摘 要:針對塌陷區沉降對直埋熱水供熱管道的影響,對塌陷斷裂帶直埋熱水供熱管道進行受力分析及穩定性判定條件分析。推導塌陷區允許沉降量的計算式,對接近或達到允許沉降量時的安全措施進行了探討。
關鍵詞:塌陷斷裂帶 沉降 直埋熱水供熱管道 穩定性 安全措施
Stability and Safety Measures of Buried Heat-supply Pipeline in Subsidence Area
Abstract:Aimed at the effect of settlement in subsidence area on buried hot-water heat-supply pipeline,the stress analysis and stability judgment analysisof buried hot-water heat-supply pipeline in subsidence rupture zone are performed.The calculation formula of allowable settlement in subsidence area is dedueed.The safety measures taken when approaching and reaching the allowable settlement are discussed.
Key words:subsidence rupture zone;settlement;buried hot-water heat-supply pipeline;stability;safety measures
1 概述
河南省平頂山煤業集團的一礦、三礦、四礦、五礦、六礦、七礦、九礦、十一礦等礦井,距坑口電廠最遠也只有9km,特別是九礦與坑口電廠僅一墻之隔。在這片礦井密集區域內,地下大面積被采空。煤炭行業把地下采過煤的區域稱為采空區。地下被采空,采空區上方的地面會逐步或突然沉降,采空區上方的區域稱為塌陷區。根據采煤厚度、采空區距地面的深度、采空區上方地質構造等情況,很難準確預測塌陷區的塌陷時間或塌陷速度。若為這些礦井供熱,部分直埋供熱管道必然通過處于沉降過程中的塌陷區。在管道由非塌陷區進入塌陷區(或由塌陷區進入非塌陷區)的過程中,塌陷斷裂帶兩側地面可能會逐步或突然形成落差[1]。因此,研究塌陷區沉降對塌陷斷裂帶直埋供熱管道的影響,具有十分重要的意義。本文對塌陷斷裂帶直埋熱水供熱管道(以下簡稱管道)穩定性判定與安全措施進行探討。
2 穩定性判定
在正常情況下,管道自重(包括供熱介質重量)加上部土壤重量等于管道下部土壤的支撐力,無論是有補償管道還是無補償管道,管道不會出現彎曲變形。然而,當塌陷區發生沉降時,由于管道的連續性,塌陷斷裂帶的塌陷區一側部分管段將發生彎曲變形(見圖l),并出現懸空現象,使得管道上部出現均布荷載,直至彎曲變形終止。當塌陷區發生沉降時發生彎曲變形管段的受力分析見圖l。

圖中h——塌陷區地面沉降量,m
L——點A(塌陷斷裂帶所在位置)至點B(彎曲變形終止位置)的距離,m
M——點B處的彎矩,N·m
¦——彎曲變形管道承受的均布荷載,N/m
發生彎曲變形管段AB承受的均布荷載廠的計算式為:
¦=¦1+¦2 (1)
¦2=rgDchs (2)
式中¦1——單位長度管道的自重(包括供熱介質的重量),N/m
¦2——單位長度管道上方土壤重量,N/m
r——土壤密度,kg/m3
g——重力加速度,m/s2
Dc——預制直埋保溫管外殼的外直徑,m
hs——設計管頂覆土深度,m
點B處彎矩M的計算式為:、
式中E——鋼材的彈性模量,Pa
I——管段形心慣性矩,m4
Dout——鋼管的外直徑,m
Din——鋼管的內直徑,m
點A至點B距離L的計算式為:
點A處管道截面承受彎曲應力sA的計算式為:
式中sA——點A處管道截面承受的彎曲應力,Pa
忽略由熱脹冷縮產生的二次應力,彎曲變形管段的穩定性判別式為:
式中sdf——彎曲應力及由內壓產生的一次應力的當量應力,Pa
sny——內壓產生的一次應力,Pa
p——管道設計壓力,Pa
sall——鋼材在計算溫度下的基本許用應力,Pa
式(7)可作為當塌陷區地面出現沉降時,判定發生彎曲變形管段是否穩定的判別式,也可作為計算塌陷區允許沉降量的計算式。
3 允許沉降量計算
由式(7)可得到塌陷區允許沉降量hall的計算式為:
分別計算塌陷區為農田、道路情況下的允許沉降量。農田下土壤密度按1000kg/m3計算,路面下土壤密度按l450kg/m3計算。由于管道周圍及上部的砂可向懸空區流動,因此管道上部砂層的高度不計入覆土深度。砂層以上的覆土深度按0.5m計算,預制直埋保溫管的高密度聚乙烯外殼外直徑比鋼管外直徑大0.15m。
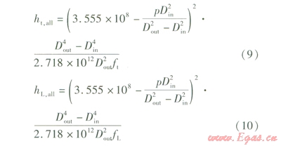
當計算溫度為l30℃時,Q2351、Q2358鋼材的彈性模量E為2×1011Pa,許用應力sall為ll8.5×106Pa。將以上已知數據代入式(8),可得農田、道路塌陷區允許沉降量ht,all、hL,all,的計算式分別為:
式中ht,all——農田塌陷區允許沉降量,m
¦t——農田塌陷區發生彎曲變形管段承受的均布荷載,N/m
hL,all——道路塌陷區允許沉降量,m
¦L——道路塌陷區發生彎曲變形管段承受的均布荷載,N/m
塌陷區為農田時,發生彎曲變形管段承受的均布荷載.廠的計算式為:
¦t=500g(Dout+0.15)+250gpD2in+3900gpDout(Dout-Din) (11)
塌陷區為道路時,發生彎曲變形管段承受的均布荷載¦L的計算式為:
¦L=725g(Dout+0.15)+250gpD2in+3900gpDout(Dout-Din) (12)
由式(9)~(12)可計算得到,不同規格管道在設計壓力分別為1.6、2.5MPa下,農田、道路塌陷區的允許沉降量(見表l)。

4 安全措施
由式(7)可知,當Din、Dout、p、E、sall一定時,提高發生彎曲變形管段穩定性的安全措施是減輕勻布荷載。由式(1)、(2)可知,勻布荷載與管頂覆土深度、土壤密度有關。CJJ/T 81-98《城鎮直埋供熱管道工程技術規程》對覆土深度有要求,不得隨意減小覆土深度。我們采取的安全措施是將管道周圍及上部的回填砂層適當增厚,一方面可降低土壤密度,另一方面當塌陷區發生沉降時,管道周圍及上部的砂可向懸空管道下部流動,填充懸空區域,以降低管道承受的均布荷載。
當塌陷區接近或達到允許沉降量時,點A處的管道將出現失穩,必須采取安全措施降低當量應力。安全措施的具體方法為:將管段AB上方的覆土挖走,將土壤荷載卸載。再從點A向塌陷斷裂帶非塌陷區一側開挖一段距離到達點C,并將管段翻下部掏空,以緩解管段AB的彎曲變形,以便較好地應對下一次沉降,將管段下部懸空部分填實后回填至沉降后地面高度。在實際操作中我們關心的是如何確定塌陷斷裂帶非塌陷區一側開挖長度。采取安全措施時管段的受力分析見圖2。

式中¦¢——管段CB承受的均布荷載,N/m
L1——塌陷斷裂帶非塌陷區一側開挖長度,m
管段BC被挖開后,點c處管道截面承受的彎曲應力最大,點A處管道截面承受的彎曲應力大幅降低。點C處管道彎曲截面承受彎曲應力聽的計算式為:

式中sC——點C處管道截面承受的彎曲應力,Pa
由式(13)得:

由于采取安全措施前后彎曲管段受力情況類似,將式(5)中¦替換成¦¢,將L替換成L+L1,得到L1,的計算式為:

由式(15)可知,L1越大sC越小,說明塌陷斷裂帶非塌陷區一側開挖長度越長,點C處管道彎曲截面承受的彎曲應力越小,但工程費用將增大。
我們將sC與sall相同確定為采取安全措施的目標經濟值,將式(4)代入式(15),并根據已知參數:E為2×1011Pa,sall為ll8.5×106Pa,可得到塌陷斷裂帶非塌陷區一側經濟開挖長度Le的計算式:
Le=(4.5577×107h2D2out) 0.25-L (16)
式中Le——塌陷斷裂帶非塌陷區一側經濟開挖長度,m
采用前面計算方法,分別計算出農田、道路塌陷區對應的上,并將表1數據代入式(16),可計算得不同規格管道在不同設計壓力下農田、道路塌陷斷裂帶非塌陷區一側經濟開挖長度Le,t、Le,L,見表2。

5 結論
①本文對塌陷區斷裂帶直埋供熱管道的穩定性判定條件僅限于直埋熱水供熱管道,對于鋼套鋼結構的直埋蒸汽供熱管道,穩定性判定式的推導與本文的推導過程基本相同,但直埋蒸汽供熱管道的形心慣性距應為內管與外管疊加在一起的復合慣性距。
②對于塌陷斷裂帶直埋熱水供熱管道,在滿足相關規范規定及校核計算的前提下,宜適當降低管道上部荷載。管道周圍及上部的砂層宜適當增厚,當塌陷區沉降量接近或達到允許沉降量時,應及時采取安全措施,保證塌陷斷裂帶管段的穩定。
參考文獻:
[1]高百爭,張國強,吳偉遜.煤礦塌陷區架空敷設供熱管道安全可靠研究[J].煤氣與熱力,2008,28(12):Al6-Al9.
本文作者:楊儀濤 高百爭 王 進
作者單位:中國平煤神馬集團陽光物業有限公司
中國市政工程華北設計研究總院
您可以選擇一種方式贊助本站

支付寶轉賬贊助

微信轉賬贊助
