變為熱濕空氣。高溫稀溶液則變為低溫濃溶液,并收集到濃溶液儲液罐。對于處理量較大的場所,可并聯若干臺熱質回收、釋放塔。

3 仿真模型
3.1 單管仿真模型
①單管溫降模型
設環境溫度為t0,微元管段dL內的溶液溫度為t,忽略摩擦熱,在穩定工況下,質量流量為qm的微元管段皿上滿足熱量平衡式:
K(t-t0)dL=-qmcpdt (1)
式中K——管段單位長度散熱系數,W/(m·K)
t——微元管段乩內的溶液溫度,℃
t0——環境溫度,℃
L——管段長度,m
qm——溶液質量流量,kg/s
cp——溶液比定壓熱容,J/(kg·K)
引用Uemura提出的氯化鋰溶液的比定壓熱容與溶液溫度、質量濃度的關系式:
cp=4186(A+Bt+Ct2) (2)
A=1.002-1.255w+0.7575w2
B=-5.54×10-4-1.517×10-3w+6.8248×10-5w2
C=5.2266×10-6+3.6623×10-6w-3.8345×10-5w2
式中A、B、C——與溶液質量分數有關的參數
w——溶液質量分數
將式(2)代入式(1)可得:

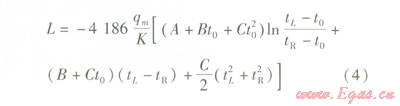
將式(3)等號左側在管長0~L范圍進行積分運算,等號右側在溶液溫度tR~tL范圍進行積分運算,可得到:

式中tL——距管段入口L處的溶液溫度,℃
tR——管段入幾處溶液溫度,℃
式(4)即為單管溫降模型,對于給定的管段溶液入口溫度tR,只要指定管長L,即可根據式(4)計算距離入口L處的溶液溫度tL。此類復雜的非線性代數方程,可采用Matlab-Simulink循環求解器進行求解。
②單管散熱模型
管段(長度為L)的散熱量F等于管內溶液熱損失,則有:

式中F——管段散熱量,W
式(5)即為單管散熱模型,同樣可采用Matlab-Simulink循環求解器進行求解。將單管溫降模型計算結果作為輸入參數,計算管段散熱量。
3.2 管網仿真模型
高溫稀溶液從熱質回收塔流出后經稀溶液儲液罐集中送入熱質釋放塔,不同工業建筑排風參數不同將導致熱質回收塔出口高溫稀溶液參數不同,各分支管溶液在總管入口處混合后,狀態參數也發生變化。
總管溶液質量流量qnmt的計算式為:

式中qm,t——總管溶液質量流量,kg/s
n——單管數量
qm,i——第i根單管溶液質量流量,kg/s
總管溶液質量分數wt的計算式為:

式中wt——總管溶液質量分數
wi——第i根單管溶液質量分數
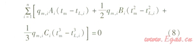
不同溫度的溶液混合,高溫溶液釋放熱量,低溫溶液吸收熱量,最終達到一個新的穩定的溫度。各單管溶液混合滿足以下熱平衡關系:

式中tm——混合溶液溫度,℃
tL,i——第i根單管出口溶液溫度,℃
cp,i——第i根單管出口溶液比定壓熱容,J/(kg·K)
進行積分運算后得到:

式中Ai、Bi、Ci——與wi有關的參數
利用Matlab-Simulink循環求解器,由式(8)可求解混合溶液溫度。式(6)~(8)為混合溶液狀態參數模型,將單管溫降模型、單管散熱模型、混合溶液狀態參數模型分別進行封裝,進而通過模塊連線搭建不同布置形式的管網仿真模型。
4 算例與結果分析
某溶液熱回收系統管道布置見圖2,溶液分別從熱質回收塔A、B、C吸收熱量后在節點0匯合,進入稀溶液儲液罐D。

各管段長度、溶液質量流量見表1。設定節點1~3處溶液溫度均為60℃,管段1-0、2-0、3-0溶液質量分數分別為41%、38%、41%,環境溫度為5℃,各管段單位長度散熱系數均取2W/(m·K)。

由單管溫降模型、單管散熱模型計算得到的各管段出口溶液溫度、散熱量見表2。由管網仿真模型計算得到節點0處溶液溫度為57.38℃,溶液質量分數為40.18%。

對比管段1-0與3-0出口溶液溫度,在其他條件相同的情況下,溶液質量流量大的管段3-0溫降反而更小。這主要是由于算例中將管子單位長度散熱系數設為定值,從而導致出現以上計算結果。實際上,對于相同管徑的管子,較大的管內溶液質量流量將導致散熱系數增大。
氯化鋰溶液的常用質量分數范圍為35%~45%,以管段1-0為例,當其他條件不變時,管段出口溶液溫度隨氯化鋰溶液質量分數的變化見圖3。由圖3可知,在計算工況下,氯化鋰溶液質量分數越高,溶液溫降越大。

其他條件不變,采用長沙典型年1月1日8:00—17:00的逐時室外干球溫度作為環境溫度,對管段0-4出口溶液溫度進行仿真計算。環境溫度、管段出Vl溶液溫度隨時間的變化見圖4。由圖4可知,計算工況下,環境溫度從最低(1.5℃)升至最高(11.5℃),管段0-4出口溶液溫度由55.27℃升至56.07℃。

參考文獻:
[1]FUMO N,GOSWAMI D Y.Study of an aqueous lithimn chloride desiccant system:air dehumidification and desiccant regeneration[J].Solar Energy,2002(4):351-361.
[2]LIU X H,JIANG Y,CHANG X M,et al.Experimental investigation of the heat and mass transfer between air and liquid desiccant in a cross-flow regenerator[J].Renewable Energy,2007(10):1623-1636.
[3]殷勇高.溶液除濕系統除濕再生過程及其熱質耦合機理研究(博士學位論文)[D].南京:東南大學,2009:31-35.
[4]劉曉華,江億,曲凱陽.叉流溶液除濕裝置全熱交換過程的解析解[J].太陽能學報,2006(8):774-781.
[5]BABAKHANI D,SOLEYMANI M.An analytical solution for air dehumidification by liquid desiccant in a packed column[J].International Communications in Heat and Mass Transfer,2009(9):969-977.
[6]羅磊,張小松,殷高勇.叉流填料再生器中傳熱傳質系數的實驗研究[J].工程熱物理學報,2008,29(7):1218-1220.
[7]殷高勇,張小松,賴融冰.兩種鹽溶液除濕器的建模與對比[J].化工學報,2006(12):2828-2833.
[8]劉曉華,江億,曲凱陽.使用吸濕溶液的叉流除濕模塊尺寸優化分析[J].太陽能學報,2006(9):878-883.
[9]劉曉華,江億,常曉敏,等.溶液除濕李調系統中叉流再生裝置熱質交換性能分析[J].暖通空調,2005,35(12):10-15.
[10]韓俊召,裴清清.溶液全熱回收裝置在SPF實驗動物環境中的應用分析[J].清凈與空調技術,2007(1):46-48.
[11]李井會,劉澤華,叢明滋,等.溶液熱回收系統在卷煙廠工藝排風中的應用[J].暖通空調,2011,41(5):55-58.
本文作者:余浩平 劉澤華 廖燕
作者單位:南華大學城市建設學院
您可以選擇一種方式贊助本站

支付寶轉賬贊助

微信轉賬贊助
