摘 要:為研究熱力站供熱量與居住建筑用戶實際熱負荷的關系,建立了供熱系統數學模型,采用Matlab對數學模型編程計算。得到熱力站進出水溫度不變情況下,用戶室內溫度、熱負荷隨室外溫度的變化曲線。
關鍵詞:居住建筑;供熱量;熱負荷;模擬
Simulation of Indoor Temperature and Heat Load in Residential Building
Abstract:In order to study the relationship between the heat supply quantity of substation and the actual heat load of residential buildings,the mathematical model of the heating system is established and calculated by Matlab program.The variation curves of user indoor temperature and heat load with outdoor temperature are obtained under the condition of constant temperature at inlet and outlet of substation.
Keywords:residential building;heat supply quantity;heat load;simulation
隨著城市建設的發展和人們生活水平的提高,在城市總能耗中建筑能耗占比越來越大,而冬季供暖能耗甚至占到建筑總能耗的56%~58%,在能源問題日益突出的今天,節能成為人們日益關注的焦點[1-2]。目前集中供熱系統的供熱量由供熱公司根據室外溫度以及運行經驗確定,熱源的供熱量與用戶熱負荷之間存在不平衡[3]。當住宅小區二級管網形式、建筑類型和供暖面積等參數確定后,在維持室內溫度基本恒定的條件下,影響用戶熱負荷的主要因素是室外溫度。本文建立住宅小區供熱系統的數學模型,研究熱力站一級側進出水溫度不變的情況下,室外溫度變化對用戶室內溫度的影響,并分析設定室內溫度條件下用戶熱負荷。
1 供熱系統的數學模型
1.1 小區供熱系統結構
小區供熱系統結構見圖l。小區供熱系統劃分為3個部分:熱力站、二級管網、用戶。

圖中qm,1,s——熱力站一級側質量流量,kg/s
qm,2,s——熱力站二級側總質量流量,kg/s
qm,1、qm,2、qm,3——用戶1~3質量流量,kg/s
q1,1、q1,2——熱力站一級側進、出水溫度,℃
q2,2、q2,1——熱力站二級側進、出水溫度,℃
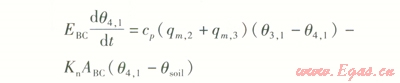
q3,1、q4,1、q5,1——管段AB、BC、CD出水溫度(即用戶1~3進水溫度),℃
qd,1、qd,2、qd,3——用戶1~3出水溫度,℃
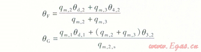
q3,2、q4,2——管段FG、EF出水溫度,℃
1.2 數學模型
①熱力站
忽略換熱器的熱損失,熱力站二級側儲存的熱量為一級側輸入的熱量與二級側輸出的熱量之差。熱力站二級側出水溫度q2,1。可按下式計算:

式中Eex——熱力站二級側儲存的熱量,J/℃
t——時間,s
cp——水的比定壓熱容,J/(kg·K),取4200J/(kg·K)
②管網
管段AB、Bc、cD、EF、FG、GH儲存的熱量為輸入管段的熱量與管道散熱損失之差。各管段出水溫度計算式如下。
管段AB:

式中EAB——管段AB儲存的熱量,J/℃
Kn——埋地管道的傳熱系數,W/(m2·K)
AAB——管段AB的散熱面積,m2
qsoil——土壤溫度,℃
管段BC:

式中EBC——管段BC儲存的熱量,J/℃
ABC——管段BC的散熱面積,m2
管段CD:

式中ECD——管段CD儲存的熱量,J/℃
ACD——管段CD的散熱面積,m2
管段EF:

式中EEF——管段EF儲存的熱量,J/℃
AEF——管段EF的散熱面積,m2
管段FG:

式中EFG——管段FG儲存的熱量,J/℃
qF——節點F熱水溫度,℃
AFG——管段FG的散熱面積,m2
管段GH:

式中EGH——管段GH儲存的熱量,J/℃
qG——節點G熱水溫度,℃
AGH——管段GH的散熱面積,m2
節點F、G熱水溫度的計算式為:

③散熱器
散熱器儲存的熱量為供水管網輸入的熱量與散熱器散熱量之差,散熱器的表面溫度取散熱器進水與出水算術平均值。熱用戶l~3散熱器的出水溫度可按下式計算:

式中Er,1、Er,2、Er,3——用戶1~3散熱器儲存的熱量,J/℃
Kd,1、Kd,2、Kd,3——用戶1~3散熱器散熱系數,W/(m2·K)
Ad,1、Ad,2、Ad,3——用戶1~3散熱器散熱面積,m2
qz,1、qz,2、qz,3——用戶1~3室內溫度,℃
④房間
忽略太陽得熱量、冷風滲透耗熱量等,房間儲存的熱量為散熱器散熱量與圍護結構散熱量之差。用戶1~3房間溫度可按下式計算:

式中Ez,1、Ez,2、Ez,3——用戶1~3房間儲存的熱量,J/℃
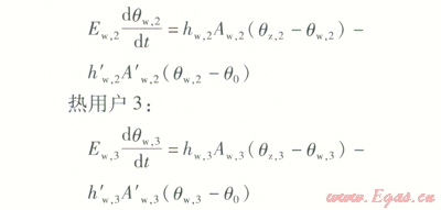
Hw,1、hw,2、hw,3——用戶1~3外墻內表面傳熱系數,W/(m2·K)
Aw,1、Aw,2、Aw,3——用戶1~3外墻內表面積,m2
qw,1、qw,2、qw,3——用戶1~3外墻內表面溫度,℃
Kb,1、Kb,2、Kb,3——用戶1—3外窗的傳熱系數,W/(m2·K)
Ab,1、Ab,2、Ab,3——用戶1~3外窗面積,m2
q0——室外溫度,℃
⑤外墻
忽略外墻內部的溫度變化,即采用集總熱容法建立外墻數學模型,外墻儲存的熱量為外墻內側輸入的熱量與外側輸出的熱量之差。各用戶外墻溫度可按下式計算:


式中Ew,1、Ew,2、Ew,3——用戶1~3外墻儲存的熱量,J/℃
h¢w,1、h¢w,2、h¢w,3——用戶1~3外墻外表面傳熱系數,W/(m2·K)
A¢w,1、A¢w,2、A¢w,3——用戶1~3外墻外表面積,m2
⑥用戶熱負荷
忽略太陽得熱量、冷風滲透耗熱量等,用戶1~3熱負荷近似等于圍護結構基本耗熱量。第i個用戶熱負荷的計算式為:

2 仿真計算與分析
①基礎參數
某小區配置一座熱力站,供熱面積為25920m2,用戶分為3個區域,用戶1~3的供熱面積分別為6480、8640、10800m2。供熱系統參數的計算方法見文獻[4],供熱系統參數見表1。用戶1~3的相關參數見表2,表2中各量符號下標的i表示第i個用戶。采用Matlab/simulink對數學模型進行仿真。


②模擬結果
在熱力站一級側進出水溫度不變的情況下,以t=0h時室外溫度q0為-10℃,用戶l~3初始室內溫度為-7℃,外墻內表面溫度為-9℃作為初始條件。在扛10h時q0從-10℃階躍到-5℃為仿真條件,模擬用戶1~3室內溫度。用戶1~3室內溫度隨室外溫度的變化見圖2。由圖2可知,隨著供熱系統運行,用戶室內溫度逐漸升高,當室外溫度升高5℃時,各用戶的室內溫度出現向上的拐點,并繼續升高。

將用戶1作為研究對象,在熱力站一級側進出水溫度不變的情況下,以t=0h時室外溫度q0為-10℃,用戶1室內溫度為16℃,外墻內表面溫度為-2.5℃作為初始條件。在t=10h時q0從-10℃階躍到-5℃為仿真條件,模擬用戶1熱負荷,見圖3。由圖3可知,當室外溫度升高5℃后,用戶1的熱負荷明顯下降,這是由于式(1)等號右側第2項中的室外溫度由-10℃階躍至-5℃造成的。此后,隨著外墻內表面溫度繼續升高,用戶1的熱負荷逐漸下降。

3 結語
熱力站供熱量與用戶熱負荷之間存在差別,在室外溫度變化的情況下,可采用前饋動態補償器、史密斯預估控制器用于熱力站二級側供水溫度控制,使熱力站供熱量與用戶熱負荷基本一致。
參考文獻:
[1]肖常磊,付林,鄭忠海,等.供暖系統中氣候補償器應用探討[J].暖通空調,2007,37(11):136-140.
[2]劉靖.供熱系統的動態調節[J].建筑熱能通風空調,2000(3):47-48.
[3]王起,梁雅濱,曾理,等.熱計量供熱系統調節方式[J].煤氣與熱力,2003,23(1):33-36.
[4]LI Lianzhong,ZAHEERUDDIN M.A control strategy for energy optimal operation of a district heating system[J].International Journal of Energy Research,2004(28):597-612.
本文作者:張艷玲 宋永明
作者單位:山東建筑大學
山東省郵電規劃設計院有限公司
您可以選擇一種方式贊助本站

支付寶轉賬贊助

微信轉賬贊助
