摘 要:地層孔隙度參數的準確求取是油氣勘探中儲層預測、儲層描述、儲量估算和油氣藏綜合研究的一項關鍵性技術,而運用常規方法對孔隙度進行計算存在精度不高、物理意義不明確等問題。為此,從巖石物理的基本理論和巖石物理測試數據出發,在合理的假設前提下,以Gassmann方程和Eshelby-Walsh方程為基礎,推導和建立了利用高信噪比地震資料進行疊前彈性參數反演來計算地層巖石孔隙度的數學模型。選取實際資料的應用結果表明:①利用新模型可以提高碳酸鹽巖儲層孔隙度精確度約l0%;②能夠有效地計算預測地層孔隙度的縱橫向展布,且符合地質、鉆井認識規律;③利用地震資料疊前彈性參數反演獲得的橫波速度和體積密度剖面縱向分辨率較縱波速度剖面高,在此基礎上開展的孔隙度計算能夠提高孔隙度剖面的縱向分辨率。該數學模型提供的孔隙度數據為后期的鉆井部署、儲量估計、油氣藏描述等研究提供了技術支撐。
關鍵詞:孔隙度 彈性參數反演 Gassmann方程 Eshelby-Walsh方程 縱波,,橫波 密度 壓縮系數
Porosity estimation based on petrophysical model and prestack elastic inversion
Abstract:Accurate estimation of porosity is critical to reservoir prediction,reservoir characterization,reserves estimation,and comprehensive study of oil/gas reservoirs.However,conventional porosity estimation methods have the shortages of low accuracy and am biguity of physical meanings.Based on the basic theories of petrophysics and geophysical test data and rational assumptions,a mathematlcal model was deduced and established by using the C-assmann and Eshelby-Walsh equations.This model can be used to calculate rock porosity through pre-stack elastic inversion of seismic data with high signal to-noise ratios.Application of this new model to real data shows that it can improve the accuracy of carbonate reservoir porosity estimation by about l0%,and effectively predict the vertical and horizontal distribution of porosity.The vertical resolutions of S-wave veloeity and bulk density prefiles are higher than those of P-wave velocity profile,and the porosity calculation based on this can improve the vertical resolutions of porosity profile.The porosity data provided by this mathematical model are helpful for drilling planning,reserve estimation and reservoir characterization.
Key words:porosity,elastic parameter inversion,Gassmann equation,Eshelby walsh equation,P-wave,S-wave,density,compressibility
地層孔隙度參數的準確求取是油氣勘探、儲層計算、儲層描述、儲量估算和油氣藏綜合研究的一項關鍵性技術。自20世紀60年代以來,發展了一系列的孔隙度計算方法。孔隙度的獲取方法歸納起來主要有測井資料解釋、實驗室測定、基于地震資料和鉆井資料相結合的孔隙度計算方法。實驗室測定孔隙度精度高,但是受采集樣本數量的限制。測井解釋的孔隙度在縱向上有高精度、連續性的特點,但橫向上通常采用隨機模擬、克里金插值等數學方法計算,誤差大[1-2]。隨著地震資料采集和處理的不斷完善、進步以及計算機處理能力的提高,將地震資料與鉆井資料相結合進行孔隙度橫向計算,綜合利用了地震資料的橫向連續性和測井資料縱向分辨率高的特點,主要方法有以Wyllie時間平均方程為基礎的地震速度求取孔隙度方法、利用孔隙度與聲波速度線性回歸關系求取孔隙度地方法、建立地震屬性與各井孔隙度的多元線性關系和非線性關系計算孔隙度、巖石物理與多屬性相結合求取孔隙度的方法、基于地震相分析的孔隙度計算等[3-13]。這些方法的本質都是從統計學的觀點出發,建立各種屬性與孔隙度的線性關系或者非線性關系,然后應用建立的關系式將地震屬性數據映射為孔隙度屬性,計算孔隙度的精確度不穩定,且其物理意義不明確。筆者以Gassmann方程和Eshelby-Walsh方程為基礎,在合理的假設下推導和建立利用疊前彈性參數反演結果計算地層巖石孔隙度的方法,并將其方法應用于實際資料驗證提議方法的有效性。
1 方法理論
取以壓縮系數為參數的Gassmann流體替換方程:

式中bS、bD、bP、`b分別為含流體雙相介質的基質(骨架)壓縮系數、干燥(含空氣)巖石壓縮系數、孔隙內包含流體的壓縮系數和飽含孔隙流體巖石的有效壓縮系數;h為儲層巖石的孔隙度。
考慮到孔隙內流體(油、氣、水)的壓縮系數一般大于巖石基質(骨架)的壓縮系數達到一個數量級以上,可得近似關系式:
bP-bS≈bP (2)
由于碳酸鹽巖的基質壓縮系數比碎屑巖的基質壓縮系數小l00%以上,因此當巖石為碳酸鹽巖時,式(2)描述關系式的近似誤差更小。將式(2)帶入式(1),可得:

將巖石孔隙度表示為含流體雙相介質的基質(骨架)壓縮系數、干燥(含空氣)巖石壓縮系數、孔隙內包含流體的壓縮系數和飽含孔隙流體儲層的有效壓縮系數的函數,即整理式(3)有:

由Eshelby和Walsh提出的干燥巖石橢球包體近似公式[14-15]得:

式中m為干燥巖石橢球包體的結構參數之一;a為另一結構參數,表示橢球孔隙或裂隙的縱橫(或者長短軸)之比。
將式(5)帶入式(4),整理化簡后得:

式中C為模型結構參數,

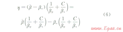
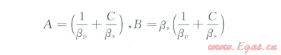
令

進一步簡化為:
h=A`b-B (7)
式(7)表明在流體性質、地質情況等變化不大的情況下,A和/B為常數,即巖石孔隙度與飽含流體巖石的有效壓縮系數呈線性關系。
飽含流體巖石縱波速度(up)、橫波速度(uS)以及體積密度(r)與飽含流體巖石的有效壓縮系數關系為:

式(8)和式(9)中m為巖石的剪切模量,且有干燥巖石和飽含流體巖石的剪切模量相同。
將式(9)帶入式(8)可得:

將式(10)帶入式(7),能夠獲得孔隙度與縱波速度、橫波速度和體積密度的非線性關系:

由測井的飽含流體的縱橫波速度和密度計算獲得口,利用巖石孔隙度與飽含流體巖石的有效壓縮系數之間的線性關系,應用統計回歸方法能夠獲得式(7)和式(11)中的參數A和B。對于整個研究區的孔隙度計算按照以下步驟執行。
1)利用不同沉積相帶測井數據獲得縱橫波速度、密度與孔隙度之間的關系,獲得式(11)中計算不同沉積相帶地層孔隙度的參數A和B。
2)應用疊前彈性參數反演方法對研究區采集的疊前共中心點或者共反射點地震數據進行疊前彈性參數反演,獲得縱波速度、橫波速度和體積密度。
3)將第二步疊前反演獲得的縱波速度、橫波速度和體積密度帶入式(11),獲得整個研究區孔隙度數據體。
2 實例分析
為了驗證提議方法的正確性,將提議方法用于YB地區。該地區儲層屬于碳酸鹽巖礁灘相儲層,儲層埋藏深,總體上孔隙度較小,圍巖與儲層的縱波速度差異小,鉆井和地質資料表明儲層分為上下兩套儲層。工區中1口鉆井的測井曲線如圖l所示。測井曲線從左到右,依次為自然伽馬、縱波速度、橫波速度、體積密度和孔隙度曲線。圖2為實測孔隙度與飽和巖石縱波速度交匯圖。交匯圖的線性回歸分析表明,孔隙度與飽和巖石的縱波速度的相關值平方約為0.73。圖3為孔隙度與飽和巖石的有效壓縮系數交匯圖。實測孔隙度與應用巖石的有效壓縮系數計算的孔隙度相關值平方達到0.85,表明孔隙度與巖石的有效壓縮系數之間有著良好的線性關系。與僅僅利用縱波速度計算孔隙度結果相比較,利用飽和巖石的有效壓縮系數計算的孔隙度精確度提高約12%。



目前,各種地震疊前數據反演的軟件[16]。和疊前反演的方法[17-22]都比較成熟,通過較好的疊前三維地震資料可以較準確地反演出縱波速度、橫波速度和體積密度等彈性參數。圖4為過YBl2井的原始疊后地震剖面。儲層位于圖中標注的層位為下三疊統飛仙關組一段上二疊統長興組之間[23-25]。從剖面上可以看出地層的橫向變化大,分辨率低,信噪比較低等特征。圖5-a、b和c分別為應用疊前同時反演方法獲得的縱波速度、橫波速度和體積密度反演剖面。從圖中可以看出,井旁道反演的數據與測井曲線的相關性較好。從反演數據剖面中可以發現,疊前彈性參數反演獲得橫波速度數據和密度數據剖面的分辨率高于縱波速度數據剖面上的分辨率,為縱向高分辨率的孔隙度計算提供了條件。圖6為應用本方法計算的過YB12井的孔隙度剖面。從圖6中還可以看出,計算孔隙度與實測孔隙度之間的相關性非常高,計算的孔隙度數據的分布范圍也與測井數據相當吻合,并且從孔隙度剖面上能夠將該儲層段分為上下兩套孔隙度發育的儲層,孔隙度計算剖面上展布的橫向規律與地質、鉆井認識規律保持一致。因此,從孔隙度計算的結果可以看出,筆者提議的孔隙度計算方法在碳酸鹽巖儲層孔隙度計算中效果比較明顯,能夠較好地提高孔隙度計算的精確度。



3 結論和認識
筆者從巖石物理的基本理論和巖石物理測試數據出發,在合理的假設前提下,以Gassmann方程和Eshelby-Walsh方程為基礎,推導和建立利用疊前彈性參數反演結果計算地層巖石孔隙度的方法,間接地考慮了孔隙度的結構特征,其推導過程邏輯嚴密、物理意義明確,為利用疊前彈性參數結果計算地層孔隙度提供了一種新思路。實際資料的應用表明,該方法能夠有效地計算地層孔隙度的縱橫向展布,計算結果符合地質、鉆井認識規律。重要的是,疊前彈性參數反演獲得橫波速度和體積密度剖面縱向分辨率較縱波速度剖面高,因此結合橫波速度、密度的孔隙度計算,能夠提高孔隙度剖面縱向分辨率。本方法計算的孔隙度數據體能夠為后期的鉆井部署、儲量估計、油氣藏描述等研究提供有力的依據。值得注意的是,疊前彈性參數反演的精確度是計算孔隙度高精確度的保障,并且當地質情況復雜時,需要針對不同的沉積相帶,計算公式(11)中不同的參數A和B。
參考文獻
[1]慎國強,孟憲軍,王玉梅,等.隨機地震反演方法及其在埕北35井區的應用[J].石油地球物理勘探,2004,39(1):75-81.
SHEN Guoqiang,MENG Xianjun,WANG Yumei,et al.Random seismic inversion and its application in Chengbei N0.35 well zone[J].Oil Geophysical Prospecting,2004,39(1):75-81.
[2]李忠,賀振華,巫芙蓉,等.地震孔隙度反演技術在川西砂巖儲層中的應用與比較EJ2.天然氣工業,2006,26(3):50-53.
LI Zhong,HE Zhenhua,WU Furong,et al.Application of seismic porosity inversion techniques to sandstone reservoirs in western Sichuan basin and its effect comparison[J].Natural Gas Industry,2006,26(3):50-53.
[3]WYLLIE M R J,GEGORY A R,GARDNER L W.Elastic wave velocities in heterogeneous and porosmedia[J].Geophysics,1956,21(1):41-70.
[4]DOLBERG D M,HELGESEN J.Porosity prediction from seismic inversion,Lavrans Field,Halten Terrace,Norway[J].The Leading Edge,2000,19(4):392-399.
[5]張應波.地震孔隙率反演方法和應用[J].石油地球物理勘探,l994,29(3):261-265.
ZHANG Yingbo.A new method for seismic porosity inversion and its application[J].Oil Geophysics Prospecting,1994,29(3):261-265.
[6]DOYEN P M.Porosity from seismic data:A geo-statistical approach[J].Geophysics,1988,53(10):1263-1267.
[7]COOKE D,BALL V,MURYANTO T.What is the best seismic attribute for quantitative seismic reservoir charao terization[C]//Annual Meeting Abstracts,Society of Exploration Geophysicists.Tulsa:SEG,1999:1588-1591.
[8]PHILIPS S,SHUKI R.Seismic guided estimation of log properties:Part l,A data driven interpretation methodology[J].The Leading Edge,1994,13(5):305-307.
[9]吳國平,徐忠祥.儲層孔隙度灰色反濾波求取法[J].地球科學——中國地質大學學報,l999,24(5):519-523.
WU Guoping,XU Zhongxiang.Gray inversion filter method for calculating reservoir porosity[J].Earth Science Journal of China University of Geosciences, 1999,24(5):519-523.
[10]CADETON J E,CASTAGNA J.Porosity and lithologic estimation using rock physics and multi-attribute transforms in Balcon Field,Colombia[J].The Leading Edge,2007,26:142-147.
[11]HAMPSON D P,SCHUEL KE J S,QUIREIN J A.Use of multi-attribute transforms to predict log properties from seismic data[J].Geophysics,2001,66(1):220-236.
[12]王長城,施澤進,韓小俊,等.川南官渡構造下沙溪廟組儲層孔隙度計算[J].成都理工大學學報:自然科學版,2008,35(5):508-511.
WANG Changcheng,SHI Zejin,HAN Xiaojun,et al.Prediction for the reservoir porosity of the Jurassic Xiashaximiao Formation in Guandu structure of South Sichuan,China[J].Journal of Chengdu University of Technology:Science&Technology Edition,2008,35(5):508-511.
[13]劉云,賀振華,汪瑞良,等.基于地震相分析的孔隙度計算[J].物探化探計算技術,2010,32(4):359-363.
LIU Yun,HE Zhenhua,WANG Ruiliang,et al.Porosity prediction based on seismic facies analysis[J].Computing Techniques for Geophysical and Geochemical exploration,2010,32(4):359-363.
[14]ESHELBY J D.The determination of the elastic field of an ellipsoidal inclusion,and related problems[J].Proceedings of the Royal Society A,l957,241(1226):376-396.
[15]WYLLIE M R J,GREGORY A R.Formation factors of unconsolidated porous media:Influence of Particle shape and effect of cementation[J].Journal of Petroleum Technology,1953,5(4):103-110.
[16]石磊,王昌景.常用的幾種反演軟件的比較[J].西南石油學院學報,2004,26(3):16-19.
SHI Lei,WANG Changjing.The comparison of several seismic inversion softwares[J].Journal of Southwest Petroleum Institute,2004,26(3):l6-l9.
[17]楊培杰,印興耀.非線性二次規劃貝葉斯疊前反演[J].地球物理學報,2008,51(6):1876-1882.
YANG Peijie,YIN Xingyao.Non-linear quadratic programming Bayesian prestack inversion[J].Chinese Journal of Geophysics:in Chinese,2008,51(6):1876-1882.
[18]HAMPSON D P,RUSSELLB H.Simuitaneous inversion of pre-stack seismic data[C].SEG/Houston 2005 Annual Meeting,2005,1633-1637.
[19]CONNOLL Y P.Elastic impedance[J].The Leading Edge,1999,18(4):438-452.
[20]楊培杰,印興耀.支持向量機疊前地震反演方法[J].中國石油大學學報:自然科學版,2008,32(1):37-41.
YANG Peijie,YIN Xingyao.Prestack seismic inversion method based on support vector machine[J].Journal of China University of Petroleum:Natural Science Edition,2008,32(1):37-41.
[21]孫月成,馬光克,隨波,等.擴展的彈性阻抗及其在儲層中的應用[J].天然氣工業,2013,33(3):28-32.
SUN Yuecheng,MA Guangke,SUI Bo,et al.An extended elastic impedance(EEI)method and its application to reservoir mapping[J].Natural Gas Industry,2013,33(3):28-32.
[22]劉素芹,何旭莉,何潮觀,等.疊前深度偏移及應用研究[J].西南石油大學學報:自然科學版,2009,31(4):35-37.
LIU Suqin,HE Xuli,HE Chaoguan,et al.Study on prestack depth migration and the application[J].Journal of Southwest Petroleum University:Science&Technology Edition,2009,31(4):35-37.
[23]張慶峰,陳祖慶,趙永慶,等.米倉山前緣隱伏構造帶演化與長興—飛仙關組油氣成藏的關系[J].天然氣工業,2013,33(5):24-29.
ZHANG Qingfeng,CHEN Zuqing,ZHAO Yongqing,et al.Relationship between tectonic evolution and hydrocarbon accumulation in the Changxing and Feixianguan Fms in the frontal concealed structural zone of Micangshan Mountain,northeastern Sichuan Basin[J].Natural Gas Industry,2013,33(5):24-29.
[24]張筠.川東北YB地區長興組礁灘相儲層測井評價技術[J].天然氣工業,2012,32(11):27-31.
ZHANG Yun.Logging evaluation technology of reservoirs of reef-shoal facies in the Changxing Formation in the YB area,northeastern Sichuan Basin[J].Natural Gas Industry,2012,32(11):27-31.
[25]司馬立強,張鳳生,趙冉,等.塔河油田碳酸鹽巖真假儲層測井識別方法研究[J].西南石油大學學報:自然科學版,2012,34(6):73-78.
SIMA Liqiang,ZHANG Fengsheng,ZHAO Ran,et al.Study t on true or false carbonate reservoir recongnition methods based on well logging in Tarim Oilfield[J].Journal of Southwest Petroleum University:Science&Technology Edition,2012,34(6):73-78.
本文作者:蔡涵鵬 賀振華 何光明 鄒文 龍浩 高剛
作者單位:中國石油川慶鉆探工程公司地球物理勘探公司
“油氣藏地質及開發工程”國家重點實驗室·成都理工大學
“地球探測與信息技術”教育部重點實驗室·成都理工大學
您可以選擇一種方式贊助本站

支付寶轉賬贊助

微信轉賬贊助
