摘 要:查明碳酸溶液與伊利石礦物(煤層主要黏土礦物之一)的反應特征,能夠為煤層氣井注CO2提高采收率(ECBM)工藝泵注參數優化及儲層物性變化分析提供理論依據。為此,以沁水盆地潞安礦區余吾、常村礦煤樣為例,測試了煤樣中黏土礦物的含量:,進行了25℃、35℃,45℃條件下,單一伊利石礦物與不同酸度碳酸溶液的反應實驗;應用分光光度計、X射線衍射儀、能譜儀測試分析了反應液中Si、Al元素含量和反應前后伊利石結構與元素變化的情況,得出了Si元素溶出的反應動力學模型,并求取了Si元素溶出的表觀活化能。實驗結果表明:①當溶液pH值和反應時間相同時,Si元素的溶出量隨溫度的升高而增大,而Al元素的溶出量變化卻很小;②當溶液pH值和溫度相同時,隨反應時間增加,Si元素含量呈先增加后減小的趨勢,并有一定的振蕩,且溫度越高,Si元素達到溶出最大值的時間越短,而Al元素溶出速率較快,迅速達到溶出平衡;@Si元素的溶出符合擴散控制的界面反應模型,pH值越低,Si元素越易于溶出,表觀活化能越小;④由于碳酸酸性較弱,伊利石與其反應后,晶體結構未發生明顯的破壞。
關鍵詞:伊利石 碳酸 硅元素 鋁元素 溶解 反應動力學 CO2泵注。界面反應模型 表觀活化能
Dissolution kinetics of Si/Al elements of illites in carbonic acid solutions
Abstract:The characteristics of reaction between illites(one of the major clay minerals in coal seams)and carbonic acid solution can provide aheoretlcal basis for optimizing the CO2 injection parameters of enhanced-CBM-recovery wells and analyzing the variations oi coal reservoir quality,Taking the coal samples from Yuwu and Changcun Mines in the Lu¢an Mining Area of the Qinshui Basin as examples,we tested the content of clay minerals,performed experiments on reactions between illites and carbonic acid solution with dlfferent acidities at 25,35 and 45℃ respectively.Moreover,we also analyzed the content of Si and Al elements in the reaction solutlon and the changes In the structure and elements of illites before and after the reaction by applying spectr。ph。tometer,X-ray diffraction,energY dispersive,built a kinetic model for the Si element dissolved in the reaction solution,and obtained the apparent activatlon energy of the dissolution of Si under different pH conditions.The following conclusions were obtained.(1)When the DH values and reaction stages are the same,the dissolution rate of Si element increases along with the increase of temperatures,while that of Al changes insignificantly.(2)When the pH values and temperatures are the same,the Si content in the reaction solution increases frist and then decreases with the reaction time,and shows solne oscillation.Moreover,the higher the reaction temt)erature,the less tlme needed tor the 5i efemem to reach the maximum dissolution rate.In contrast,the dissolution rate of Al is relatively large and the dissolution balance can be achieved rapidly.(3)The dissolution of Si is in accordance with the diffusion-controlled interface reaction model.The lower the PH is the easier the dissolution of Si and the smaller the apparent activation energy of Si will be.(4)As the acidity of carbonic acid is weak,the crystalline structure of illites shows no significant damages after its reaction with the carbonic acid solution.
Keywords:illite,carbonic acid,silicon,aluminum elements,dissolution,reaction kinetics,pump injection of CO2,interface reaction model,apparent activation energy
1 研究簡況
為利于煤層中甲烷氣體的產出,人們提出了向煤 層注入CO2以提高煤層氣采收率(ECBM)的技術[1-8]。以往的研究更多集中在CO2與CH4在相同條件下煤對其吸附的差異性及吸附解吸引起的煤基質膨脹/收縮效應方面,對礦物在碳酸溶液中溶解規律的研究相對較少。我國煤層中常見的礦物有黏土礦物、石英、碳酸鹽礦物和黃鐵礦。以方解石為主的碳酸鹽礦物在煤中主要呈充填裂隙狀產出,有時也充填于植物細胞腔中;石英是煤中的主要礦物,常常表現為棱角或半棱角狀充填在煤的孔隙之中;黏土礦物是大多數煤層中的主要礦物,其中以高嶺石、伊利石和蒙脫石為主,主要呈微粒狀、團塊狀、透鏡狀和薄層狀產出,大多分布在基質鏡質體中或者與鏡屑體和粗粒體等緊密共生,有時也充填絲質體、半絲質體和結構鏡質體的胞腔[9]。這些主要黏土礦物的存在,使得煤層中注入的CO2可能會與之發生反應,從而影響煤儲層的導流能力,進而影響煤層氣的產出效果。
目前,沁水盆地東南部的潞安礦區是傘國煤層氣開發的熱點區域之一。部分井正在進行注CO2現場試驗,為了解煤中主要黏土礦物含量,通過采集潞安礦區余吾礦和常村礦煤樣,應用x射線衍射進行了黏土礦物相對含量測試,結果見表1。

從表l中可看出,伊利石礦物含量比較高。伊利石是由兩個硅氧四面體和一個鋁氧八面體組成的硅酸鹽礦物[10],一般情況下,伊利石礦物在儲層中主要以速敏的形式對儲層造成損害[11];同時,伊利石易脫落,造成微粒分散運移,酸敏感性增強,易對儲層造成傷害[12-16]。因此,查明伊利石在碳酸溶液中的溶解規律,對注二氧化碳時泵注參數的選擇有一定的指導意義。目前關于碳酸與伊利石反應的基本特征和變化規律的研究甚少。筆者初步研究了碳酸與伊利石礦物的反應特征,分析了伊利石中si、Al元素在碳酸溶液中的溶出規律,研究成果能夠為注CO2減少儲層傷害和提高采收率提供一定的理論依據。
2 實驗方案
2.1 樣品制備
實驗所用伊利石為樣品粒徑均小于100目的單一礦物,使用X射線衍射儀對實驗樣品進行標定,純度大于95%。
2.2 實驗過程
配制pH值分別為4.3、5.0、6.3的碳酸溶液,使用精密天平稱取質量為2.0000g的伊利石礦物,將礦物放入惰性的塑料反應瓶中,按照1:15固/液比(g/mL)加入不同pH值的碳酸溶液,輕微搖晃后密封,放入恒溫箱中,模擬現場儲層溫度,把反應溫度分別設置為25℃、35℃和45℃,反應不同的時間后(1h、4h、9h、24h、48h、72h、96h、120h、144h),將E清液過濾,對濾液中的Si、Al元素含量進行測試。測試方法分別為鉬酸比色法和鉻天青比色法[17],測試儀器為上海佑科721型分光光度計,使用D8ADVANCE型X射線衍射儀測試分析與碳酸反應前后伊利石礦物晶體結構的變化。
3 實驗結果分析
3.1 實驗后液相成分的變化
3.1.1實驗結果
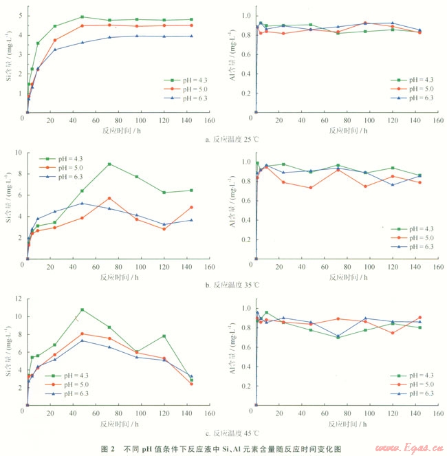
不同溫度、不同碳酸溶液pH值條件下,伊利石與碳酸溶液反應不同時間后,反應液中Si、Al元素濃度變化測試結果見圖l、2。可以看出,伊利石中的Si、Al元素在碳酸溶液中的溶出具有以下特征。


3.1.1.1反應溫度對溶出量的影響
當反應液的pH值和反應時間相同時,Si元素的溶出量隨溫度的升高而增大;Al元素的溶出量隨溫度的變化波動很小。
3.1.1.2反應液pH值對溶出量的影響
當反應溫度和反應時間相同時,Si元素的溶出量隨著碳酸溶液pH值的增大而減小;碳酸溶液pH值的變化,對Al元素的溶出影響很小。
3.1.1.3反應時間對溶出量的影響
當反應液的pH值相同時,Si元素的溶出量呈現出先增加后減小的趨勢。溫度越高,Si元素溶解達到最大值的時間越短。溫度為25℃時,反應液中Si元素的含量先迅速增加,然后趨于穩定,在96h時達到最大值;溫度為35℃時,反應液中Si元素的含量在72h時達到最大值;45℃時,反應液中si元素的含量在48h達到最大值。反應液中si元素含量達到一定量后會減小,這是產生硅酸鹽沉淀的結果[11]。45℃時反應液中的硅元素含量最先達到最大值然后沉淀析出,說明溫度越高,Si元素的溶出越快。隨著反應液中A1元素含量的增大,會生成Al(OH)3沉淀。與si元素相比,Al達到溶解平衡所需要的時間短,在碳酸溶液中,伊利石中的Al元素比si元素更容易溶出。
3.1.2Si元素溶解動力學研究
根據伊利石Si元素在反應液中的演出實驗,Si元素含量隨反應時間呈現先增加后減小的變化規律。為便于求取Si元素的溶出率,并對Si元素溶出率隨反應時間變化進行固液反應動力學方程的擬合和表觀活化能的計算,把溫度45℃時48h即達到最大值作為臨界點,將反應劃分為Si元素溶出和沉淀兩個不同的階段。
Si元素溶出率定義為:
X(Si)=m/M (1)
式中X(Si)為si元素溶出率;m為si元素溶出質量,g;M為實驗樣品中si元素含量,可以通過樣品質量和si元素質量含量分數得出,g。
目前,礦物在酸液中溶出的固液相反應動力學模型,主要有一一級反應模型、界面反應模型和容積模型[18]。
一級反應模型反應速率方程為:
dM/dt=-KMm[H+]n=-K¢Mm (2)
式中m和n為反應級數;K和K¢為反應速率常數,且m=1,此時積分可得ln(1-X)=K¢t。
界面模型可分為反應控制的界面模型和擴散控制的界面模型。反應控制時,反應速率方程為:
dX/dt=K(3V/r30)(1-X)2/3 (3)
式中V為反應物摩爾體積,r0為礦物粒徑,X為陽離子浸出率。
積分得:1-(1-X)1/3=K¢t
擴散控制時,動力學方程為:
1-3(1-X) 2/3+2(1-X)=K¢t (4)
容積模型假定擴散可以忽略時,反應速率方程可以表示為:
dX/dt=K[H+]m(1-X) n (5)
在酸液大大過量時,[H+]可認為是定值,則dX/dt=K¢(1-X) n。
對si元素溶出率隨反應時間變化進行反應動力學模型擬合,擬合結果見表2。容積模型擬合過程中,反應級數擬合效果不佳。由各模型擬合的相關系數可以看出,擴散控制界面模型擬合的相關系數最高,效果最好。

3.1.3表觀活化能計算
根據擴散控制界面模型擬合得出的不同溫度條件下(25℃、35℃、45℃)反應速率常數,見表3。

應用Arrhenius公式:
K=Aexp(-Ea/RT) (6)
對表3數據作Ink’與T_1關系圖,求出不同pH值條件下碳酸溶液與伊利石反應Si元素溶出的表觀活化能[18-19],見表4。

由表4可以看出,Si元素溶出表觀活化能均小于42kJ/mol,表明反應為擴散控制反應[18]。pH值越低,表觀活化能越小,說明pH值越低,Si越容易溶出。由于碳酸酸性較弱,所以,不同pH值下的表觀活化能差別不大。
3.2 實驗后固相變化分析
3.2.1實驗后元素變化能譜分析
在45℃條件下,伊利石與pH值為4.3的碳酸溶液反應不同時間后,伊利石能譜測試結果見表5,圖3。


從表5和圖3中可以看出,固相礦物質中隨反應時間增加Si、Al元素均呈現出“先減小后增加”的趨勢,但Al元素含量變化較小,si元素含量在48h時最低,在144h時si元素含量升高。這與反應液中si、A1元素含量的變化相一致;固相中Mg、K、Fe、Zr元素含量隨反應時間增加呈現出減小的趨勢,說明Mg、K、Fe元素發生了溶解;固相O元素隨反應時間增加先增加后減小,這可能是由于O元素溶出量小于其他元素溶出量大,導致相對含量增加,在144h時Si元素等沉淀,導致其相對含量降低。
3.2.2實驗前后伊利石結構變化分析
用X射線衍射儀對與pH值為4.3碳酸溶液反應前后的伊利石礦物進行測試,測試結果見圖4。

從圖4中可以看出,與碳酸溶液反應前后,伊利石礦物X射線衍射曲線沒有新峰的生成或舊峰的消失,說明伊利石在碳酸溶液中穩定性較好,與碳酸溶液的反應并不劇烈,內部晶體結構并未發生強烈的破壞。
4 結論
1)反應溫度不同時,反應溫度越高,Si元素的溶出量越大;隨溫度升高,Al元素的溶出量變化不大。溶液pH值和溫度相同時,隨反應時間增加,反應液中Si元素含量先增加后減小,有一定的振蕩。溫度為45℃時,反應中si元素含量在48h時左右達到最大值,溫度為35℃時,反應液中Si元素含量在72h左右達到最大值,溫度為25℃時,Si元素含量在96 h左右達到最大值;Al元素含量隨反應時間增加迅速增加,并趨于穩定。
2)碳酸溶液pH值分別為4.3、5.0、6.3時,溶液pH值越低,Si元素溶出量越大,但差別并不是太大;伊利石中Si元素在碳酸溶液中溶出符合擴散控制的界面反應模型,本研究條件下,碳酸溶液pH值為4.3、5.0、6.3時Si元素溶出的表觀活化能分別為25.67kJ/mol、28.88 kJ/mol、33.78kJ/mol,說明碳酸溶液酸性越強,越易于Si元素的溶出。
3)碳酸酸性較弱,伊利石與碳酸溶液反應后,伊利石晶體結構沒有發生明顯的破壞。
參考文獻
[1]趙金,張遂安,馬東民,等.注二氧化碳提高煤層氣采收率數值模擬[J].油氣田開發,2012,30(1):67-70.
ZHAO Jin,ZHANG Sui¢an,MA Dongmin,et al.Numerical simulation of coalbed methane recovery by carbon dioxide injection[J].Oil and Gas Field Development,2012,30(1):67-70.
[2]吳世躍,郭勇義.注氣開采煤層氣增產機制的研究[J].煤炭學報,2001,26(2):199-203.
WU Shiyue,GUO Yongyi.Study of the mechanism of in creasing production of exploitation coal bed methane by gas injection[J].Journal of China Coal Society,2001,26(2):199-203.
[3]孫可明.煤層氣注氣開采多組分流體擴散模型數值模擬[J].遼寧工程技術大學學報,2005,24(3):305-308.
SUN Keming.The numerical simulation of model and numerical simulation about multi species fluid diffusion and seepage in exploitation coalbed methane by gas inj ection[J].Journal of Liaoning Technical University,2005,24(3):305-308.
[4]鄭愛玲,王新海,江山,等.煤層多元氣體相互作用與替代機理研究方向[J].天然氣地球科學,2004,l5(8):352-354.
ZHENG Ailing,WANG Xinhai,JIANG Shan,et al.The direction of research for interaction and substitute mechanism of m uhi-element gas in coal[J].Natural Gas Geoscience,2004,15(8):352-354.
[5]唐書恒,馬彩霞,葉建平,等.注二氧化碳提高煤層甲烷采收率的實驗模擬[J].中國礦業大學學報,2006,35(5):607-616.
TANG Shuheng,MA Caixia,YE Jianping,et al.A modeling experiment of enhancing coalbed methane recovery by carbon dioxide injection[J].Journal of China University of Mining&Technology,2006,35(5):607-616.
[6]方志明,李小春,白冰.煤巖吸附量—變形—滲透系數同時測量方法研究[J].巖石力學與工程學報,2009,28(9):1828-1833.
FANG Zhiming,LI Xiaochun,BAI Bing.Studv of method for simultaneously measuring adsorption-deformation-permeability of coal[J].Chinese Journal of Rock Mechanics and Engineering,2009,28(9):1828-1833.
[7]王烽,湯達禎,劉洪林,等.利用CO2-ECBM技術在沁水盆地開采煤層氣和埋藏CO2的潛力[J].天然氣工業,2009,29(4):117-l20.
WANG Feng,TANG Dazhen,LIU Honglin,et al.Analysis on the potential of the carbon dioxide-enhanced coalbed methane(CO2-ECBM)recovery in the Qinshui basin[J].Natural Gas Industry,2009,29(4):117-120.
[8]樊建明,郭平,杜建芬,等.C0。氣體非常規儲存方法[J].天然氣工業,2008,28(8):105-107.
FAN Jianming,GUO Ping,DU Jianfen,et al.Researches on unconventional carbon dioxide storage method[J].Natural Gas Industry,2008,28(8):105-107.
[9]韓德馨.中國煤巖學[M].徐州:中國礦業大學出版社,l996.
HAN Dexin.Coal petrology of China[M].Xuzhou:Journal of China University of Mining&Technology Press,1996.
[10]劉新兵.我國若干煤中礦物質的研究[J].中國礦業大學學報,l994,23(2):109-114.
LIU Xinbing.The mineral matter characteristics of some Chinese coals[J].Journal of China University of Mining&Technology,1994,23(2):109-114.
[11]邢希金,唐洪明,趙峰,等.伊利石與土酸/氟硼酸反應實驗研究[J].西南石油大學學報,2007,29(增刊2):29-31.
XING Xijin,TANG Hongming,ZHAO Feng,et.al.Reaction experiment of illite with mud acid and fluorboric[J].Journal of Southwest Petroleum Universitv.2007.29(S2):29-31.
[12]薛小佳,寧志軍,李志忠,等.“酸敏”砂巖儲層的酸化適用性探討[J].天然氣工業,2012,32(6):51-52.
XUE Xiaojia,NING Zhijun,LI Zhizhong,et.al.Adaptability of acidizing to acid sensitive sandstone reservoirs[J].Natural Gas Industry,2012,32(6):51-52.
[13]朱華銀,蔣德生,安來志,等.川兩地區九龍山構造礫巖儲層敏感性實驗分析[J].天然氣工業,2012,32(9):40-43.
ZHU Huayin,JIANG Desheng,AN Laizhi,et al.An experimental analysis of sensitivity of the Jiulongshan conglomerate reservoirs in West Sichuan Basin[J].Natural Gas Industry,2012,32(9):40-43.
[14]岳前升,向興金,范山鷹,等.東方1-1氣田水平井鉆井液技術[J].天然氣工業,2005,25(12):62-64.
YUE Qiansheng,XIANG Xingjin,FAN Shanying,et al.Drilling fluid for horizontal wells in gas field DF1-1[J].Natural Gas Industry,2005,25(12):62-64.
[15]吳學升,陳世軍,李波,等.安塞油田高52井區儲層保護鉆井液研究[J].西安石油大學學報:自然科學版,2012,27(5):67-70.
WU Xuesheng,CHEN Shijun,LI Bo,et al.A driIling liquid for reservoir protection in Gao 52 wellblock of Ansai Oilfield[J].Journal of Xi¢an Shiyou University:Natural Science Edition,2012,27(5):67-70.
[16]王芳,馮勝斌,何濤,等.鄂爾多斯甕地西南部延長組長7致密砂巖伊利石成因初探[J].西安石油大學學報:自然科學版,2012,27(4):19-22,29.
WANG Fang,FENG Shengbin,HE Tao,et al.Study on origin of illite in Chang 7 tight sandstone of Yanchang Formation in the southwest of Ordos Basin[J].Journal of Xi¢an Shiyou University:Natural Science Edition,2012,27(4):19-22,29.
[17]苗峰,周守奎,劉曉,等.復合驅替劑體系反應液中硅、鋁元素濃度的測定[J].西南石油學院學報,2004,26(6):50-54.
MIAO Feng,ZHOU Shoukui,LIU Xiao,et al.Measurement on concentration of silicon and aluminum in reacting solution of combination flooding system[J].Journal of Southwest Petroleum Institute,2004,26(6):50-54.
[18]徐澤民,黃潤秋,唐正光.硅酸鹽礦物溶解動力學及其對滑坡研究的意義[J].巖石力學與工程學報,2005,24(9):1480-1491.
XU Zemin,HUANG Runqiu,TANG Zhengguang.Sili cate mineral dissolution kinetics and the significance of research on landslide[J].Chinese Journal of Rock Mechanics and Engineerin9,2005,24(9):1480-1491.
[19]張有學.地球化學動力學[M].北京:高等教育出版社,2010.
ZHANG Youxue.Geochemical kinetics[M].Beijing:Higher Education Press,2010
本文作者:倪小明 于蕓蕓 王延斌 高莎莎
作者單位:河南理工大學能源科學與工程學院
河南省瓦斯地質與瓦斯治理重點實驗室
中國礦業大學地球科學與測繪工程學院
您可以選擇一種方式贊助本站

支付寶轉賬贊助

微信轉賬贊助
