摘 要:川渝氣區的部分井因井內壓力大幅度改變,導致水泥環密封完整性失效而發生氣竄,引起環空帶壓。為此,考慮水泥環初始應力狀態及井內壓力變化特點,建立了水泥環力學模型,論述了頁巖氣井管柱試壓和大型體積壓裂、川中高壓氣井固井后大幅度降低鉆井液密度、地下儲氣庫井周期性注采作業等典型工況下水泥環密封完整性可能破壞的形式。研究結果表明:試壓和壓裂可能導致水泥環周向拉伸破壞,形成徑向裂縫;井內壓力大幅度降低,使套管壁處水泥環承受的徑向拉應力超過抗拉強度,破壞界面膠結,形成微環隙;周期性交變載荷可能引起水泥環疲勞破壞。相應的針對性技術對策為:根據后期作業井內壓力變化,選用力學性能匹配的彈性水泥漿或柔性自應力水泥漿;常規套管固井在碰壓后立即進行管柱試壓;固井后井內壓力大幅度下降的井,應用徑向預應力固井技術和封隔器防止氣竄。
關鍵詞:水泥環 完整性 頁巖氣 高壓氣井 地下儲氣庫 彈性水泥 柔性自應力水泥
Negative impacts of borehole pressure change on cement sheath sealing integrity and countermeasures
Abstract:Due to the cement sheath integrity failures by a sharp borehole pressure change,gas channeling easily occurred in some wells of Sichuan and Chongqing oil and gas fields.To this end,considering the initial stress of cement sheath and the characteristics of downhole pressure change,a cement sheath mechanical model was established.And the possible cement sheath integrity failures were also discussed under several typical working conditions,including string pressure test and large fracturing of shale gas wells,Drecipitous decline of drilling fluid density of high pressure gas wells in eastern Sichuan Basin,periodic injection and production of underground gas storage wells.The study results showed that(1)circumferential tensile fracture may occur on cement sheath caused by Dressure test and fracturing,which induces radial cracking;(2)an interface bond may be damaged by a precipitous decline of borehole pressure which makes the radial tensile stress borne by cement sheath at casing exceed tensile strength,inducing microcir culation;and(3)the cement sheath fatigue failure may appear due to a periodic alternating load.Therefore,countermeasures were Dresented as follows:to choose elastic cement or flexible self stressing cement with proper mechanical properties according to borehole pressure change at the later stage;to perform the drill stem test(DST)as soon as the common casing cementing is upon the completion of bump pressure;and to adopt the packer and radial pre-stress cementing technology to prevent gas channeling for such wells with a sharp pressure drop after cementing.
Keywords:cement sheath,integrity,shale gas,high pressure gas well,underground natural gas storage,elastic cement,flexible self stressing cement
水泥環密封完整性是指在油氣井服役期間水泥環保持良好的結構完整性和功能完整性。套管試壓,高壓氣井鉆井液密度大幅度降低,地下儲氣庫注采氣產生的交變壓力,頁巖氣井體積壓裂,都可能導致水泥環密封失效,引起環空帶壓[1-6]。川渝氣區數口頁巖氣井(N209、N210、N203等)在壓裂后,油層套管與技術套管環空帶壓6~24.5MPa;川中地區高壓氣井Æl77.8 mm尾管固井后,下一次開鉆鉆井液密度大幅度降低,造成G2井、M8井、M9井氣竄;相國寺地下儲氣庫運行壓力在11.7~28MPa,長期注采作業中,水泥石受周期性交變壓力容易疲勞破壞。分析井內壓力變化對水泥環密封完整性破壞的原因,并采取針對性措施,對降低環空帶壓風險,保證油氣井安全生產具有重要意義。
1 水泥環應力計算
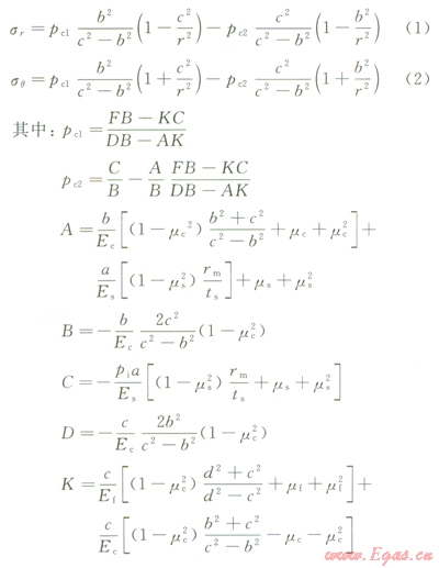
水泥環應力分布及一界面處水泥環位移計算公式:


式中sr、sq分別表示水泥環徑向應力、周向應力,Pa;pc1、pc2分別表示第一、二界面處接觸應力,Pa;pi,、pf分別表示套管內壓力和水平地應力,Pa;Es、Ec、Ef分別表示套管、水泥環、地層巖石楊氏模量,Pa;ms、mc、mf分別表示套管、水泥環、巖石泊松比;a、b、rm、ts、c、d分別表示套管內徑、外徑、內外徑平均值,套管壁厚,井眼直徑、地層邊界距離(7倍套管直徑),m。
水泥環初始應力狀態為:①水泥石體積收縮,則第二界面處接觸應力等于地層孔隙壓力;②水泥石體積不收縮,則第二界面處接觸應力等于平均水平地應力。
2 井內壓力變化影響水泥環密封完整性
2.1 頁巖氣井套管柱試壓及壓裂作業
該作業使作用在井內套管的內壓力大幅度升高。四川盆地頁巖氣井Æl39.7mm油層套管固井后(套管壁厚9.17mm,井眼尺寸215.9mm)對套管柱試壓及壓裂作業,井口壓力高達60MPa。N203井等井固井質量優質率100%,但試壓或光套管壓裂作業后均出現環空帶壓。該區塊水泥石楊氏模量l0GPa,泊松比0.19,其余計算條件及結果如表l所示,由公式(1)和(2),試壓或壓裂作業后,套管壁處水泥環周向應力均超過抗拉強度,發生拉伸破壞,導致水泥環密封失效。

2.2 高壓天然氣井鉆井液密度大幅度降低
川中地區高壓天然氣井因Æl77.8mm尾管固井后,采用較低密度鉆井液替換井內鉆井液鉆開目的層而使作用在井內套管的內壓力大幅度降低。該區塊Æ177.8mm尾管固井時鉆井液密度約為2.20g/cm3,而下一次開鉆鉆進時,鉆井液密度降至1.35g/cm3左右。M8、G2、M9井Æl77.8mm尾管固井,氣層封固質量優良,候凝過程未發生氣竄,但井內壓力大幅度下降后,喇叭口竄氣。該區塊水泥石楊氏模量10GPa,泊松比0.19,其余計算條件及結果如表2所示。以套管壁處水泥環徑向拉應力達到抗拉強度為形成微環隙的臨界條件[7-8],由公式(3),計算出井內壓力下降幅度超過40MPa后,3口井形成寬度l3.09~20.24mm的微環隙,密封能力顯著降低。

2.3 地下儲氣庫井交變載荷
地下儲氣庫井天然氣注入和采出的作業使作用在井內套管的內壓力交替變化。這種交變壓力可能引起水泥石內部固有的微裂紋緩慢擴展、連通,導致水泥石疲勞破壞[9-11]。以井深2107m的儲氣庫井為例,水平地應力30MPa,井徑215.9mm,套管直徑l77.8mm,壁厚11.51mm,運行壓力12~28MPa,水泥石楊氏模量l0GPa,泊松比0.19,根據水泥石疲勞破壞方程[12]計算出交變壓力作用下普通水泥石疲勞破壞周期如表3所示。儲氣庫井注采氣過程中運行壓力越高,普通水泥環越易疲勞破壞。當達到最大運行壓力時,只需數十次注采周期,水泥環即發生疲勞破壞。

3 水泥環長期密封完整性保護技術措施
普通油氣井服役時間超過30a,而儲氣庫服役時間超過50a,水泥環需保持長期密封完整性。基于此,按水泥環密封失效方式,從水泥漿、工藝技術、工具等多方面入手,提出較系統的水泥環密封完整性保護技術。
3.1 水泥石力學性能改善
水泥石力學性能改善是指在保證水泥石常規工程性能滿足施工要求基礎上,降低水泥石楊氏模量,提高抗拉強度,使水泥石具備較好的彈性形變能力,或提高膨脹能力。主要包括彈性水泥漿和柔性自應力水泥漿。
彈性水泥石具備了低楊氏模量、彈性變形能力強的特點,能與套管、井壁協調變形,有效卸載,大幅度降低微裂隙及微環隙形成的可能性。由公式(1)、(2)計算出當井內壓力變化時,為避免水泥環破壞,需將水泥石楊氏模量降至適當范圍(表4)。以斯倫貝謝為代表的典型彈性水泥石,楊氏模量在3.5~5.5GPa,泊松比約為0.22,抗拉強度在2.2~2.5MPa,在儲氣庫得到成功應用,固井質量優質,在經過試壓及下一次開鉆鉆進井內壓力變化后,固井質量依然良好,未出現氣竄。

井下作業公司柔性自應力水泥石能在高圍壓條件下膨脹,產生0.5~3.0MPa膨脹壓應力,楊氏模量在5~7GPa,泊松比約為0.19,抗拉強度在2.5~3.5MPa。當固井后井內壓力增加時,通過釋放壓縮應力,減小水泥環周向拉應力,避免拉伸破壞,同時外觀體積微膨脹,可阻止微環隙形成。由公式(1)、(2)計算出表5所示不同井內壓力變化情況下柔性膨脹水泥石體積膨脹要求。該水泥漿體系在相國寺儲氣庫井技術套管、頁巖氣井的油層套管固井中得到了成功應用,固井質量優質,在經過試壓、大型體積壓裂作業后,環空封固質量好,未發生氣竄。

3.2 工藝技術措施
保證水泥環長期密封完整性的工藝技術措施主要包括了改變試壓工藝和采用徑向預應力固井技術。該項技術在四川的長寧、金秋、富順區塊的數十口頁巖氣井固井中得到應用。
為防止試壓對水泥石的破壞作用,常規套管固井可在碰壓后繼續增壓完成套管試壓。試壓值應為原設計壓力與管內外靜壓差之和,但最高壓力不應超過套管柱抗內壓強度的80%,同時也應保證水泥頭、管線、附件在安全工作壓力范圍內。
徑向預應力固井技術是指固井施工時通過增大管內外壓差,使套管預壓縮,具備較強回彈變形能力,提高界面膠結質量,防止微環隙產生的一種固井工藝。針對直徑在127.0~196.8mm套管固井,根據水泥環位移公式(3)計算,采用徑向預應力固井時,若固井漏失風險小,建議管內外負壓差增至10~30MPa,同時環空憋壓5~10MPa候凝,不僅可有效補償25~60m的微環隙,且可在井壁形成致密濾餅,阻止氣竄。
3.3 封隔器阻止氣竄
對于氣層活躍,后期作業井內壓力變化較大,氣竄風險高的井,建議采用封隔器阻止氣竄,消除水泥環密封完整性破壞后帶來的井控風險。川中地區高壓氣井應用Æ177.8mm封隔式尾管懸掛器固井20余井次,成功解決了該區塊喇叭口竄氣問題。相國寺儲氣庫井在技術套管底部及儲層頂部安放裸眼封隔器。
4 結論與建議
1)套管柱試壓及增產作業使水泥石承受較大周向拉應力,形成徑向微裂隙,造成密封失效;井內壓力大幅度降低后,套管壁處水泥環承受的徑向拉應力超過抗拉強度,可能形成微環隙;儲氣庫井注采氣引起的交變載荷變化幅度越大,水泥石越易疲勞破壞。
2)為保證水泥環密封完整性,建議采取以下措施:根據固井后井內壓力變化,選用力學性能匹配的彈性水泥漿或柔性自應力水泥漿;套管固井在碰壓后立即進行管柱試壓;對固井后井內壓力大幅度下降的井,應用徑向預應力固井技術和封隔器防止氣竄。
參考文獻
[1]REDDY B R,SANTRA A,MCMECHAN D,et al.Cement mechanical property measurements under wellbore conditions[C]//paper 95921 presented at the SPE Annual Technical Conference and Exhibition,12 October 2005,Dallas,Texas,USA.New York:SPE,2005.
[2]郭辛陽,步玉環,李娟,等.同井封固系統初始作用力及影響[J].中國石油大學學報:自然科學版,2011,35(3):79-83.
GUO Xinyang,BU Yuhuan,LI Juan,et al.Initial forces on cementing isolation system and its effect on isolation system[J].Journal of China University of Petroleum:Natural Science Edition,2011,35(3):79-83.
[3]NABIPOUR A,JOODI B,SARMADIVALEH M.Finite element simulation of down hole stresses in deep gas wells cements[C]//paper l32156 MS presented at the SPE Deep Gas Conference and Exhibition,24-26 Januarv 2010,Manama,Bahrain.New York:SPE,2010.
[4]BOUKHELIFA L,MORONIN,JAMES S G,et al.Evaluation of cement systems for oil and gas well zonal isolation in a full scale annular geometry[J].SPE Drilling&Cornpletion,2005,20(1):44-53.
[5]滕學清,劉洋,楊成新,等.多功能防竄水泥漿體系研究與應用[J].西南石油大學學報:自然科學版,2011,33(6):151-154.
TENG Xueqing,IAU Yang,YANG Chengxin,et al.Study and application of muhifunction gas stop cement slurry[J].Journal of Southwest Petroleum Universitv:Science&Technology Edition,2011,33(6):151-154.
[6]GARSIDE R,PATTIl.LOP D,PATTILLO D,et al.special issues in the stress analysis of casing strings in steamin jection wells:Mathematical development and design[C]//paper l05930-MS presented at the SPE/IADC Drilling Conference,20-22 February 2007,Amsterdam,the Nether lands.New York:SPE,2007.
[7]GRAY K E,PODNOS E,BECKER E.Finite-element studies of near wellbore region during cementing operations:Part 1[J].SPE Drilling and Completion,2009,24(1):127-136.
[8]楊振杰,朱海濤,王嘉淮,等.天然氣井套間氣竄自修復技術[J].天然氣工業,2012,32(10):55-58.
YANG Zhenjie,ZHU Haitao,WANG Jiahuai,et al.on self-healing technology for gas channeling in the cemcnted annulus[J].Natural Gas Industry,2012,32(10):55-58.
[9]劉問,徐世烺,李慶華.幅疲勞荷載作用下超高韌性水泥基復合材料彎曲疲勞壽命試驗研究[J].建筑結構學報,2012,33(1):119-127.
LIU Wen,XU Shilang,LI Qinghua.Study on flexural fatigue life of ultra high mughness cementitious composites under constant amplitude cyclic loading[J].Architecture Engineering Journal,2012,33(1):119-127.
[10]MATSUMOTO T,SUTHIWARAPIRAK P.KANDA T.Mechanisms of multiple cracking and fracture of DFRCCS under fatigue flexure[J].Journal of Advanced Concrete Technology,2003,1(3):299-306.
[11]OH Byung-Hwan.Fatigue life distributions of concrete for various stress levels[J].ACI Materials Journal,1991,88(2):191-198.
[12]易成,謝和平,孫華飛.鋼纖維混凝土疲勞斷裂性能與工程應用[M].北京:科學出版社,2003:59-65.
YI Cheng,XIE Heping,SUN Huafei.Fatigue and fracture properties of steel fiber reinforced concrete and their application[M].Beijing:Science Press,2003:59-65.
本文作者:劉洋 嚴海兵 余鑫 馮予淇 范偉華
作者單位:中國石油川慶鉆探工程公司井下作業公司
您可以選擇一種方式贊助本站

支付寶轉賬贊助

微信轉賬贊助
