摘 要:本文根據我國天然氣流量計量儀表的現狀,分析了傳統孔板流量計和渦輪流量計的特點及存在問題,通過理論分析及實踐的討論,提出了采用標準噴嘴流量計計量天然氣流量的方案,介紹制定《用標準噴嘴流量計測量天然氣流量》國家標準的有關情況,為我國天然氣流量計量提出了新的思路。
關鍵詞:標準 天然氣流量計量 一體化噴嘴流量計 寬量程 定值節流件
1 問題的提出
隨著我國西氣東輸一、二、三期的建設及境外天然氣輸氣管線建設的推進,我國天然氣用量不斷增長,輸氣管網日趨擴大、不同類型的配套流量計需求增加;終端用戶有工礦企業、商業及民用用戶,情況十分復雜,需求多種多樣。如此量大面廣的用戶,流量計的選型就顯得特別重要,不僅要考慮儀表計量準確度等技術要求,還要考慮儀表的維護與校驗的工作量及成本。據國際儀表權威機構綜合分析,天然氣輸氣管線流量儀表應為3大主力儀表:孔板流量計,渦輪流量計和氣體超聲流量計。理論分析和實踐證明,這3種儀表各項性能指標各有優劣,由于氣體超聲波流量計多用于輸氣門站的大流量計量,其用量相對較少,不在此討論。本文僅對孔板流量計和渦輪流量汁儀表性能指標比較,根據GB/Tl 8603—2001《天然氣計量系統技術要求》,提出天然氣流量計量儀表若干選型原則,結合我國國情,向天然氣工業用戶、城市燃氣網中的商業用戶,推薦采用具有檢定周期長(4年)、維護量小、測量范圍寬的新型標準噴嘴流量計測量天然氣流量,與此同時推進相關國家標準的制定工作。
2 歷史的回顧
長期以來,孔板流量計為天然氣輸氣管線上的主要流量計,20世紀70年代后,渦輪流量計成為僅次于孔板流量計的主力儀表,只是在本世紀初,氣體超聲流量計才在國際上推廣??装?、渦輪流量計標準、規范已經成熟,而氣體超聲流量計的國際標準尚在擬議中。由此可見,我國天然氣流量計量應該選用孔板和渦輪作為主要儀表。
孔板流量計在天然氣流量測量中的應用已有一百多年歷史,可以不夸張地說,正是天然氣流量測量才使孔板流量計達到今天的技術成熟,標準、規范豐富,奠定了作為第一大類流量計的地位。20世紀70年代以前,孔板流量計己發展為標準型流量計,其特點有三:(1)結構形式和技術要求標準化;(2)標準給出節流件的流出系數和可膨脹性系數及計算公式;(3)現場影響量的試驗廣泛深入,是國際上通用的。正是借助這些特點引出兩大使用特性:(1)節流件無須實流校準,可根據節流件結構形狀及技術要求以及流體特性求得流量與信號的關系及其測量不確定度;(2)流量計投剛現場后,如果使用條件偏離標準規定,可利用影響量試驗研究資料進行修正(或補償)。,孔板流量計作為標準節流裝置第一品種,其標準規范在ISO5 167:2003(E)及AGAN03(HNSl/APl2530)中詳細列舉,在全部流量計中,它的標準及規范是最豐富、最完善的,目前其它已有國際標準的流量計,如渦輪、電磁、渦街、質量等都沒有上述3個特點,因此,亦不具有兩大使用特性。近年(20世紀90年代后),由于電子技術、計算機技術、新材料、新工藝的突破性進展,新型流量計(渦輪、渦街、電磁、超聲、質量)有長足發展,在市場激烈競爭中,標準節流式流量計市場份額有所下降,此類流量計的缺點成為人們評價重點,如:測量準確度不高、范圍度窄、壓損大、安裝條件苛刻、故障多等等,使標準節流式流量計似有被邊緣化危機。針對上述缺點,技術工作者經過長期的改進與創新,并借助二次儀表(差壓變送器和流量計算機)的突破性進展,使全套標準節流式流量計性能煥然一新,準確度可以滿足《天然氣計量系統技術要求》GB/Tl 8603—2001 A級(1.0)和《用能單位能源計量器具配備和管理通則》GBl7167—2006天然氣(2.0)的規定,范圍度達6:1~15:1或更寬;結構創新為一體化,消除安裝瓶頸,故障大幅下降;壓損大可考慮除孑L板外的噴嘴或文丘里管等節流件,己有業內人士建議應重新審視此類流量計,給予其正確的評價。
在美國和歐洲渦輪流量計是僅次于孔板流量計占第二位的天然氣流量計,渦輪流量計的主要特點為:高準確度,一般為±1%R~±l.5%R,特殊專用的為±0.5%R~±l.0%R;高重復性,短期重復性可達±0.05%~±0.2%,正是由于良好的重復性,若經常校準或在線校準,可獲得高準確度。范同度寬,中大口徑10:1~40:1,小口徑5:1~6:1。結構緊湊輕巧,安裝維護方便,流通能力大。應該指出,上述優良特性只在實驗室參比工作條件下方能維持。在現場渦輪流量計是一種易受現場影響量干擾的流量討,現場影響量主要為兩項:流動特性和流體物性。流體流動特性影響主要是流體受管道配件(阻流件)干擾而引起的速度分布畸變和渦流等,其它為非定常流于擾(脈動流等)。流體物性又分為流體物性(物理性質)和流體性狀,流體物性主要影響因素為密度和粘度,對于天然氣應特別注意密度的變化,密度影響在低流量區域較大,若密度低(壓力下降),下限流量升高,亦即范圍度變窄,線性度變差。在常壓空氣中校準的渦輪流量計應通過相關公式進行換算。流體性狀指腐蝕、積垢、臟污、凍結、相變、混相等,它會改變管道壁粗糙度,流通面積,渦輪葉片及通道狀況,流量計特性隨之改變,不再維持實驗室校準的特性,給流量計的正常工作帶來惡劣影響,一般應增設過濾器,周期檢查及校準等才能正常工作。應該指出我國天然氣流量計量儀表數量十分龐大,需要定期檢定的儀表以數十萬臺計,而我國天然氣實流標準裝置每年僅可標定千余臺的儀表,遠不能滿足實際需求。因此,保證每臺儀表的正常校準是一個現實又迫切的問題。
由上述孔板流量計和渦輪流量計的簡述中我們可發現它們有以下一些差別。
(1)孔板流量計具有流量儀表標準節流件的3項特征,因此,其結構及應用是全世界通用的。渦輪流量計不是標準檢測件,產品性能隨企業而異,由此孔板流量計的兩大使用特性渦輪流量計并不具備。渦輪流量計必須逐臺校準以得到儀表系數,現場影響量的修正,孔板流量計可采用全世界流量界積累的豐富資料,而渦輪流量計只能依靠個別企業指導文件進行,兩者的差別不可同日而語。
(2)孔板流量計在測量準確度、范同度、結構設計、安裝等方面已有突破性進展,可以滿足GB/T1 8603—2001和GBl7167—2006等國家法定規定的要求。因渦輪流量計的儀表特性是在有條件場所才能保證,一般而言,在輸配氣(門)站配備專用設備和專業人員來滿足其要求,而普通用戶不具備這些條件,定期的維護和檢定亦存在實際網難。
3 噴嘴流量計
3.1 噴嘴流量計的優勢
在節流式流量計使用巾一般總是優先選用孔板流量計,其實,在一個時期內,孔板流量計成為了標準節流裝置的代表,其它標準節流件如:ISAl932噴嘴(以下簡稱噴嘴)、文丘里管等未引起足夠的重視(早期噴嘴類的產品受到了加工工藝的限制),使其特有的優勢沒有得到充分發揮。因此,我們更應重視噴嘴流量計的應用。它具有孔板流量計的優點,但又因噴嘴為廓形節流件,無尖銳棱角,結構形狀耐高流速沖擊與磨損,故其流量特性能保持長期穩定,無孔板銳緣鈍化之虞,因而檢定周期長(4年),且壓損小。所以,噴嘴應是LLTL板更優越的節流件。
近年來,標準噴嘴流量計在其它領域(蒸汽和通用氣體計量)得到廣泛的應用,其工藝與結構更為成熟,同時也積累豐富的使用經驗。因此,國家標準化委員會已于2012年批準制定《用標準噴嘴流量計測量天然氣流量》國家標準,計劃號為20121951-T-515。該標準將參考《用標準孔板流量計測量天然氣流量》GB/T21446—2008等現行的同家標準,針對標準噴嘴的結構特點,對其制造、檢驗、安裝及使用等做出規定。
3.2 定值噴嘴流量計
噴嘴流量計應用較少的一個重要原因是其廓形加工工藝復雜,一只噴嘴應準備數塊模板,作為保證加工準確度及檢驗用。
為使節流件商品化,多年前,一些專家就提出了定值節流件的創意,所謂定值節流件就是在一個管道公稱口徑下僅制造3種節流孔徑的節流件(b=0.4、0.5、0.6),這樣定值噴嘴如同標準機械零件一樣,可以形成批量生產,不僅易于保證加工精度,降低成本,也便于計量管理和計量監督。
還有一個值得重視的問題,就是目前使用的大量的孔板及噴嘴,其直管段長度不滿足標準要求,而且在10D范圍內,同心度、不圓度、粗糙度也不滿足標準要求,引起較大的附加誤差,因此,帶上經過精細加工的直管段是很有必要的。
3.3 不確定度分析
采用噴嘴流量計計量天然氣,其計量的不確定度是多少?這是大家關心的問題。確定流量測量不確定度可在天然氣實流標準裝置實標,由于我國這類裝置很少,難以滿足大量檢定的需求,所以,不在重點考慮之列。現對以下兩種方案做一介紹。
方案l:
按GB/T2624—2006.3計算噴嘴的流出系數及可膨脹系數,按GB/T21446—2008(或SY/T6143—2004)計算天然氣的密度,其不確定度為

現分析各項誤差
(1)

若節流孔徑比b≤0.6則該項的不確定應為0.8%
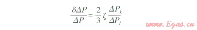
(2)

按GB/T2624—2006中噴嘴的計算公式其不確定度為

若要使

只需

這是很容易做到的,例如壓力(絕壓)為0.2MPa,只需保證存最大流量下,差壓值小于l0000Pa即可。
(3)管徑及開孔徑所帶來的不確定度,可以通過精確測量,使其降至可忽略程度。
(4)

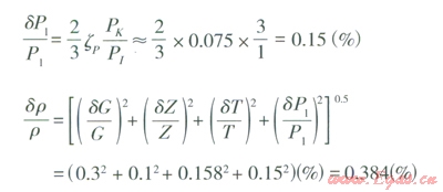
根據GB/T21446—2008,提供的換算公式,將變送器的滿度誤差換算為示值誤差

式中:
z:變送器精度等級
DPk:變送器量程
DPk:差壓示值
例如:變送器精度等級為0.075(即誤差為0.075%),差壓測量范圍為l:36,則:

(5)

根據GB/T21446—2008

式中:

天然氣相對密度測量不確定度為0.3%

壓縮系數不確定度,按GB/Gl7747.2—1999計算,其值為0.1%

設t南-20℃到80℃,溫度變送器量程為-20℃~100℃,精度等級0.5
根據GB/T21 446—2008


設壓力變化范圍為l:3,根據GB/T21446—2008

存差測量范圍為l:36條件下.天然氣流量測量不確定度為

就是說:用一臺差壓變送器,量程范圍1:36,則流量量程范圍為l:6時,流量系統不確定度等級達到1.5級。若用兩臺差壓變送器,則可使流量量程范圍達l:36。
方案2:
在水標準裝置上標定出噴嘴的流出系數,而可膨脹系數按GB/T2624—2006計算。
現逐項分析誤差的大小
(1)

若水系統不確定度等級為0.1級,則該項的不確定應為0.3%。
(2)其余各項不確定度與方案1相同
在差壓測量范圍為l:36條件下,天然氣流量測量不確定度為

就是說,用水系統標定出流出系數,則流量測量范圍為1:6時,流量不確定度等級為1級,若用兩臺差壓變送器,流量測量范圍為1:36。
4 結論
從以上分析可得出結論,在嚴格按照標準加工、安裝、使用的基礎上,引入定值節流件和必要的技術(寬測量范罔運算,變送器數字通訊等)手段,噴嘴流量計完全可以滿足天然氣流量計量包括準確度在內各項技術要求,由于這種儀表的結構牢同、檢定周期長,在減少維護量的同時,大大減少運行成本;具有較好的技術經濟指標,有理由認為它可以作為計量天然氣流量的重點選型儀表之一。這不僅已是專業人員的共識,也將成為廣大用戶的共識。
參考文獻
1GB/T 21446—2008用標準孔板流量計測量天然氣流量
2GB/T 2624—2006用安裝在允滿流體的圖形截面管道中的差壓裝置測量流量
3GB/T l7747—1999天然氣壓縮因子的計算
4GB/T 18603—2001天然氣計量系統技術要求
本文作者:周國祥 孫淮清
作者單位:北京博思達新世紀測控技術有限公司
重慶自動化儀表研究所
您可以選擇一種方式贊助本站

支付寶轉賬贊助

微信轉賬贊助
