摘要:渤海灣盆地東濮凹陷北部地區古近系的膏鹽巖地層為異常壓力提供了很好的保存條件,同時復雜的斷裂又為異常高壓的釋放提供了通道,其油氣成藏的動力學過程較復雜,目前對該區異常高壓及其對油氣運聚的影響規律仍然認識不清。為此,對東濮凹陷北部地區異常壓力與油氣成藏的關系開展了研究。根據實測資料,分析了該區古近系地層壓力的縱向分布特征,并運用流體包裹體方法恢復了古地層壓力,對深部和淺部層系的油氣充注動力進行了分析;綜合劃分了該區的油氣運聚成藏模式類型。結果表明:①研究區縱向上發育常壓、超壓和超高壓3種類型,其中文明寨-古云集地區以常壓為主,衛城、濮城和橋白地區發育常壓和超壓,文留地區和文衛濮結合部發育常壓、超壓和超高壓;②深部層系的油氣充注系統為高壓系統或較高壓-高壓系統,淺部層系油氣主要為幕式充注;③研究區洼陷斜坡帶的成藏模式包括側向運聚成藏和自生自儲運聚成藏,構造主體的成藏模式包括鹽上垂向幕式運聚成藏、鹽間復式運聚成藏和無鹽區垂向連續運聚成藏。
關鍵詞:渤海灣盆地 東濮凹陷 異常地層壓力 古壓力 流體包裹體 油氣充注 成藏模式
據Hunt統計[1],全世界共有l80個沉積盆地中發育超壓地層,其中160個盆地的超壓體與油氣分布具有成因聯系[2],反映了壓力場是控制油氣藏形成的重要因素之一。油氣藏形成時的古壓力與油氣大規模的二次運移具有緊密聯系,古壓力恢復成為近年來成藏動力學研究的熱點之一,其中流體包裹體法是人們較早用來恢復古壓力的方法[3-5],并越來越受到重視。關于異常高壓與油氣運聚關系,前人做了大量的研究[6-16],Leach(1993),Nashaat(1998),Belonin和Slavin(1998)等指出油氣一般富集于超壓頂面附近或一定的壓力梯度范圍內。杜栩等首次提出了5種與超壓有關的油氣成藏模式[2]。異常高壓控制著油氣的成藏過程和分布[8-10],其中壓力過渡帶和常壓帶是油氣藏聚集的有利場所[11-12]。同時很多學者注意到油氣運聚成藏的幕式現象,郝芳等、趙靖舟等通過對流體的流動方式及其所處壓力狀態的關系進行研究,提出幕式成藏理論[15],論述了幕式成藏的重要性及其在油氣勘探中的意義[16]。
渤海灣盆地東濮凹陷北部地區古近系的膏鹽巖地層為異常壓力提供了很好的保存條件,同時復雜的斷裂又為異常高壓的釋放提供了通道,其油氣成藏的動力過程較復雜,目前對該區的異常高壓及其對油氣運聚的影響規律仍然認識不清。因此,筆者對東濮凹陷北部地區異常壓力與油氣成藏的關系開展了研究。
1 區域地質概況
東濮凹陷位于渤海灣盆地臨清坳陷東南部,呈NNE走向,北窄南寬,面積約5

2 現今壓力分布特征
2.1 實測壓力特征
不同學者曾提出了多種異常壓力分類方案[17]。結合研究區實際地層壓力特征,本文采用壓力系數為0.9、1.1和1.5作為界限值,將地層壓力劃分為低壓(壓力系數小于0.9)、常壓(壓力系數介于0.9~1.1)、超壓(壓力系數介于l.1~1.5)和超高壓(壓力系數大于1.5)這4種基本類型。
統計結果表明,東濮凹陷北部地區地層壓力在縱向上主要分布有常壓、超壓和超高壓3種類型(圖2)。其中文明寨-古云集地區以常壓為主,超壓不發育;衛城、濮城和橋白地區發育常壓和超壓,超高壓不發育,其中衛城地區超壓主要分布于深度3

這種壓力分布格局與該區構造特征和異常壓力保存條件密切相關,文明寨-古云集地區構造位置相對較高,而且斷裂體系比較發育,異常壓力保存條件差,所以超壓異常不發育。衛城地區和濮城地區構造位置相對較高,但在沙三中亞段存在鹽巖或泥膏巖封蓋,異常壓力封堵條件較好,從而在鹽下分布有超壓異常且超壓出現的深度相對較淺;而橋白地區鹽巖不發育,異常壓力主要靠泥巖封堵,超壓異常出現的深度較深。文留地區和文衛濮結合部構造位置相對較高,但沙三中亞段和沙三下亞段均具有厚層的鹽巖分布,異常壓力保存條件十分好,所以在沙三中亞段及其以下層系中出現超壓異常和超高壓異常,而且超壓異常出現的深度相對于其他地區要淺。
2.2 異常高壓橫向對比
地層壓力存在欠爪實、水熱增壓、生烴增壓、黏土脫水以及構造擠壓等多種增壓機制,在晚期快速沉降的中、新生代斷陷盆地中,通常以欠壓實作用為主要的增壓機制,其中厚層泥巖是形成異常高壓的主要場所。異常高壓泥巖在地球物理數據上表現為“高孔隙度、高聲波時差、低密度”,出現異常高孔隙時,流體就會承擔部分本應南巖石骨架承擔的上覆負荷,這部分負荷在數值上等于流體超壓值。基于這一原理,可以利用平衡深度法汁算地層中異常壓力的大小,所謂平衡深度就是欠壓實地層的孔隙度在正常壓實曲線上的投影深度。另外據Wyllie公式,地層孔隙度和聲波時差具有較好的相關關系。因此,可以用聲波時差代替孔隙度來定性分析異常壓力的分布特征,即正常泥巖壓實段的聲波時差隨深度增加而呈線性減小,當再現異常壓力時,聲波時差會偏離正常趨勢線,表現為異常值。
文251井-文100井剖面橫跨西部洼陷、文留主體和東部洼陷,在文留主體和兩側洼陷斜坡帶發育沙三2鹽、沙三4鹽和沙一鹽。從聲波時差對比剖面圖(圖3)上可以看出,西部洼陷斜坡帶的文251井、東部洼陷斜坡帶的文100井、文留主體的文118井,以及新文401井主要發育沙三鹽間超壓帶和沙一鹽下超壓帶,在橫向上具有較好的對比性,且沙三鹽間超壓帶的超壓幅度明均大于沙一鹽下超壓帶,東、西洼陷斜坡帶的超壓幅度均大于文留主體,說明在異常壓力的動力下,洼陷區生成的油氣可以向構造主體運移,也可以由沙三段向淺部的沙二段和沙一段運移。

3 流體包裹體法恢復古壓力
3.1 流體包裹體捕獲壓力的計算公式推導
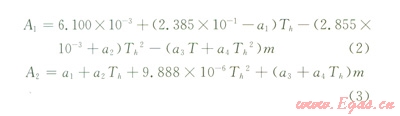
流體包裹體法是近年來人們恢復古壓力的常用手段之一。ZHANG等曾針對鹽水溶液建立了流體包裹體的溫壓關系等容式[18]。該等容式認為,流體包裹體均一溫度、形成溫度、鹽度和形成壓力等4個參數之間存在著一定的函數關系。其中的均一溫度和鹽度可以測得,通過一定的方法確定出包裹體的形成溫度就可以得到其形成壓力。流體包裹體的形成壓力可以用下面的公式得到。

式中p表示形成壓力,10-1MPa;T表示捕獲溫度,℃,視為比均一溫度高l

式中Th表示均一溫度,℃;m表示鹽類質量摩爾濃度,mol/kg,它與鹽度(叫)的換算公式為:m=1 000ω/[58.5×(100-ω)];al、a2、a3、a4為常數,對于CaCl2-H20體系來說,al=2.848×101,a2=-6.445×10-2:a3=-4.159×10-1、a4=7.438×10-3。
一般來說,利用上述方法得到的壓力是包裹體的均一壓力,即古壓力的下限值,由此求得的包裹體捕獲壓力需要進行壓力校正。結合文獻值(米敬奎等,2003),在計算中將流體包裹體捕獲壓力定為比其均一壓力高6 MPa來進行計算:
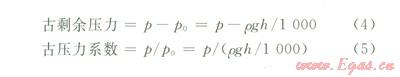
3.2 古剩余壓力和古壓力系數的計算公式推導
為進一步描述地層的古壓力狀態,需要計算古剩余壓力和古壓力系數,二者可分別用下式計算:

式中p0表示古靜水壓力,MPa;h表示古埋深,m,其值是在單井埋藏史及熱史恢復的基礎上結合包裹體均一溫度實測值得到;g表示重力加速度,

式中Th表示均一溫度,℃;A、B、C分別為鹽度的函數:

式中ω為鹽度,當鹽度介于1%~30%時

3.3 計算結果分析
表l是對東濮凹陷中央隆起帶北部多口井不同層段鹽水包裹體捕獲壓力的計算結果。分析表明,研究區深部層系流體包裹體古剩余壓力和古壓力系數較高,其中衛城南部、戶部寨、文東等地區沙三中、下亞段古剩余壓力為7.29~11.22 MPa,古壓力系數介于1.23~1.42,而且文東地區距離洼陷巾心較近的文203—59井的超壓幅度要高于距離洼陷中心較遠的濮深7井,說明這些部位油氣的充注是在高壓系統內完成的;文西地區沙三中弧段古剩余壓力為l.9~10.66MPa,古壓力系數為1.06~1.35,說明這些部位油氣的充注是在較高壓高壓系統內完成的。

淺部層系樣品的流體包裹體古壓力系數均分布于1.38~1.85之間,說明淺層油氣的充注方式以幕式為主。深部層系的高壓流體沿斷層快速涌流,在淺部層系被捕獲而形成包裹體,由于被捕獲時流體壓力和深部層系相當或略小,而淺部層系古靜水壓力卻較小,從而造成淺部層系流體包裹體的古壓力系數明顯大于深部層系流體包裹體的古壓力系數。
4 油氣成藏模式
東濮凹陷屬于典型斷坳型盆地,具有隆凹相間的構造格局。基于東濮凹陷北部地區構造特征和基本的油氣充注成藏條件,可以將研究區油氣運聚成藏模式劃分為洼陷斜坡帶運聚成藏和構造主體運聚成藏兩大類。
4.1 洼陷斜坡帶運聚成藏模式
洼陷斜坡帶運聚成藏模式是目前東濮凹陷發現油氣較多的一種油氣成藏模式類型,位于洼陷區沙三段的生烴層系內,具有充足的油源和優越的供油條件。突出特點是油氣從烴源巖排出直接進入儲集層系,直接聚集成藏或經過源內砂體側向運移而聚集成藏。根據油氣運移動力特點和油氣運聚特征的差異,可進一步將其劃分為側向運聚成藏模式和自生自儲運聚成藏模式。
油氣由洼陷或斜坡帶生成后沿砂體側向運移,并在反向斷層、順向斷層或巖性相變等遮擋條件下發生聚集,以濮衛洼陷斜坡帶、濮城-前梨岡洼陷西翼斜坡帶和柳屯海通集洼陷東翼斜坡帶為代表(圖4)。油氣側向運移多見于沙三段,主要為高成熟和低成熟油氣的混合組分,輸導體系為砂體,該成藏模式具有如下特點:①具有沙三上、中、下亞段3套烴源巖中的一套供烴;②沿砂體側向運移為主;③圈閉類型主要為斷層遮擋形成的構造 巖性圈閉和砂巖上傾尖滅圈閉;④運移動力為異常高壓;⑤縱向多層系生烴,造成烴類多層系聚集。

洼陷內部發育的濁積、灘砂或灘壩等透鏡體狀砂巖儲集體“近水樓臺先得月”,通過近距離運移,優先捕捉油氣,并在巖性圈閉中聚集成藏,以前梨園洼陷為代表(圖5)。該成藏模式具有如下特點:①烴源巖供烴層系單一,為巖性圈閉所在生烴層系;②巖性圈閉以封閉透鏡式為主;③生烴、構造運動及差異壓實為巖性圈閉充注油氣提供了動力。

4.2 構造主體運聚成藏模式
由于斷裂帶由復雜斷塊組成,且中央隆起帶發育多套鹽巖層,因而具有深部和淺部多層系含油的特點。構造主體運聚特征復雜,根據油氣運移動力特點和油氣運聚特征的差異,構造主體運聚成藏模式可進一步劃分為鹽上垂向幕式運聚成藏模式、鹽間復式運聚成藏模式和無鹽區垂向連續運聚成藏模式。
屬于鹽上油氣藏的油氣成藏模式類型。斷裂帶下部鹽間或鹽下地層中的砂體是油氣幕式運移的臨時倉儲層或“中轉站”,由于下部流體的超壓作用,這些砂體中的流體沿斷層周期性釋放而將油氣大量轉移到上部地層。主要發生于斷裂活動期,具有早期充注的特點,以衛城地區向南至文留地區為代表(圖6)。該成藏模式具有如下特點:①具有沙三上、中、下亞段3套烴源巖供烴;②以垂向幕式運移為主、側向運移為輔;③圈閉類型主要為復雜斷塊圈閉;④運移動力主要是超壓;⑤縱向上烴類聚集層系沿主干斷裂呈羽狀分布。

屬于斷裂帶下部生烴層系油氣藏的油氣成藏模式類型。這些油氣藏油氣來源多樣,既有自生自儲的油氣也有由洼陷側向運移來的油氣。以中央隆起帶鹽間地層為代表(圖7)。該成藏模式具有如下特點:①主要由沙三中、下亞段2套烴源巖供烴;②以側向運移為主,自生自儲為輔;③圈閉類型主要為斷塊圈閉;④運移動力主要是超壓;⑤縱向上油氣分布較為集中。

該成藏模式主要分布于無鹽巖發育的復雜斷裂帶,屬于常壓環境油氣藏的油氣成藏模式類型。這種模式油氣藏的油氣主要是在浮力作用下沿斷裂向上連續運移。以文明寨地區為代表(圖8)。該成藏模式具有如下特點:①具有沙三上、中、下亞段3套烴源巖供烴;②以垂向連續運移為主,側向運移為輔;③圈閉類型主要為斷塊圈閉;④運移動力主要是浮力;⑤縱向上烴類聚集層系沿主干斷裂呈羽狀分布。

5 結論
1)東濮凹陷中央隆起帶北部古近系現今地層壓力在縱向上主要發育常壓、超壓和超高壓3種類型;其中文明寨-古云集地區斷裂體系比較發育,異常壓力保存條件差,以常壓為主;衛城、濮城和橋白地區沙三段的膏鹽巖或泥巖較為發育,可以較好地封堵異常壓力,從而發育常壓和超壓;文留地區和文衛濮結合部沙三段膏鹽巖尤其發育,異常壓力保存條件優于其他區塊,從而發育常壓、超壓和超高壓。
2)流體包裹體古壓力恢復結果表明,中央隆起帶北部不同區塊深部層系古剩余壓力和古壓力系數較高,油氣充注是在高壓系統或較高壓-高壓系統內完成的;淺部層系古剩余壓力和古壓力系數同樣較高,油氣的充注方式以幕式為主。
3)基于東濮凹陷北部地區構造特征和基本的油氣充注成藏條件,可以將研究區油氣成藏模式劃分為洼陷斜坡帶運聚成藏和構造主體運聚成藏兩大類。根據油氣運移動力特點和油氣運聚特征的差異,洼陷斜坡帶可進一步劃分為側向運聚成藏模式和自生子儲運聚成藏模式,構造主體可進一步劃分為鹽上垂向幕式運聚成藏模式、鹽間復式運聚成藏模式和無鹽區垂向連續運聚成藏模式。
參考文獻
[1] HUNT J M. Generation and migration of petroleum from abnormally pressured fluid compartments[J].AAPG Bulletin,1990,74(1):1-l2.
[2] 杜栩,鄭洪引,焦秀瓊.異常壓力與油氣分布[J].地學前緣,1995,2(3/4):137-148.
[3] APLIN A C,LARTER S R,BIGGE M A.PVTX history of the North Sea’s Judy Oilfield[J].Journal of Geochemical Exploration,2000,69(70):641-644.
[4] 陳紅漢,董偉良,張樹林,等.流體包裹體在古壓力模擬研究中的應用[J].石油與天然氣地質,2002,23(3):207-211.
[5] 米敬李,肖賢明,劉德漢,等.利用儲層流體包裹體的PVT特征模擬計算天然氣藏形成古壓力:以鄂爾多斯盆地上古生界深盆氣藏為例[J].中國科學:D輯地球科學,2003,33(7):679-685.
[6] 解習農,李思田,劉曉峰.異常壓力盆地流體動力學[M].武漢:中國地質大學出版社,2006.
[7] 張啟明,董偉良.中國含油氣盆地中的超壓體系[J].石油學報,2000,21(6):1-11.
[8] 查明,曲江秀,張衛海.異常高壓與油氣成藏機理[J].石油勘探與開發,2002,29(1):19-23.
[9] 孫明亮,柳廣弟,李劍.超壓盆地內剩余壓力梯度與天然氣成藏的關系[J].中國石油大學學報:自然科學版,2008,32(3):l9-29.
[10] 孫明亮,柳廣弟.庫車坳陷克拉2氣藏異常壓力成因分析[J].中國石油大學學報:自然科學版,2007,
[11] 陳建平,黃第藩,霍永錄,等.酒東盆地異常流體壓力帶及與油氣分布的關系[J].中國科學:D輯地球科學,l996,26(1):9-15.
[12] 金之鈞,謝方克.中國典型含油氣盆地地層壓力分布特征[J].石油大學學報:自然科學版,2002,26(6):1-16.
[13] 趙靖舟.幕式成藏的機理和規律探討[J].天然氣工業,2006,26(3):9-12.
[14] DARBY D,HASZELDINE R S,COUPLES G D. Pressure cells and pressure seals in the UK Central Graben [J].Marine and Petroleum Geology,1 996,13(8):865-878.
[15] 郝芳,鄒華耀,楊旭升,等.油氣幕式成藏及其驅動機制和識別標志[J].地質科學,2003,38(3):413-424.
[16] 趙靖舟.論幕式成藏[J].天然氣地球科學,2005,16(4):471-476.
[17] 郝芳.超壓盆地生烴作用動力學與油氣成藏機理[M].北京:科學出版社,2005.
[18] ZHANG Yigang,FRANTZ J D. Determination of homogenization temperatures and densities of supercritical fluids in the system NaCl-KCI-CaCl2-H20 using synthetic fluid inclusions[J].Chemical Geology,1987,64(3/4):335-350.
本文作者:劉景東 蔣有錄
作者單位:中國石化石油勘探開發研究院無錫石油地質研究所 中國石油大學(華東)地球科學與技術學院
您可以選擇一種方式贊助本站

支付寶轉賬贊助

微信轉賬贊助
