摘 要:頁巖具有超低基質滲透率及納米尺度的孔喉結構,天然氣在頁巖納米孔隙中的流動不再遵循達西定律,受到較常規儲層更加顯著的滑脫效應影響,研究頁巖納米孔隙氣體流動的滑脫效應,對于指導頁巖氣的壓裂設計、產能預測、氣藏數值模擬等都具有重要的意義。為此,在文獻調研的基礎上,分析對比了目前頁巖中氣體流動的多尺度流動規律,并著重分析了評價滑脫效應對氣體在頁巖中流動的影響規律,以及氣體解吸對于頁巖納米孔隙滑脫效應的影響。結果表明:Klinkenberg方程無法準確地描述頁巖的滑脫效應,孔隙尺寸越小,滑脫效應對于氣體流動影響越大,且頁巖受到滑脫效應影響的壓力范圍更大,這不僅僅局限于低壓范圍內,如果在頁巖氣產能預測與氣藏數值模擬過程中,不考慮滑脫效應將會帶來更大的計算偏差;有機質孔隙表面的氣體吸附、解吸會改變氣體的流動通道,對納米孔隙中氣體滑脫效應存在重要的影響;最后指出,多尺度流動效應和基于孔喉分布的應力—溫度—流動耦合模型是頁巖氣儲層滲流機理的下一步研究方向。
關鍵詞:頁巖氣 納米孔隙 流動規律 滑脫效應 氣體吸附 生產能力 預測 儲集層滲流機理
Slippage effect of shale gas flow in nanoscale pores
Abstract:Gas shale contains a nanoscale pore throat structure with ultra-matrix permeability.Shale gas flow in nanoseale Dores no longer follows the Darcy's Law but is subject to a more significant slippage effect compared to conventional reservoirs.It is great significant in the guidance of shale gas fracturing design,production forecast,numerical simulation to study the slippage effect of shale gas flow in nanoscale pores.On the basis of the literature research,we analyzed and compared the muhisealc flow in gas shales,focusing on the analysis and assessment of the influencing law of the slippage effect on gas flow in shales and the impact of gas desorption on the slippage effect of nanoscale pores in shales.The results showed that:the Klinkenberg equation can not accuratcly describe the shale slippage effect;the smaller the pore size is,the greater the impact of slippage effect on gas flow in shales and the wider the pressure range of shale subject to slippage effect,which is not limited to the low pressure range.If the slippage effect is not considered,there will be a greater calculating deviation in shales gas production forecast and shale gas reservoir sireulation.The gas adsorption and desorption of organic pore surface will change gas flow channel,exerting a significant impact on the slippage effect of gas in nanoscale pores.Finally it is pointed out that the next research on shale gas reservoir percolation mechanism will be the muhiseale flow effect and stress temperature-flow cou.pling model based on pore throat distribution.
Keywords:shale gas,nanoscale pore,flow mechanism,slippage effect,gas adsorption,production,forecast,reservoir percolation mechanism
我國頁巖氣勘探開發具有廣闊的前景[1-2],而體積壓裂技術是頁巖氣成功開發的關鍵技術之一。天然氣存在于微納米孔隙裂隙中,只有實現裂縫網絡的連通和微納米孔隙的有效流動才能實現頁巖氣的有效開采。改造后的裂縫網絡與基質的微納米級滲流通道形成頁巖氣藏復雜的多尺度流動。其中頁巖儲層中納米孔隙的存在,使氣體在頁巖中的滲流機理更加復雜,正確認識氣體在頁巖中的流動機理,對于指導如何形成縫網、壓裂優化、產能預測、數值模擬等有重要的意義。氣體滑脫是頁巖納米孔隙氣體滲流的重要機理,氣體分子相對于納米孔喉的比例,遠大于其相對于常規儲層的比例,滑脫效應更加嚴重,研究納米孔隙氣體滑脫效應對于認識頁巖滲流機理、指導頁巖氣藏開發具有重要意義。
1 頁巖氣儲層的多尺度流動
頁巖儲層中含有豐富的有機質,氣體在頁巖儲層中的儲存形式主要有3種:連通微孔隙裂縫中的游離氣、有機質和黏土表面的吸附氣以及固體有機質中的溶解氣[3-4]。在頁巖基質納米孔隙中,自由氣、吸附氣和溶解氣共同構成了頁巖氣納米孔隙氣體流動物理模型[5]。
頁巖氣藏的體積改造技術的裂縫起裂與擴展不簡單是裂縫的張性破壞,而且還存在剪切、滑移、錯斷等復雜的力學行為,通過體積改造形成的是復雜的網狀裂縫系統[6-7]。網狀裂縫和頁巖納米孔隙共同控制了頁巖氣藏的氣體流動,改造后的人工裂縫網絡由支撐主縫、天然裂縫剪切滑移引起的白支撐裂縫和溝通毛細裂縫組成,裂縫網絡與基質的微納米級滲流通道形成頁巖氣藏復雜的多尺度流動,頁巖的吸附解吸特性,進一步增加了頁巖氣儲層氣體流動的復雜性[8-10]。氣體在頁巖氣藏頁巖氣藏中的流動分為宏觀尺度、中尺度、微米尺度、納米尺度、分子尺度等5個尺度,7℃體在其中的多尺度流動機理為[11]:人工裂縫和井筒之間的壓力差會引起人工裂縫中的氣體流入井筒,人工裂縫中氣體壓力的降低引起微裂縫中的氣體流動。微裂縫中的氣體流動會使基質和微裂縫間產生壓差,基質中氣體開始流動,并使基質壓力降低,在壓力降足夠的情況下,巖石顆粒表面的吸附氣會解吸,流入到裂縫和基質孔隙中,干酪根和黏土顆粒內部的氣體分子則會在擴散作用下發生質量交換。頁巖氣藏所存在的多尺度流動效應使其數學表征變得更加的復雜,其中氣體在基質納米孔隙中的流動是關鍵的問題
2 頁巖納米孔隙的氣體滑脫效應
2.1 頁巖的納米級孔隙結構
對于大部分的頁巖,其孔隙半徑比常規儲層要低得多,圖1-a為Barnett頁巖不同樣品的掃描電鏡圖像,可以看出,頁巖基質主要由黏土礦物(淺灰色物質)和有機質或干酪根組成(深灰色物質),孔隙主要分布在有機質中,且這些孔隙主要是納米孔隙。圖1-b所示為通過壓汞法所測得的一個Barnett頁巖的孔隙大小分布曲線,其主要孔隙半徑分布范圍在10nm以下。2010年,鄒才能等人在中國頁巖儲層發現納米級孔隙[12-13],指出頁巖氣儲層納米級孔隙以有機質內孔、顆粒內孔及白生礦物品間孔為主,孔隙直徑范圍為5~300nm,主體為80~200nm。

一般認為頁巖內83%~87%孔隙度米自納米孔隙的貢獻[16],納米級孔隙是頁巖的主要組成部分,是頁巖的主要儲氣空間。
氣體滑脫指氣體在介質孔道流動中出現的近孔道壁面氣體分子對壁面發生相對運動的現象[17],1941年,Klinkenberg第一次在石油行業中提出了多孔介質的氣體滑脫效應[18],氣藏的大量投入開發使氣體滑脫效應得到了廣泛的關注,學者們進行了滑脫效應機理[19-22]及其對于氣體滲透率[23]、氣藏產能[24-25]等方面影響的研究。
頁巖氣藏中納米孔隙的存在,使氣體滑脫效應更加的顯著,氣體滑脫成為頁巖微觀尺度的重要滲流機理[26-28],頁巖納米孔隙的氣體滑脫機理及其模型表征方法是重要的研究內容。
2.2 納米孔隙中的氣體滑脫效應
經典的流動理論中,流體在多孔介質中的流動時連續性理論成立,流體在孔隙壁面處的流速為零(圖2-a)。常規的儲層孔隙喉道半徑相對較大(通常是在1~100mm),連續性理論成立的,達西方程能夠很好地描述常規儲層中的流體流動規律。

氣體在納米孔隙中的流動特征如圖2-b所示。頁巖孔隙直徑較小,甲烷分子的直徑(0.4nm)對于其流動通道來講相對是比較大的,在分子水平,連續性理論不再成立,分子將在壓差的驅動之下,朝著一個總體的方向,以一個相對隨機的方式運動,許多分子將會與孔隙壁面發生碰撞,并沿著壁面間發生滑脫運動,在宏觀上表現出氣體在孔道壁面具有非零速度。氣體滑脫會貢獻一個附加通量,同不存在滑脫的情況相比,氣體分子在壁面的滑脫會降低氣體的流動壓力差[29]。
Knudsen數是判斷氣體在不同尺度的流動通道內的流動是否存在滑脫效應的無量綱數,代表了分子的平均自由程同孔隙尺寸的相互比例關系,是識別氣體不同流動狀態的重要參數,其數學表達式為[30]:
Kn=l/r (1)
式中l是平均自由程,m;,r是孔隙半徑,nm。
目前國內外的學者廣泛接受的氣體在微孔隙中的流動狀態的分類方式是:黏性流(Kn≤0.001)、滑脫流(0.001<Kn<0.1)、過渡流(0.1<Kn<10)、自由分子流(Kn≥10)[31]。黏性流也就是達西流動;滑脫流指的是分子在孔隙壁面的速度不為零,分子對孔隙壁面的碰撞不能忽略,發生滑脫;Knudsen數大于10時,會出現自由分子流,分子和壁面之間的碰撞是主要的,分子之間的碰撞可以忽略;滑脫流和自由分子流之間存在著過渡流,黏性流理論不再適用,分子與孔隙壁面的碰撞和分子間的碰撞同樣重要,目前過渡流的微觀機理仍然在研究過程中。
假定氣藏溫度為353K,圖3給出了不同的壓力條件下,甲烷氣在不同級別的孔隙中流動時的Knudsen數,圖3中右側給出了不同的流態的界限,可以看出:頁巖納米孔隙中的主要流態是滑脫流和過渡流。

2.3 納米孔隙氣體滑脫效應的表征模型
研究氣體在納米孔隙中的流動規律時,表觀滲透率既能夠直接地表征氣體滑脫對于氣體流動的影響,又能夠與目前的數值模擬器有效地結合,對頁巖的生產規律進行模擬研究。目前的表征模型主要有以下3種。
2.3.1Klinkenberg模型
Klinkenberg發現在低壓力條件下,實驗觀察到的氣體流量高于達西方程的預測值,提出了表觀滲透率隨著壓力的變化式:

其中bk=4clp/r
式中Ka為表觀氣體滲透率,mD;K∞為等效液體滲透率,mD;`p為平均孔隙壓力,MPa;bk為Klinkenberg氣體滑脫因子,MPa;l為給定壓力和溫度下的氣體分子平均自由程;r為孔隙半徑;c≈1。
Klinkenberg方程可以寫為以Knudsen數表征的形式:
Ka=(1+4cKn)K∞ (3)
Klinkenberg模型是表征氣體滑脫效應的經典模型,通過研究獲取,即可建立其表觀滲透率表征模型。
2.3.2 B-K表觀滲透率模型
該模型由Beskok和Karniadakis基于微管模型提出了能夠表征不同流態下的氣體表觀滲透率計算公式[32]:

式中a為無因次稀疏系數;b為微管模型中氣體流動的滑脫系數,通常取-1。
Civan在該模型的基礎上,提出了無因次稀疏系數修正公式[33-34]:

式中:A=0.170,B=0.4348,a0=1.358。
2.3.3 Javadpour表觀滲透率模型
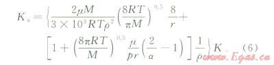
Javadpour考慮Knudsen擴散和滑脫的雙重作用,提出了表觀滲透率計算公式:

式中T為氣藏溫度,K;`r為氣體平均密度,kg/m3;a為切向動量供給系數,其取值在0~1之間,與孔隙壁的光滑程度、氣體類型、溫度和壓力有關,一般需要通過實驗來獲得。
該模型由Knudsen擴散部分和滑脫部分組成,可以看出納米孔隙中表觀滲透率同絕對滲透率之間的關系由氣體的性質、孔喉大小以及壓力溫度等表示,基于該模型,可有效的研究頁巖孔徑、溫度壓力等條件對于其氣體流動規律的影響[35]。
3 滑脫效應對頁巖氣體流動的影響規律
滑脫效應受到分子的平均自由程相對于孔喉半徑大小的控制,氣體的表觀滲透率因此會受到孔隙半徑、壓力、溫度等因素的影響。
圖4為采用3種不同的模型時,Ka/K∞隨著Knudsen數的變化曲線。可以看出:在黏性流階段,表觀滲透率等于絕對滲透率;在滑脫流階段,隨著Knudsen數的增大,逐漸地變大,滑脫的存在使表觀滲透率增加,3種模型在滑脫流階段的計算結果基本趨于一致;當出現過渡流時,3種模型的計算結果出現了較大的偏差,其中Civan模型和Javadpour模型結果較為接近,而Klinkenberg的模型則明顯的小于前兩者,這說明Klinkenber模型不再適用于過渡流階段流動規律的描述,該模型低估了過渡流階段的表觀滲透率。

根據式(6)可知,溫度、壓力、孔隙半徑等因素均對氣體滑脫存在影響,采用Javadpour模型分析以上不同因素對頁巖納米孔隙氣體滑脫的影響程度(圖5)。圖5-a是溫度為353K的條件下,甲烷氣在10nm的孔隙中流動時,表觀滲透率隨著壓力的變化曲線;圖5-b是溫度為353K、壓力5MPa的條件下,甲烷氣在不同半徑的孔隙中流動時,表觀滲透率隨著壓力的變化曲線;圖5-c是壓力為5MPa,甲烷氣在孔隙半徑為10nm的孔隙中流動時,表觀滲透率隨著溫度的變化曲線;圖5-d為壓力為5MPa,溫度為353K,摩爾質量不同的氣體在孔隙半徑為10nm的孔隙中流動時,靜觀滲透率隨著溫度的變化曲線。

通過圖5可以看出:①孔隙直徑大于1nm時,表觀滲透率和絕對滲透率趨于一致,在納米孔隙中,表觀滲透率隨著孔隙直徑的變小而不斷地增大,孔隙直徑越小,表觀滲透率對于孔隙直徑的變化越敏感,滑脫效應越明顯;②壓力對表觀滲透率有著顯著的影響,隨著壓力降低,表觀滲透率不斷地增大,滑脫效應越明顯,對于納米孔隙、滑脫效應的影響不僅僅存在于低壓條件下;③溫度對于納米孔隙的滑脫效應影響很小;④氣體的分子摩爾質量對于滑脫效應具有一定的影響,隨著分子摩爾質量的增大,表觀滲透率減小。
4 氣體吸附對納米孔隙氣體流動的影響
頁巖中含有豐富的具有較強的吸附能力的有機質,通常情況下,吸附狀態天然氣的含量占總含量的20%~85%.一般為50%左右[36]。富有機質頁巖儲層具有非均勻的孔喉分布特征,且納米級孔喉占有較大比重,納米孔喉中,吸附氣所占的空間比例更大,不能忽略其影響,頁巖的吸附特性對于孔隙空間評價[37]、頁巖氣藏儲量計算[38]等方面的影響得到了廣泛的關注,并且也將吸附氣作為供給源引入到了頁巖氣產能預測中[39-40]。
圖6為有機質孔隙壁面氣體吸附的示意圖,自由相的氣體分子會被吸附到孔隙壁面,占據一個吸附位置,隨著溫度和壓力的變化,氣體分子會在自由氣相和吸附氣相之間相互轉化,吸附層的厚度會隨之發生變化,由于滑脫效應也是溫度和壓力敏感的,因此氣體吸附解吸會影響到氣體的滑脫效應。有學者指出,當孔隙直徑小于10nm時,氣體的吸附解吸會嚴重地影響氣體的流動規律[41]。

對于頁巖的氣體吸附,通常采用Langmuir等溫吸附方程來表征,即

氣體分子在孔隙壁面的附著會減小孔隙的半徑,依據式(7),受到氣體吸附影響之后的孔隙半徑計算公式為[42]:

根據達西定律,單毛細管的固有滲誘率表達式為:
K∞=r2/8 (9)
根據式(8),可以計算出不同的壓力下孔隙受到吸附層影響之后的實際有效孔隙半徑,利用有效半徑和實際半徑,再用式(9)可計算出吸附層對其滲透率的影響程度。圖7為不同的壓力和孔隙直徑下,孔隙的固有滲透率同存在吸附層時的滲透率比值,此時假設Langmuir壓力為12.5MPa,這里所計算的滲透率均為等效液體滲透率,也就是不考慮氣體滑脫效應。

考慮氣體滑脫之后,表觀氣體滲透率可以通過式(6)計算,其中的孔隙半徑隨著壓力的變化而變化,結合式(6)、式(8),分別計算不考慮及考慮氣體吸附的表觀滲透率。圖8為直徑為10nm的納米孔隙,不同的壓力之下是否考慮氣體吸附的表觀滲透率變化曲線。圖9為壓力為20MPa時,不同尺寸的納米孔隙是否考慮氣體吸附的表觀滲透率變化曲線。


根據圖7~圖9,氣體吸附層會對納米孔隙的導流性產生重大的影響,在高壓力和小孔隙中,影響更加顯著,這是由于在一定的壓力下,氣體的吸附量是一定的,隨著孔隙直徑的變小,吸附層所占的總的空間的比例越大,流體的流動通道越小,降低了導流能力。雖然孔隙直徑的變小能夠相對的增強氣體的滑脫效應,但是所帶來的表觀滲透率的增加,并不足以彌補孔隙空間變小所帶來的滲透率損失,總體來講,吸附層的存在會降低氣體表觀滲透率。
對于富有機質納米孔隙頁巖,不能簡單地忽略掉吸附層對于氣體流動的影響,在研究頁巖納米孔隙氣體流動的滑脫效應時,應充分地考慮氣體吸附的影響。
根據美國的開發經驗,頁巖氣井的生產壽命通常比較長,部分甚至高達30a,產量年遞減率一般小于5%,許多研究者均認為頁巖氣井穩產期較長的原因與儲集層的吸附氣含量有關[43]。經過分析,由于氣體滑脫存在,頁巖納米孔隙的滲透性隨著壓力降低而有最著的增加,因此納米孔隙的滲流機理同樣足影響頁巖氣井生產特征的關鍵因素,微觀尺度的氣體解吸和納米孔隙中的氣體滑脫共同影響了頁巖氣井的生產衰減規律和最終可采儲量。在這種情況下,如何有效地溝通納米孔隙、降低滲流阻力成為開發頁巖氣的關鍵問題,增大破裂面積,特別是對毛細裂紋的溝通,縮短流動路徑將是頁巖氣高效開發的保證。
納米孔隙的流動規律和氣體吸附解吸規律均對壓力和溫度敏感,同時,頁巖又具有應力敏感性[44-45],因此基于孔喉分布的應力—溫度—流動耦合模型的建立,是頁巖氣藏的關鍵研究方向。
5 認識與建議
1)頁巖氣儲層存在多尺度流動機理,頁巖超低基質滲透率及納米尺度的孔喉結構,使天然氣在其中的流動規律與常規儲層有顯著的不同,氣體滑脫更加顯著,是其微觀尺度重要的流動機理。
2)筆者對Klinkenberg模型、B-K模型和Javadpour模型應用于頁巖納米孔隙,通過分析的對比發現:Klinkenberg方程無法準確地描述頁巖的滑脫效應,B-K模型和Javadpour模型所表征的納米孔隙的氣體表觀滲透率基本相符,Javadpour模型的表觀滲透率表達式基于壓力、溫度和氣體性質,更有利于應用到產能預測和數值模擬中,壓力和孔隙半徑是影響納米孔隙氣體滑脫效應的主要因素,溫度和氣體摩爾質量的影響相對較小。
3)頁巖中含有豐富的具有較強的吸附能力的有機質,筆者建立考慮隨著壓力變化的吸附層變化的表觀滲透率計算模型,研究表明有機質孔隙表面的氣體吸附解吸附會改變氣體的流動通道,對納米孔隙中氣體滑脫效應存在重要的影響。
4)多尺度流動效應和基于孔喉分布的應力—溫度—流動耦合模型應是頁巖氣儲層滲流機理的下一步研究方向。
參考文獻
[1]胡文瑞,鮑敬偉.探索中國式的頁巖氣發展之路[J].天然氣工業,2013,33(1):1-7.
HU Wenrui,BAO Jingwei.To explore the way of Chinese style shale gas development[J].Natural Gas Industry,2013,33(1):1-7.
[2]董大忠,鄒才能,李建忠,等.頁巖氣資源潛力與勘探開發前景[J].地質通報,2011,30(2):324-336.
DONG Dazhong,ZOU Caineng,LI Jianzhong,et al.Resource potential,exploration and development prospect of shale gas in the whole world[J].Geological Bulletin of China,2011,30(2):324-336.
[3]薛會,張金川,劉麗芳,等.天然氣機理類型及其分布[J].地球科學與環境學報,2006,28(2):53-57.
XUE Hui,ZHANG Jinchuan,LIU Lifang,et al.Distribution and mechanic classification of gas[J].Journal of Earch Sciences and Environment,2006,28(2):53-57.
[4]王飛字,賀志勇,孟曉輝,等.頁巖氣賦存形式和初始原地氣量(OGIP)預測技術[J].天然氣地球科學,2011,22(3):501-510.
WANG Feiyu,HE Zhiyong,MENG Xiaohui,et al.Occurrence of shale gas and prediction of original gas in-place(OGIP)[J].Natural Gas Geoscience,2011,22(3):501-510.
[5]SWAMI V,SETTARI A.A pore scale gas flow model for shale gas reservoir[C]// paper l55755。presented at the SPE Amerieas Unconventional Resources Conference.5-7,June 2012,Pittsburgh,Pennsylvania,USA.New York:SPE,2012.
[6]吳奇,胥云,劉玉章,等.美國頁巖氣體積改造技術現狀及對我國的啟示[J].石油鉆采工藝,2011,33(2):1-7.
WU Qi,XU Yun,LIU Yuzhang,et al.The current situation of stimulated reservoir volume for shale in U.S.and its in-spiration to China[J].Oil Drilling&Production Technology,2011,33(2):1-7.
[7]吳奇,胥云,王曉泉,等.非常規油氣藏體積改造技術——內涵、優化設計與實現[J].石油勘探與開發,2012,39(3):352-358.
WU Qi,XU Yun,WANG Xiaoquan,et al.Volume fracturing technology of unconventional reservoirs:Connotation,optimization design and implementation[J].Petroleum Exploration and Development,2012,39(3):352-358.
[8]AKKUTLU I Y,FATHI E.Multiscale gas transport in shales with local kerogen heterogeneities[J].SPE Journal,2012,l7(4):1002-1011.
[9]RAHMANIAN M R,SOLANO N,AGUILERA R.Storage and output flow from shale and tight gas reservoirs[C]// paper 133611 presented at the SPE Western Regional Meeting,27-29 May 2010,Anaheim,California,USA.New York:SPE,2010.
[10]王小瓊,葛洪魁,申潁浩.富有機質頁巖波速各向異性的研究進展[J].特種油氣藏,2013,20(6):1-7.
WANG Xiaoqiong,GE Hongkui,SHEN Yinghao.Progress in organic-rich shale velocity anisotropy[J].Special Oil&Gas Reservoirs,2013,20(6):1-7.
[11]JAVADPOUR F,FISHER D,UNSW()RTH M.Nanoscale gas flow in shale gas sediments[J].Journal of Canadian Petroleum Technology,2007,46(10):55-61.
[12]鄒才能,李建忠,董大忠,等.中國首次在頁巖氣儲集層中發現豐富的納米級孔隙[J].石油勘探與開發,2010,37(5):508-509.
ZOU Caineng,LI Jianzhong,DONG Dazhong,et al.First discovery of nano-pore throat in gas shale in China[J].Petroleum Exploration and Development,2010,37(5):508-509.
[13]鄒才能,朱如凱,白斌,等.中國油氣儲層中納米孔首次發現及其科學價值[J].巖石學報,2011,27(6):1857-1864.
ZOU Caineng,ZHU Rukai,BAI Bin,et al.First discovery of nano pore throat in oil and gas reservoir and its significant value[J].Acta Petrological Sinica,2011,27(6):1857-1864.
[14]WANG F P,REED R M.Pore networks and fluid flow in gas shales[C]//paper l24253 presented at the SPE Annual Technical Conference and Exhibition,4-7 October 2009.New Orleans,Louisiana,USA.New York:SPE,2009.
[15]J SAKHAEE-POUR A,BRYANT S.Gas permeabilitv of shale[J].SPE Reservoir Evaluation&Engineering,2012.15(4):401-409.
[16]崔景偉,鄒才能,朱如凱,等.頁巖孔隙研究新進展[J].地球科學進展,2012,27(12):1319-1325.
CUI Jingwei,ZOU Caineng,ZHU Rukai,et al.New advances in shale porosity research[J].Advances in Earth Sciences,2012,27(12):1319-1325.
[17]BEAR J.Dynamics of fluids in porous media[M].Dover Publications.1988.
[18]KLINKENBERG L.The permeability of porous media to liquids and gases[J].Drilling and Production Practice,1941:200-213.
[19]陳代詢,壬章瑞,高家碧.氣體滑脫現象的綜合特征參數研究[J].天然氣工業,2003,23(4):65-67.
CHEN Daixun,WANG Zhangrui,GAO Jiabi.Integrated characteristic parameter study of the gas slippage phenomenon[J].Natural Gas Industry,2003,23(4):65-67.
[20]羅瑞蘭,程林松,朱華銀,等.研究低滲氣藏氣體滑脫效應需注意的問題[J].天然氣工業,2007,27(4):92-94.
LUO Ruilan,CHENG Linsong,ZHU Huayin,et al.Problems on the study of slippage effect in low-permeability gas resetvoirs[J].Natural Gas Industry,2007,27(4):92-94.
[21]姚約東,李相方,葛家理,等.低滲氣層中氣體滲流克林貝爾效應的實驗研究[J].天然氣工業,2004,24(11):100-102.
YAO Yuedong,LI Xiangfang,GE Jiali,et al.Experimental research for Klinkenberg effect of gas percolation in low permeable gas reservoirs[J].Natural Gas Industry,2004,24(11):100-102.
[22]朱光亞,劉先貴,李樹鐵,等.低滲氣藏氣體滲流滑脫效應影響研究[J].天然氣工業,2007,27(5):44-47.
ZHU Guangya,LIU Xiangui,LI Shutie,et al.A study of slippage effect of gas percolation in low permeability gas pools[J].Natural Gas Industry,2007,27(5):44-47.
[23]李治平,李智峰.頁巖氣納米級孔隙滲流動態特征[J].天然氣工業,2012,32(4):50-53.
LI Zhiping,LI Zhifeng.Dynamic characteristics of shale gas flow in nanoscale pores[J].Natural Gas Industry,2012,32(4):50-53.
[24]張烈輝,梁斌,劉啟國,等.考慮滑脫效應的低滲低壓氣藏的氣井產能方程[J].天然氣工業,2009,29(1):76-78.
ZHANG Liehui,LIANG Bin,LIU Qiguo,et al.A new deliverability equation considering slippage effect for gas reservoirs with low permeability and low pressure[J].Natural Gas Industry,2009,29(1):76-78.
[25]朱維耀,宋洪慶,何東博,等.含水低滲氣藏低速非達西滲流數學模型及產能方程研究[J].天然氣地球科學,2008,19(5):685-689.
ZHU Weiyao,SONG Hongqing,HE Dongbo,et al.Low-velocity non-Darcy gas seepage model and productivity equations of low-permeability water-bearing gas reservoirs[J].Natural Gas Geoscience,2008,19(5):685-689.
[26]SWAMI V,CLARKSON C R,SETTARI A.Non Darcy flow in shale nanopores:Do we have a final answer[C]//paper l62665 presented at the SPE Canadian Unconven tional Resources Conference.30 October-1 November 2012,Calgary,Alberta,Canada.New York:SPE.2012.
[27]于榮澤,卞亞南,張曉偉,等.頁巖儲層流動機制綜述[J].科技導報,2012,30(24):75-79.
YU Rongze,BIAN Yanan,ZHANG Xiaowei,et al.A review of flow mechanisms in shale gas reservoir[J].Science&Technology Review,2012,30(24):75-79.
[28]姚同玉,黃延章,李繼山.頁巖氣在超低滲介質中的滲流行為[J].力學學報,2012,44(6):990-995.
YAO Tongyu,HUANG Yanzhang,LI Jishan.Flow regime for shale gas in extra low permeability porous media[J].Chinese Journal of Theoretical and Applied Mechanics,2012,44(6):990-995.
[29]ARKILIC E B,SCHMIDT M A,BREUER K S.Gaseous slip flow in long microchannels[J].Journal of Microelec tromechanical Systems,1997,6(2):167-178.
[30]CIVAN F,RAI C S,SONDERGELD C H.Shale gas permeability and diffusivity inferred by improved formulation of relevant retention and transport mechanisms[J].Transport in Porous Media,2011,86(3):925-944.
[31]SAMPATH K,KEIGHIN C W.Factors affecting gas slippage in tight sandstones of Cretaceous age in the Uinta Basin[J].Journal of Petroleum Technology,1982,34(11):2715-2720.
[32]BESKOK A,KARNIADAKIS G E.A model for flows in channels,pipes,and ducts at micro and nano scales[J].Microscale Thermophysical Engineering,1999,3(1):43-77.
[33]ZIARANI A S,AGUIl.ERA R.Knudsen’s permeability correction for tight porous media[J].Transport in Porous Media,2012,91(1):239-260.
[34]CIVAN F.Effective correlation of apparent gas permeability in tight porous media[J].Transport in Porous Media,2010,82(2):375-384.
[35]王瑞,張寧生,劉曉娟,等.考慮吸附和擴散的頁巖視滲透率及其與溫度、壓力之關系[J].西安石油大學學報:自然科學版,2013,28(2):49-53.
WANG Rui,ZHANG Ningsheng,LIU Xiaojuan,et al.Apparent permeability of shale considering the adsorption and diffusion of gas and the effects of temperature and pressure on it[J].Journal of Xi,an Shiyou University:Natural Science Edition,2013,28(2):49-53.
[36]CURTIS J B.Fractured shale gas systems[J].AAPG Bulletin,2002,86(11):1921-1938.
[37]CUI X,BUSTIN A,BUSTIN R M.Measurements of gas permeability and diffusivity of tight reservoir rocks:Different approaches and their applications[J].Geofluids,2009,9(3):208-223.
[38]AMBROSE R J,HARTMAN R C,DIAZ CAMPOS M,et al.Shale gas in-place calculations.Part-1:New pore-scale considerations[J].SPE Journal,2012,17(1):219-229.
[39]李建秋,曹建紅,段永剛,等.頁巖氣井滲流機理及產能遞減分析[J].天然氣勘探與開發,2011,34(2):34-37.
LI Jianqiu,CAO Jianhong,DUAN Yonggang,et al.Seep-age mechanism and productivity decline of shale-gas well[J].Natural Gas Exploration and Development,2011,34(2):34-37.
[40]段永剛,魏明強,李建秋,等.頁巖氣藏滲流機理及壓裂井產能評價[J].重慶大學學報,2011,34(4):62-66.
DUAN Yonggang,WEI Mingqiang,LI Jianqiu,et al.Shale gas seepage mechanism and fractured wells’production evaluation[J].Journal of Chongqing University:Natural Science Edition,2011,34(4):62-66.
[41]郭為,熊偉,高樹生,等.頁巖納米級孔隙氣體流動特征[J].石油鉆采工藝,2012,34(6):57-60.
GUO Wei,XIONG Wei,GAO Shusheng.Gas flow characteristics in shales nanopores[J].Oil Drilling&Production Technology,2012,34(6):57-60.
[42]XIONG X,DEVEG OWDA D,VILLAZON G G M,et al.A fully coupled free and adsorptive phase transport model for shale gas reservoirs including non-Darcy flow effects[C]//paper 159758 presented at the SPE Annual Technical Conference and Exhibition.8-10 October 2012,San Antonio,Texas,USA.New York:SPE,2012.
[43]李新景,胡素云,程克明.北美裂縫性頁巖氣勘探開發的啟示[J].石油勘探與開發,2007,34(4):392-400.
LI Xinjing,HU Suyun,CHENG Keming.Suggestions from the development of fractured shale gas in North America[J].Petroleum Exploration and Development,2007,34(4):392-400.
[44]何金鋼,康毅力,游利軍,等.礦物成分和微結構對泥質巖儲層應力敏感性的影響[J].天然氣地球科學,2012,23(1):129-134.
HE Jingang,KANG Yili,YOU Lijun.Effects of mineral cornposition and microstrueture on stress sensitivity of rnudrocks[J].Natural Gas Geoscience,2012,23(1):129-134.
[45]龍鵬宇,張金川,唐玄,等.泥頁巖裂縫發育特征及其對頁巖氣勘探和開發的影響[J].天然氣地球科學,2011,22(3):525-532.
LONG Pengyu,ZHANG Jinchuan,TANG Xuan,et al.Feature of muddy shale fissure and its effect for shale gas exploration and development rJ].Natural Gas Geoscienee,2011,22(3):525-532.
本文作者:葛洪魁 申潁浩 宋巖 王小瓊 姜呈馥 史鵬 王暉 楊柳
作者單位:中國石油大學(北京)非常規天然氣研究院
陜西延長石油(集團)有限責任公司研究院
您可以選擇一種方式贊助本站

支付寶轉賬贊助

微信轉賬贊助
