摘 要:現行的儲層改造工藝僅適用于硬煤,對軟煤則無能為力,這是造成我國煤層氣產業化難以取得突破的主因這一,探索一種實現各類儲層強化增透的普適性技術是當務之急。為此,采用理論分析與現場試驗相結合的方法,系統分析了水力壓裂過程中徑向引張、周緣引張和剪切裂縫等多級、多類裂縫形成的力學機制,揭示了圍巖 煤儲層縫網改造的增透機理。結果表明:水平井分段多簇射孔壓裂、水力噴射分段壓裂、四變壓裂以及一些輔助措施是實現縫網改造的有效技術途徑,尤其是四變壓裂使得煤層氣垂直井和叢式井的縫網改造成為現實。結論認為:圍巖抽采層縫網改造技術以鉆井施工安全、可改造性強、抗應力敏感和速敏能力強、適合于任何煤體結構煤儲層為特點,因而具有顯著的優勢;該技術除了在圍巖水敏性極強、富水性強的條件下使用尚有局限外,具有廣泛的適應性。煤層氣地面開采和煤礦井下抽采成功的工業性試驗表明,所構建的圍巖—煤儲層縫網改造理論和技術體系,將作為一種廣普性的增透措施在我國煤層氣井地聯合抽采領域發揮作用。
關鍵詞:煤層瓦斯 頂底板 圍巖抽采層 縫網改造 增透機理 四變壓裂 技術
A theory and technical system of permeability enhancement to extract coal gas by fracture network stimulating in adj acent rocks and coal reservoirs
Abstract:The existing reservoir stimulating technology is only applicable to hard coal but unsuitable for soft coal,which restricts the CBM industrialization in China.It is urgent to develop a universal stimulating technology which can increase the permeability in various coal reservoirs.Theoretical analysis and field tests were used to systematically analyze the mechanical mechanism of the formation of radial tensile fractures,peripheral tensile fractures,shear fractures and other multistage variofis fractures in hydraulic fracturing and to work out the mechanism of permeability enhancement by fracture network stimulating in adjacent rocks and coal resetvoirs.It is shown that multiple perforation staged fracturing of horizontal wells,hydraulicjet staged fracturing,quadruplex hydraulic fracturing and some auxiliary measures are effective technical approaches to achieving fracture network stimulatin9,especially quadruplex hydraulic fracturing that can stimulate the fracture network in vertical and cluster wells.The fracture network stimulating technology for adj acent rock mining layers has significant advantages,such as safe drilling operation,strong renovation,strong antistress sensitivity,and strong velocity sensitivity,so this technology is suitable for coal reservoirs with any coal structures.In addition to adjacent rocks with strong water sensitivity and a high water yield,the technology is also strong in adaptability.Thus,a successful industrial test conducted on ground and under coal mines proves that the theory and technical system of fracture network stimulating in adjacent rocks and coal reservoirs will play a role as a widely applicable measure in the CBM development in China.
Keywords:CBM,adjacent rock mining layer,fracture network stimulating,permeability enhancement mechanism,quadruplex hydraulic fracturing,technology
地面煤層氣開發以其資源、減災與減排三重意義而備受重視,美國的13個煤盆地中有11個已實現了煤層氣商業化開發[1];加拿大阿爾伯特地區近期煤層氣產量上升迅猛[2];澳大利亞在蘇拉特盆地多分支水平井的開發效益顯著[3-4]。我國在經歷了30多年的艱苦探索后,在局部地區實現了煤層氣商業化運作。
煤層氣開發的核心技術是水力壓裂。由于水力壓裂的適用對象是彈性體,在彈性介質中形成支撐裂縫,增加其導流能力,達到增產的目的;而對于隸屬于塑性體的軟煤則無能為力,這已被大量的實踐和研究所證實[5],構成了煤層氣開發的第一個禁區,而我國半數以上的煤層氣資源賦存在軟煤相對發育的儲層內。現行的活性水+石英砂壓裂工藝,難以在深部高應力煤儲層中造出長且寬的支撐裂縫,排采過程中逐漸加強的應力敏感效應使得支撐劑嚴重破碎、鑲嵌、裂縫閉合,在經歷短暫的產氣后成為死井[6],從而構成了煤層氣開發的第二個禁區。正是由于這兩大禁區的存在,致使我國煤層氣大規模商業化開發難以取得突破。
煤礦井下瓦斯抽采可區分為未卸壓和卸壓抽采兩大類[7]。前者的抽采效果完全取決于煤儲層的原始滲透率,往往以增加鉆孔工程量來彌補;后者則可以將滲透率提高千倍以上。保護層開采是最有效的增透手段,在多煤層礦井得到了成功應用[8-9]。保護層開采后,不僅使得被保護煤層滲透性顯著提升,而且可以從圍巖裂隙帶中抽出大量瓦斯。說明只要在圍巖中形成一個裂隙發育的卸壓帶,即可實現煤層瓦斯的大規模、快速抽采。回采工作面高位鉆孔、高抽巷抽采與此原理相同。基于這一原理,蘇現波[10-12]、馬耕[13]朝提出了“虛擬儲層”強化抽采瓦斯技術,即通過水力壓裂將煤層的頂底板改造成瓦斯運移產出的高速通道,相當于改造出保護層開采中的裂隙帶。這樣就避開了不可強化的軟煤,且巖層的應力敏感性遠遠低于煤層。該技術為這禁區的突破提供了一種行之有效的新途徑,近期的工業性試驗充分證實了此工藝的可行性。
近些年來,隨著頁巖氣儲層體積改造技術的日臻成熟[14-15],使得煤儲層縫網改造理論與技術得以長足進步。筆者從力學的角度深入分析壓裂過程中多級、多類裂縫的形成機制,據此提出實現圍巖煤儲層縫網改造的技術途徑,為瓦斯的井地聯合高效抽采提供一種全新的工藝。
1 圍巖—煤儲層縫網改造理論
1.1 圍巖抽采層概念
圍巖抽采層是指鄰近煤層的頂底板巖層,該巖層可通過人工改造形成多級、多類裂縫網絡與煤層溝通、成為瓦斯運移產出的產層,早期被稱為“虛擬儲層”[10-13]。圍巖抽采層經水力強化改造后形成的裂縫網絡與煤層溝通的范圍遠遠大于本煤層鉆孔,瓦斯由煤層解吸、擴散、滲流到這一產層后被快速抽出;相當于在圍巖中建立了一條瓦斯運移的高速通道。圍巖抽采層縫網改造技術突破了軟煤儲層無法直接進行水力強化、實現商業化開發的禁區;同時也以其遠遠低于煤儲層應力敏感而使深部高應力儲層煤層氣井達到產能成為可能。
1.2 圍巖抽采層縫網改造增透機理
縫網改造技術是指在水力壓裂過程中,采用分段多簇射孔壓裂、水力噴射分段壓裂和四變壓裂(變排量、變支撐劑、變壓裂液和變砂比),以及一些輔助措施(端部脫砂、投球暫堵等技術),最大限度地擾動原始地應力場,從而使裂縫的起裂與擴展不簡單是儲層的張性破壞,還存在剪切、滑移、錯斷等復雜的力學行為,進而形成徑向引張、周緣引張和剪切裂縫等多類、多級裂縫體系。同時壓裂過程中儲層自身形成的脆性顆粒可起到自我支撐作用,壁面位移也可實現裂縫增容。這樣就在儲層內形成了一個由天然裂縫與人工改造的多級、多類裂縫相互交錯的裂縫網絡體系,整體上改變了儲層三維空間滲透性,而不單單是幾條裂縫的導流能力。從而造成裂縫壁面與儲層基質塊的接觸面積最大化,使得流體從任意方向的基質向裂縫的滲流距離最短,為儲層流體運移產出提供了最佳、最暢通道。這種以多級、多類裂縫的形成為目的的儲層強化技術稱縫網改造技術(圖1)。縫網改造就是要解決裂縫能否形成與如何形成的問題。

1.2.1徑向引張裂縫
在水力壓裂過程中,當流體壓力超過最小水平應力與巖石抗拉強度時,薄弱面將被拉裂。假設裂縫內流體壓力各方向相等,裂縫端部的應力強度因子[16]為:

式中KI為煤巖體張性裂縫強度因子;p(y)為作用于裂縫面上的凈壓力;a為裂縫的半長;y為裂縫上任一點到井筒中心的距離;GSI為煤巖體地質強度指標,反映非完整煤巖體結構與力學特性的一個定量指標[17-18],不同GSl值的煤巖體應該具有不同的應力強度因子。
當KI>KIC(KIC為煤巖體的張性裂縫斷裂韌度)時,裂縫開始向前擴展,且沿著最大主應力方向延伸、最小主應力方向張開,任何壓裂方式均可形成此類裂縫(圖2)。

1.2.2 剪切裂縫
假定在儲層中存在長度為6的微裂縫,則剪切應力強度因子[19]為(圖2):

式中KⅡ為剪性裂縫強度因子;s¢1、s¢3為最大和最小有效應力;a為裂縫與主應力s¢3的夾角;b為微裂長度;t為裂縫面上切應力。
當KⅡ>KⅡC、(KⅡC為煤巖體的剪性裂縫斷裂韌度)時,剪切裂縫將向前擴展,任何壓裂方式理論上均可形成此類裂縫。
1.2.3周緣引張裂縫
在水力壓裂過程中快速降低排量、甚至停泵,或瞬時卸載放噴,都可形成近乎垂直于徑向裂縫的周緣引張裂縫。這些壓裂方式可造成井筒內快速卸壓,流體帶動煤巖體向井筒方向徑向位移,位移量白鉆孔壁面向外逐漸減小。由于煤巖體中結構弱面兩側位移量不同,將產生拉應力,當拉應力超過巖體抗拉強度時,裂縫開始萌生擴展,形成周緣引張裂縫[20-21](圖3)。

裂縫面的法向有效應力和剪應力可表示為:

式中a為裂縫與最小有效應力方向的夾角;t為剪切應力;s¢n為裂縫面法向有效應力。
當s¢n<0時,裂縫面法向應力為拉應力狀態,產生法向位移、裂開,滑動抗剪摩擦力忽略不計,裂縫端部擴展裂紋(r,q)處的s¢q可表示為:

式中q為裂縫轉向角;r為擴展裂紋長度。
對于長度較小的裂紋,可看做是無限體平面問題,在無限遠處有一對壓拉組合作用力,則張性裂紋端部的應力強度因子為:

由式(4)、(5)可得出擴展裂縫(r,q)處的應力強度因子為:

對式(4)求偏導,并令其為0,則

式中q0為轉向裂縫開裂角。
將式(7)確定的開裂角(q0)代入式(6),求出拉剪作用下的裂紋起裂應力強度因子為:

周緣引張裂縫是單純的注入式壓裂難以實現的,而變排量、吞吐或重復壓裂的卸載階段可形成。
1.2.4裂縫轉向與多級裂縫的形成
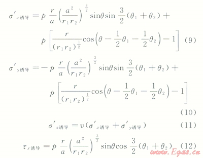
變排量壓裂、分段多簇射孔壓裂、重復壓裂等都會引起地應力重新分布,后期壓裂裂縫將與前期壓裂所形成的裂縫呈臼的方位延伸,從而形成轉向裂縫[22-23]。壓裂形成的每條裂縫都將產生誘導應力場,造成應力重新分布[24],裂縫在A點形成的誘導應力見圖4和式(9)~(12)。


式中s¢x誘導為x方向誘導有效應力;s¢y誘導為y方向誘導有效應力;p為縫內流體壓力;r為A點到坐標原點的距離;r1、r2分別為A點到裂縫兩個端點的距離;q1、q2分別為A點和裂縫兩個端點連線與y軸的夾角;v為泊松比。
以誘導應力與裂縫中的凈壓力p的比值為縱坐標,以與初始裂縫的距離x和半縫高a的比值為縱軸作圖(圖5),由圖5可以看出誘導應力的大小隨著與初始裂縫距離的變化而改變,在3倍的半縫高距離以后,誘導應力變的得很小,可以忽略不計[25]。

誘導應力場和原應力場相互疊加形成復合應力場。裂縫的復雜性決定了誘導應力場的非均一性,從而造成了復合應力場的復雜性。正是存在非均一性,才使多級、多類裂縫的形成成為可能。因此,縫網改造的核心是通過改變壓裂工藝,最大限度地擾動原始應力場。
1.2.5裂縫的自我支撐
圍巖抽采層壓裂過程中形成的剪切裂縫將產生自我支撐(圖1)。隨壓裂的進行,剪切裂縫將發生壁面位移,粗糙的裂縫面凸凸相對,從而發生增容;壓裂中形成的一些較大的脆性顆粒,滯留在裂縫體系內,起到了顆粒支撐作用。
上述力學分析表明,儲層縫網改造的核心是最大限度地擾動原始應力場,只要通過水力壓裂不斷擾動應力場,就可形成多級、多類裂縫。這一理論分析為以下縫網改造技術的形成奠定了基礎。
2 圍巖一煤儲層縫網改造技術
2.1 技術的適用性
2.1.1技術優勢
圍巖抽采層縫網改造以其獨有的技術優勢為上述兩大煤層氣開發禁區的突破提供了新途徑。
1)鉆孔不易失穩。巖體的力學強度遠遠高于含瓦斯煤體,鉆進過程中鉆孔失穩概率低,易形成一個高質量的井孔。
2)圍巖的可改造性強。任何圍巖,除了個別水敏性極強的泥巖外,其脆性指數、力學強度都高于煤層,水力壓裂時易形成裂縫。
3)裂縫不易因應力敏感而閉合。隨排采的進行、流體壓力的降低,有效應力在不斷增加,裂縫將逐漸閉合,支撐劑將會嵌入煤巖層,致使其導流能力顯著降低,甚至完全消失。巖層的抗壓強度遠遠高于煤層,抗支撐劑鑲嵌能力高于煤層,因此排采過程中無法回避的應力敏感造成裂縫的閉合程度遠遠低于煤層。
4)易發生速敏。煤層氣排采要求“連續、緩慢、穩定”,其核心就是要控制速敏的發生。對于本煤層壓裂井而言,如果排采失控,將會出現煤粉隨流體產出,產出煤粉要么沉淀在口袋中,要么滯積在近井地帶(往往為應力集中帶),造成儲層嚴重傷害。通過圍巖井孔抽采瓦斯顯著降低了速敏發生的概率。這是由于巖層的破碎能力顯著低于煤層,不易形成巖粉;就是形成少量的巖粉,也不會像煤粉那樣顆粒與顆粒之間存在強的結合力,在近井應力集中帶形成致密的煤粉滯積環。
5)適合于任何結構煤儲層。對硬煤儲層,在進行圍巖縫網改造的同時也改造了煤層;對軟煤儲層,由于其自身不可壓裂,改造的只是圍巖。
圍巖抽采層縫網改造以上述諸多技術優勢,將為瓦斯抽采提供一種全新的技術途徑,將推動我國煤層氣商業化開發的進程。
2.1.2技術的局限性
盡管圍巖抽采層縫網改造具有上述多種優勢,但也有其局限性:①煤層上下均為強水敏性巖層、遇水即嚴重膨脹和軟化時不適用;②圍巖抽采層為富水性較強的含水層,或強化影響范圍內有富水性強的含水層時不適用。
2.2 縫網改造增透技術
圍巖抽采層—煤儲層縫網改造技術適合于地面煤層氣開發和井下瓦斯抽采,是一種相對普適性技術。其核心是根據煤巖體結構和力學性質,針對不同的井型采用不同的水力壓裂工藝,最大限度地形成多級、多類裂縫體系,達到快速抽采瓦斯的目的。對于硬煤儲層強化的是圍巖和煤儲層,瓦斯以一級擴散、兩級滲流方式產出;對于軟煤儲層強化的是圍巖,煤層不能被強化,只能形成擠脹和穿刺,瓦斯以兩級擴散、一級滲流方式產出[12](圖6)。但軟煤可以通過水力壓沖出煤卸壓實現,其機理另文探討。圍巖煤儲層縫網改造可通過下述技術途徑實現。

2.2.1四變壓裂技術
四變壓裂,即變排量、變砂比、變支撐劑和變壓裂液,是一種實現縫網改造的有效途徑。
2.2.1.1變排量壓裂
變排量壓裂是指壓裂過程中排量從低到高反復進行,對儲層反復激動,低排量可以是停泵。隨著排量的增加、壓力增大,徑向引張裂縫形成;當降低排量或停泵時,儲層相應發生卸載,形成周緣引張裂縫;與此同時,先期形成的剪切裂縫,間或徑向引張裂縫會發生壁面位移,從而實現裂縫的增容和自位支撐。反復的變排量泵注過程中,應力場不斷被擾動,形成復合應力場,裂縫發生轉向。從而形成了多級、多類裂縫網絡。變排量是四變壓裂的核心。
2.2.1.2變砂比
變砂比是與變排量壓裂相輔相成的一種壓裂技術。在大排量時加入支撐劑,形成段塞;在低排量時不加支撐劑,形成隔離,最終形成房柱式支撐,一些學者將此壓裂稱為通道壓裂[26-27]。支撐劑的圓度、球度、抗壓強度和破碎率決定了支撐裂縫的導流能力,石英砂的低抗壓強度和高破碎率,往往難以維持支撐裂縫導流能力的長期穩定。而變砂比通道壓裂則是由支撐劑建立支撐房柱,它自身可以沒有導流能力,只要房柱之間的通道具有高導流能力就可為流體運移產出提供暢通流道。因此,通道壓裂對支撐劑質量要求不嚴格,能夠建立房柱即可。
變砂比壓裂往往與裂縫端部脫砂、投球暫堵等輔助措施相結合,可達到事半功倍的效果。另外,變砂比通道壓裂要求巖層有足夠的強度[28],所形成的房柱不被壓垮,這正是圍巖抽采層具備的優勢。
2.2.1.3變壓裂液
變壓裂液是指充分發揮各種壓裂液的性能,實現多級、多類裂縫的有效支撐。一般采用廉價的活性水作為前置液充分實現縫網改造;以昂貴的胍膠等高黏、強攜砂能力壓裂液為攜砂液,實現裂縫的有效支撐。變壓裂液壓裂即所謂的復合壓裂。
2.2.1.4變支撐劑
變支撐劑包括變粒徑與變類型兩層含義。①變粒徑。在前置液中一般要加入一定量的粉砂,其作用有三:堵塞大裂縫降濾失、打磨裂縫壁面和支撐微裂縫;攜砂液加入的中砂是形成導流通道的主體;最后加入粗砂形成近井地帶高滲通道。②變支撐劑類型。變支撐劑類型與變壓裂液密切相關。前置液采用廉價的活性水造縫,加入粉砂;攜砂液如果采用活性水,則必須采用入木質支撐劑(如核桃殼)或者超低密度陶粒;攜砂液如果采用胍膠等高黏壓裂液,則可加入抗壓能力強的支撐劑(如陶粒)。除煤層埋深較淺、閉合壓力較低,或采用變砂比通道壓裂外,一般不可采用石英砂做支撐劑。
四變壓裂中的“四變”是相輔相成的,一個區塊、一口井都要根據具體的儲層條件進行壓裂設計,真正實現一區一策、一井一法,達到縫網改造的目的。
2.2.2地面煤層氣開發縫網改造技術
根據前述的裂縫形成機制,結合四變壓裂技術,任何煤體結構儲層都可進行圍巖—煤儲層縫網改造,特別是全層均為軟煤的儲層優勢更加顯著。
2.2.2.1水平井圍巖縫網改造技術
在距煤層一定距離的頂板或底板圍巖層內施工水平井(圖6)。壓裂分段由煤巖體結構與力學性質、改造體積、地應力和施工能力決定,每段長度一般不超過100m。可采用螺旋射孔或定向射孔,孔密度根據壓裂需求而定,但均要多簇射孔。可采用封隔器機械封隔,也可水力噴射自我封隔分段壓裂。對于埋深淺、地應力低的儲層,壓裂液可采用活性水或滑溜水;對深部高應力儲層,則采用胍膠或清潔壓裂液,但要與低溫強制性破膠劑結合,最好加注自生氮,確保破膠徹底和快速返排。支撐劑以中砂為主,尾追粗砂,前置液中加入粉砂。泵注過程采用四變壓裂,泵注排量和攜砂量取決于煤巖體結構和改造體積等。
水平井的分段多簇射孔壓裂,通過簇與簇、段與段之間的應力場干擾實現了裂縫的轉向,加上“四變”技術,充分形成了多級、多類裂縫體系,達到縫網改造目的。在河南煤化集團中馬村礦施工的地面U型井,水平井眼布置在煤層以上5m左右的頂板圍巖內,水平段長300m左右,采用水力噴射分段壓裂,通過圍巖抽采層實現間接瓦斯抽采。由于和煤礦井下工程沖突,壓裂規模較小。但獲得了2300m3/d的產氣量,這是國內外第一口進行圍巖改造抽出瓦斯的地面井。
2.2.2.2垂直井與叢式井縫網改造技術
四變壓裂是垂直井和叢式井圍巖縫網改造的技術途徑。若煤層全部為軟煤,可只打開圍巖,通過四變壓裂實現縫網改造;若煤儲層存在硬分層,則將此硬分層與圍巖一并打開;如果存在脆性的夾矸,也打開。采用四變壓裂,并輔之以端部脫砂或投球暫堵技術,先壓開煤層,后壓開圍巖抽采層。壓裂液、支撐劑、泵注排量等的確定原則與水平井相同。可嘗試不均勻射孔,類似于水平井的分段多簇射孔,煤層孔密度大些,這樣更容易形成應力場的擾動。
圍巖抽采層縫網改造技術在山西古交地面垂直井得到了成功應用。該區發育兩層煤,煤層厚度l~3m,兩層煤間距為5~10m,巖性為粉砂巖和粉砂質泥巖,煤層氣含量10~15m3/t,為碎粒煤。把煤層和煤層之間圍巖一并壓裂的2口井,穩產在1600m3/d;而只對煤層實施壓裂改造的1口井僅150m3/d。這一工業性試驗充分說明圍巖抽采層縫網改造的技術優勢。
2.2.3煤礦井下瓦斯抽采縫網改造技術
筆者于2004年提出將地面煤層氣開發的壓裂工藝移植到煤礦井下[29],于2008年進行了真正意義上井下圍巖一煤層水力壓裂,這一工藝技術正以其強有力的生命力在走入工程化。
煤礦井下可把圍巖和煤層作為整體進行縫網改造,其實現途徑為吞吐壓裂、重復壓裂、水力壓沖等,工藝的選擇取決于煤巖體結構和力學性質[30]。圍巖抽采層煤儲層縫網改造技術以其增透效果明顯、成本低而成為煤礦井下瓦斯抽采的一種新技術,在河南、重慶、貴州、安徽、山西等高突礦井被逐漸推廣。
3 結論
鑒于現行的水力壓裂工藝難以滿足軟煤和深部高應力煤儲層煤層氣商業化開發的需求,筆者提出了一種圍巖煤儲層縫網改造技術。該技術通過不同的水力強化措施,對圍巖一煤儲層進行縫網改造,形成一個由多類、多級裂縫組成的縫網體系,達到大規模抽采瓦斯的目的。力學分析結果表明,水力壓裂可形成徑向引張、周緣引張和剪切裂縫等多類、多級裂縫。在分析了圍巖抽采層縫網改造技術的適用性和局限性后,提出實現縫網改造的技術途徑:四變壓裂、水平井分段多簇射孔壓裂、水力噴射分段壓裂以及一些輔助措施。這一技術的核心是應力場的擾動,目的是形成多級、多類裂縫,大規模提升瓦斯抽采效率。煤層氣地面開采和煤礦井下抽采成功的工業性試驗,初步形成了一套井上下圍巖煤儲層縫網改造技術體系。該技術突破了軟煤儲層不可強化、深部高應力儲層低產兩大禁區,其推廣應用將極大地推進我國地面煤層氣商業化開發進程,形成一種瓦斯區域治理新工藝。
參考文獻
[1]KARACAN C O,RUIZ F A,COTE M,et al.Coal mine methane:A review of capture and utilization practices with benefits to mining safety and to greenhouse gas reduction[J].International Journal of Coal Geology,2011,86(2/3):121-156.
[2]GUNTER W D,GENTZIS T,ROTTENFUSSER B A,et al.Deep coalbed methane in Alberta,Canada:A fuel resource with the potential of zero greenhouse gas emissions[J].Energy Conversion and Management,1997,38(S1):217-222.
[3]SCOTT S,ANDERSON B,CROSDALE P,et al.Coal petrology and coal seam gas contents of the Walloon Subgroup-Surat Basin,Queensland,Aus'tralia[J].International Journal of Coal Geology,2007,70(1/3):209-222.
[4]Ian Palmer,Coalbed methane completions:A world view[J].International Journal of Coal Geology,2010,82(3/4):184-195.
[5]郭紅玉,蘇現波,夏大平,等.煤儲層滲透率與地質強度指標的關系研究及意義[J].煤炭學報,2010,35(8):1319-1322.
GUO Hongyu,SU Xianbo,XIA Daping,et al.Relation ship of the permeability and geological strength index(GSI) of coal reservoir and its significance[J].Journal of China Coal Society,2010,35(8):1319-1322.
[6]陳作,孟祥燕,杜長虹,等.異常高地應力致密砂巖儲層壓裂技術研究[J].天然氣工業,2005,25(12):92-94.
CHEN Zuo,MENG Xiangyan,DU Changhong,et al.Fracturing techniques of tight sand reservoirs with abnormal high earth stress[J].Natural Gas Industry,2005,25(12):92-94.
[7]國家安全生產艨督管理總局.AQl027 2006煤礦瓦斯抽放規范[S].2006.
State Administration of Work Safety.AQl027—2006 Code for coal mine gas drainage[S].2006.
[8]袁亮,郭華,沈寶堂,等.低透氣性煤層群煤與瓦斯共采中的高位環形裂隙體[J].煤炭學報,2011,36(3):357-365.
YUAN Liang,GUO Hua,SHEN Baotang,et al.Circular overlying zone at longwall panel for efficient methane capture of mutiple coal seams with low permeability[J].Journal of China Coal Society,2011,36(3):357-365.
[9]錢鳴高,許家林.覆巖采動裂隙分布的“O”形圈特征研究[J].煤炭學報,l998,23(5):20-23.
QIAN Minggao,XU Jialin.Study on the“O shape”circle distribution characteristics of mining induced fractures in the overlaying strata[J].Journal of China Coal Society,1998,23(5):20-23.
[10]SU Xianbo,TANG Youyi.Coalbed methane drainage technology in Hennan Province[C]// Proceedings of the 1999 International Symposium on Mining Science and Technology,29-31 August l999,Beijing,China.
[11]蘇現波,湯友誼,盛建海.河南省煤層氣開發工藝初探[J].焦作工學院學報,l998,17(6):406-408.
SU Xianbo,TANG Youyi,SHENG Jianhai.On three proposals of the coalbed methane development in Henan Province[J].Journal of Jiaozuo Institute of Technology:Natural Science Edition,1998,l7(6):406-408.
[12]蘇現波,陳江峰,孫俊民,等.煤層氣地質學與勘探開發[M].北京:科學出版社,2001:192-194.
SU Xianbo,CHEN Jiangfeng,SUN Junmin,et al.Coalbed gas geology and exploration[M].Beijing:Science Press,2001:192-194.
[13]馬耕,鞏春生.虛擬儲層抽采瓦斯技術探討[J].煤礦安全,2009,40(5):94-95.
MA Geng,GONG Chunsheng.Probing into gas drainage technology by virtual reservoir[J].Safety in Coal Mines,2009,40(5):94-95.
[14]吳奇,胥云,劉玉章,等.美國頁巖氣體積改造技術現狀及對我國的啟示[J].石油鉆采工藝,2011,33(2):1-7.
WU Ji,XU Yun,LIU Yuzhang,et al.The current situation of stimulated reservoir volume for shale in U.S.and its inspiration to China[J].Oil Drilling&Production Technology,2011,33(2):1-7.
[15]MAYERHOFER M J,LOLON E P,WARPINSKI N R,et al.What is stimulated rock volume[C]//paper 119890 presented at the SPE Shale Gas Production Conference,16-18 November 2008.Fort Worth,Texas,USA.New York:SPE,2008.
[16]張廣清,陳勉,趙艷波.新井定向射孔轉向壓裂裂縫起裂與延伸機理研究[J].石油學報,2008,29(1):116-119.
ZHANG Guangqing,CHEN Mian,ZHAO Yanbo.Study on initiation and propagation mechanism of fractures in oriented perforation of new wells[J].Acta Petrolei Sinica,2008,29(1):116-119.
[17]HOEK E,BROWN E T.Practical estimates of rock mass strength[J].International Journal of Rock Mechanics and Mining Sciences,1997,34(8):1165-1186.
[18]HOEK E.實用巖石工程技術[M].劉豐收,崔志芳,王學潮,等,譯.鄭州:黃河水利出版社,2002.
HOEK E.Practical rock engineering[M].LIU Fengshou,CUI Zhifang,WANG Xuechao,et al,trans.Zhengzhou:Yellow River Water Resources Press,2002.
[19]鄧華鋒,李建林,劉杰,等.考慮裂隙水壓力的巖體壓剪裂紋擴展規律研究[J].巖土力學,2011,32(增刊l):297-302.
DENG Huafeng,LI Jianlin,LIU Jie,et al.Research on propagation of compression shear fracture in rocks considering fissure water pressure[J].Rock and Soil Mechanics,2011,32(S1):297-302.
[20]黃達,黃潤秋.卸荷條件下裂隙巖體變形破壞及裂紋擴展演化的物理模型試驗[J].巖石力學與工程學報,2010,29(3):502-512.
HUANG Da,HUANG Runqiu.Physical model test on deformation failure and crack propagation evolvement of fissured rocks under unloading[J].Chinese Journal of Rock Mechanics and Engineering,2010,29(3):502-512.
[21]黃達.大型地下洞室開挖圍巖卸荷變形機理及其穩定性研究[D].成都:成都理工大學,2007.
HUANG Da.Study on unloading deformation mechanism and stability of excavating surrounding rock mass of large underground caverns[D]Chengdu:Chengdu University of Technology,2007.
[22]趙磊.重復壓裂技術[M].東營:中國石油大學出版社,2008.
ZHAO Lei.Refracturing technology[M].Dongying:China University of Petroleum Press,2008.
[23]中國航空研究院.應力強度因子手冊[M].北京:科學出版社,l981:426-428.
Chinese Aeronautical Research Institute.Manual of stress intensity factor[M].Beijing:Science Press,1981:426-428.
[24]劉洪,易俊,李文華,等.重復壓裂氣井三維誘導應力場數模型[J].石油鉆采工藝,2004,26(2):57-61.
LIU Hong,YI Jun,LI Wenhua,et al.Mathematical model of 3D induced stress field in refracturing gas well[J].Oil Drilling&Production Technology,2004,26(2):57-61.
[25]劉立峰,張士誠.通過改變近井地應力場實現頁巖儲層縫網壓裂[J].石油鉆采工藝,2011,33(4):71-74.
LIU Lifeng.ZHANG Shicheng.Net fracturing by changing the surrounding in situ stress in shale reservoirs[J].Oil Drilling&Production Technology,2011,33(4):71-74.
[26]鐘森,任山,黃禹忠,等.高速通道壓裂技術在國外的研究與應用[J].中外能源,2012,17(6):39-42.
ZHONG Sen,REN Shan,HUANG Yuzhong,et al.Research and application of channel fracturing technique inforeign oil and gas fields[J].Sino-Global Energy,2012,17(6):39-42.
[27]SOLIMAN M Y,AUGUSTINE J.Fracturing designaimed at enhancing fracture complexity[C]//SPE EUROPEC/EAGE Annual Conference and Exhibition.14-17 June 2010,Barcelona,Spain.New York:SPE,2010.
[28]EMMANUEL D,MATT G,MATT M,et al.Openchannel fracturing-A fast track to production[J].Oil-field Review,2011,23(3):4-17.
[29]河南理工大學.煤礦井下鉆孔水力壓裂增透抽采瓦斯工藝:中國,200810230940.4[P].2008-11-18.
Henan Polytechnic University.Gas drainage technology of permeability improvement by downhole hydraulic fracturing underground coal mine:China,200810230940.4[P].2008-11-18.
[30]郭紅玉.基于水力壓裂的煤礦井下瓦斯抽采理論與技術[D].焦作:河南理工大學,2011.
GUO Hongyu.Gas drainage theory and technology in underground coal mine based on hydraulic fracturing[D] Jiaozuo:Henan Polytechnic University,2011.
本文作者:馬耕 蘇現波 藺海曉 郭紅玉 陶云奇 劉曉
作者單位:河南煤業化工集團有限責任公司
河南理工大學能源科學與技術學院
您可以選擇一種方式贊助本站

支付寶轉賬贊助

微信轉賬贊助
