摘 要:總結供熱系統中需要設置旁通管的位置,對設置旁通管的目的、旁通管的作用、管徑確定等問題進行了探討。
關鍵詞:供熱系統; 旁通管; 設計
Design of Bypass Pipe for Heating System
Abstract:The positions where bypass pipe should be installed in heating system are summarized.The purpose of installing bypass pipe,the function of by-pass pipe,determination of pipe diameter and other issues are discussed.
Keywords:heating system;bypass pipe;design
1 鍋爐旁通管
在熱水鍋爐房系統中,在鍋爐的進出水母管之間一般設置一條旁通管道(見圖l)。鍋爐旁通管有以下兩種作用,分別計算確定鍋爐旁通管管徑后,選取較大的管徑。

①作用1
在熱網投運前,用于管道清洗。在管道清洗前,打開鍋爐旁通管上的旁通閥(蝶閥或球閥),關閉鍋爐進出水管道上的閥門,從而將鍋爐房從供熱系統中隔離出來,使得用于清洗管道的循環水經鍋爐旁通管回到熱網中循環清洗管道。此時,鍋爐旁通管的管徑應通過計算確定,使旁通管(含旁通閥)的阻力約等于單臺鍋爐的阻力。
②作用2
供熱系統運行中,旁通無法通過鍋爐的多余流量。實際上,鍋爐本體能通過的循環水流量上限范圍為鍋爐設計流量的80%~l20%。若循環水實際流量大于鍋爐設計流量的120%,則多余的流量無法通過鍋爐,需要設置旁通管通過多余流量。
供熱系統實際運行時,易出現小溫差大流量的情況。雖然從節能的角度應盡量避免這樣情況的發生,但受到種種條件的制約,往往無法提高供回水溫差,這就必須利用鍋爐旁通管通過多余流量。
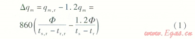
旁通管的管徑需要經過計算確定,若設計供、回水溫度為ts、tr,設計質量流量為qm,實際供、回水溫度為ts,r、tr,r實際質量流量為qm,r,設計供暖熱負荷為F,則通過旁通管的多余質量流量Dqm計算式為:

式中Dqm——通過旁通管的多余質量流量,t/h
qm,r——實際質量流量,t/h
qm——設計質量流量,t/h
F——設計供暖熱負荷,MW
ts,r、tr,r——實際供、回水溫度,℃
ts、tr——設計供、回水溫度,℃
某鍋爐房安裝4臺熱水鍋爐,單臺熱功率為70MW,設計供、回水溫度為l30、70℃,單臺鍋爐的額定質量流量為1003t/h。4臺鍋爐可以通過的最大質量流量為設計流量的l20%,即4814t/h。若實際供、回水溫度為100、60℃,則實際運行流量為6020t/h,通過旁通管的多余質量流量為1206t/h。根據多余質量流量選擇旁通管的管徑,應使旁通管(含旁通流量調節閥)的阻力約等于單臺鍋爐的阻力。旁通管應安裝流量調節閥,流量調節閥可選取截止型、蝶型流量調節閥等,截止型流量調節閥的調節精度優于蝶型流量調節閥。受國內生產工藝水平限制,截止型流量調節閥最大規格為DN 450mm,當旁通管規格大于DN 450mm時,只能選擇蝶型流量調節閥,但流量調節精度將大大降低。因此,當旁通管的規格過大,且要求調節精度較高時,需要并聯安裝兩個或多個截止型流量調節閥組。
2 循環泵旁通管
①防止水擊的循環泵旁通管
在鍋爐房、中繼泵站、熱力站的循環泵進出口之間安裝旁通管,是為了防止突然停電造成水擊,避免循環泵損壞。在旁通管上安裝緩開緩閉式止回閥,將水擊的影響降至最低。防止水擊的循環泵旁通管的設置見圖2。當正常運行時,循環泵出水母管壓力p1大于循環泵進水母管壓力p2,由于旁通管上安裝了止回閥,出水母管中的水不會回流到進水母管中。當突然停電時,循環泵停止工作,循環泵出水母管壓力p1瞬間降低,進水母管壓力p2將瞬間升高,這時p2>p1,止回閥打開,使水通過旁通管,避免形成水擊。

對于鍋爐房,GB 50041—2008《鍋爐房設計規范》規定,旁通管的截面積不小于母管的50%。對于中繼泵站,CJJ 34—2010《城鎮供熱管網設計規范》規定,旁通管宜與母管等徑。對于熱力站,相關標準規范未進行明確規定,建議選擇與母管等徑的旁通管。
②定壓旁通管
當熱源與熱用戶之間高差較大時,往往采用旁通管定壓方式,以適當降低管網運行壓力[1],定壓旁通管管徑的計算方法見文獻[2]。定壓旁通管與防止水擊的循環泵旁通管雖然位置均位于循環泵進出口之間,但作用不同,不能互相代替。旁通管定壓系統見圖3。旁通管定壓方式的優勢在于通過調節壓力調節閥可使得供回水壓線在原有基礎上整體下移,有利于熱網安全運行[1,3]。

3 分布式變頻泵系統中的旁通均壓管
隨著我國供熱行業節能意識的不斷增強,分布式變頻泵系統在供熱領域的應用越來越廣泛。分布式變頻泵系統的熱源循環泵只需要克服熱源內部阻力,大大減小了熱源循環泵的能耗。分布式變頻泵承擔熱用戶(熱力站)的流量,克服熱用戶及管網阻力。與傳統動力集中式系統相比,降低了近端熱用戶節流富裕壓頭造成的能量損失。因此,理論上分布式變頻泵系統沒有多余的能耗,比傳統動力集中式系統節能。分布式變頻泵系統見圖4。

均壓旁通管內的壓降為0,即均壓旁通管內為同一壓力,從而對熱網起到穩壓作用[4]。均壓旁通管所在位置是整個管網的定壓點,在均壓旁通管上安裝有壓力傳感器[5]。當均壓旁通管壓力高于設定壓力時,壓力傳感器將壓力信號傳給控制系統,控制系統打開泄水閥,使系統壓力恢復到正常值。反之,控制系統控制補水泵工作,向系統補水,使系統壓力升高并恢復到正常值。理論上均壓旁通管的規格應為母管規格的3倍,但實際工程中,由于母管較大,均壓旁通管的規格很難達到母管的3倍,但至少應與母管等徑。均壓旁通管高點設置排氣閥,及時排出系統內的不凝性氣體;低點設置泄水閥,停運檢修時排出系統內的水。
4 熱力站一級側旁通管
熱力站一級側供回水母管之間設置旁通管,旁通管上設置閘閥或蝶閥,也可以是球閥,只起關斷作用。旁通管的作用:當一級管網建成后,進行清洗時,為了避免污物進入換熱器,關閉換熱器進出水閥門,打開旁通管上的閥門,使循環水可以循環清洗管道。一般情況下,該旁通管只在管道清洗時使用,管徑不需過大,只需保證旁通管阻力不影響清洗即可。根據經驗,旁通管規格一般取一級管網母管規格的33%~50%。
5 熱網中閥門的旁通管
①閘閥旁通管
CJJ 34—2010規定,工作壓力大于或等于1.6MPa,且公稱直徑大于或等于500mm的管道上的閘閥應安裝旁通閥,旁通閥的直徑可按閘閥直徑的10%選用。
這種做法是為了降低閘閥的開啟力矩:在開啟閘閥前,先開啟旁通管,則閘閥兩側的壓差減小,閘閥的開啟力矩相應減小。目前,對于規格大于DN500mm的供熱管道上的閥門多采用蝶閥,而不是閘閥。但為了減小蝶閥的開啟力矩,同樣推薦安裝旁通管。
②減緩水擊的旁通管
CJJ 34—2010規定,當動態水力分析結果表明,需延長輸送干線分段閥門關閉時間以降低壓力瞬變值時,宜采用主閥并聯旁通閥的方法解決。旁通閥規格可取主閥規格的25%。主閥與旁通閥應連鎖控制,旁通閥必須在開啟狀態下,主閥才能進行關閉操作,主閥關閉后旁通閥才可關閉。
這樣規定是為了延長閥門有效關閉時間,避免發生水擊。至于閥門關閉所必需的時間,需經過專門的動態水力分析,并結合具體管網模型計算后才可確定。
參考文獻:
[1]聶勇.旁通管定壓方式在大高差熱網的應用[J].煤氣與熱力,2014,34(5):A15-A17.
[2]李宏濤,王文軍,蔣建志,等.旁通管定壓在大高差集中供熱系統的應用[J].煤氣與熱力,2012,32(7):A08-A12.
[3]賀平,孫剛,王飛,等.供熱工程[M].4版.北京:中國建筑工業出版社,2009:258-260.
[4]徐軍杰,張連鋼,趙欣剛,等.鍋爐房二級循環泵供熱系統的應用[J].煤氣與熱力,2011,31(2):A01-A03.
[5]王紅霞,石兆玉,李德英.分布式變頻供熱輸配系統的應用研究[J].區域供熱,2005(1):31-38.
本文作者:趙欣剛 張蓉 韓瀟 丁偉
作者單位:中國市政工程華北設計研究總院
您可以選擇一種方式贊助本站

支付寶轉賬贊助

微信轉賬贊助
