摘要:頁巖氣開發過程中鉆遇的頁巖儲層,由于其層理構造具有明顯的各向異性,開展相關研究對鉆井和儲層改造是十分重要的。分析認為,可以假設頁巖為橫觀各向同性介質,并從橫觀各向同性應力應變關系的坐標變換出發,能夠推導出層理性頁巖方向性的彈性模量、泊松比與垂直層理、平行層理方向彈性常數的關系。通過不同層理傾角頁巖巖樣的單軸壓縮實驗和超聲波實驗測量巖樣的抗壓強度、動靜態彈性模量和動靜態泊松比,研究了頁巖層理對其力學參數的影響。實驗和理論計算結果均表明:將層理頁巖看做橫觀各向同性介質在力學上是相對準確的;垂直層理方向的彈性模量和泊松比小于平行層理方向的彈性模量和泊松比;動態彈性參數的各向異性程度強于靜態彈性參數的各向異性程度;層理巖石彈性模量、泊松比隨層理傾角有規律變化;根據垂直和平行層理面的彈性常數可以確定任意方向上的彈性模量和泊松比。
關鍵詞:頁巖 層理 各向異性 橫觀各向同性 彈性模量 泊松比
頁巖氣儲層中的有機頁巖在形成過程中具有層理、片理等特征,組成的礦物結晶顆粒具有不同大小以及不同的組合方式,造成頁巖中具有不同層次的結構構造和這些結構構造的定向排列,所以有機頁巖具有明顯的強度和彈性各向異性。如果將頁巖儲層巖石當做各向同性體來處理,是顯然不符合實際情況的。對于存在明顯層理的頁巖,在研究其力學性質時要考慮其各向異性[1-4]。層理性頁巖力學性質受巖石本體和結構面的力學性質共同控制,通過理論和實驗研究獲得頁巖巖石強度、彈性力學參數的各向異性特征,結合聲波各向異性分析結果,進而完成有機頁巖力學性質評價,能實現頁巖氣水平井的安全鉆井和優化水力壓裂過程。
1 層理頁巖彈性參數變化規律的理論模型
層理頁巖的各向異性變動如圖l所示,垂直構造面的壓縮性顯著大于平行構造面的壓縮性,所以,這種巖石在層理面的應力-應變性狀是各向同性的。

描述這種性狀的巖石可以用5個獨立的彈性常數。分別用E1和E2表示平行和垂直各向同性面的彈性模量,用v1和v2表示平行和垂直各向同性面的泊松比,用G2表示各向同性面內的剪切模量。假定在局部坐標系(x',y',z')中,z'軸和可壓縮性最大面的法線方向一致,而x'和y'軸落在各向同性面內。橫觀各向同性巖石的應力應變關系為:

式中

在實際工程中,由于地層存在一定的走向和傾角,通常和上述坐標系不一致,如圖2所示。需要選用總體坐標系(x,y,z)。總體坐標系(x,y,z)和各向異性定向坐標系(x',y',z')的關系可通過走向角(α)和傾向角(α)建立。

借助轉換矩陣T和T*,把總體坐標系中的應力{σ}和應變{ε}分別換算為局部坐標系中的應力{σ'}和應變{ε'}。

將式(2)和式(3)代入式(1),得:

上式兩邊同乘T*-1,利用式(5)的關系,得出:

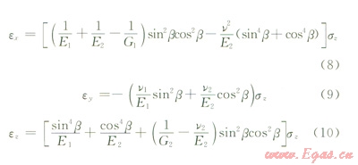
根據單軸壓縮邊界條件,若沿z軸方向壓縮,即應力以σx=σy=τxy=τyz=τzx=0,而β≠0,由式(7)得

由于在β=45°情況下,v2E1=vlE2,可得與z軸為任意角度β方向的彈性模量Eβ和泊松比vβ:

通過實驗測定層理頁巖垂直層理和平行層理方向的5個彈性常數,便可由式(11)和(12)從理論上得出層理頁巖彈性模量E和泊松比v隨層理傾角β的變化關系。
2 層理頁巖彈性常數各向異性的實驗研究
為探討層理頁巖的各向異性,按一定的β方向取樣(β角為層理而與巖樣端面問的夾角)。β角從0°~90°,每隔l5°取l個樣,共計7個樣(圖3)。巖樣上下端面的不平行度小于

由聲波實驗結果根據式(13)、(14)計算各巖樣的動態彈性模量和動態泊松比,計算結果列于表l。

式中Ed為巖石動態彈性模量,MPa;vd為巖石動態泊松比;Vp為縱波速度,m/s;Vs為橫波速度,m/s;ρ為巖石密度,g/cm3。
根據單軸壓縮實驗所得的巖樣應力-應變曲線,可求得巖石的靜態彈性模量Es和靜態泊松比vs,其值列于表2。

由表2測定的各個角度巖樣的單軸抗壓強度可以看出,β為60°時巖石的抗壓強度最小,即此時巖樣沿層理方向破壞。根據層理傾角為βmax=45°+φs/2時發生層理破壞,可以得到層理面的內摩擦角φs為30°。還可以看出,如果舟小于內摩擦角,巖樣不會發生沿層理剪切破壞。
圖4為根據表2的實驗結果得出的動態彈性模量、泊松比和靜態彈性模量、泊松比隨層理傾角的變化圖。

由圖4可見Ed、Es、vd、vs都隨層理傾角(β)的增加呈上升趨勢,靜態參數比動態參數隨層理傾角的變化要陡一些,動態參數總比靜態參數高,動態彈性模量為靜彈性模量的l.35~1.50倍,動態泊松比為靜態泊松比的l.00~1.1 5倍。
對橫觀各向同性體來說,5個獨立的彈性常數(E1、E2、v1、v2、G2)確定之后,由式(11)可以計算出任一β角方向上的彈性模量值,表2為彈性模量實測值和計算值的結果數據。
從表2可以看出,計算的彈性模量與實測值接近,最大誤差為3%。因此,只要對巖石作平行和垂直層理以及45°方向的3組樣品單軸壓縮實驗,就可用計算值來代替樣品的實測值,而不需要對每一個方向(β角)的樣品進行單軸壓縮實驗來確定模量,可省去大量樣品加工及實驗工作。結果表明將層理巖石視為橫觀各向同性介質來計算彈性模量是可行的。
由表1的數據通過(12)計算泊松比隨角β的變化規律,泊松比的實測值和計算值結果數據見表3。

從表3可以看出,泊松比的實測值與計算值也比較接近,誤差在合理的范圍內,所以將層理巖石視為橫觀各向同性介質來計算泊松比是可行的。定義頁巖的各向異性指數e為:

式中A1為平行于各向同性面上的彈性模量或泊松比;A2為垂直于各向同性面上的彈性模量或泊松比。
利用實驗數據,可以得到巖石動態彈性模量和泊松比的各向異性程度分別為0.088和0.089,巖石靜態彈性模量和泊松比的各向異性程度分別為0.180和0.155。可以看出巖石各向異性在靜態時更為突出,而動態時巖石各向異性有所減弱。巖石各向異性指數可評價巖石的各向異性程度,各向異性指數越大,表明巖石的各向異性程度越高。
3 結論
通過理論分析和實驗研究頁巖力學性質的各向異性,主要得出以下結論:
1)層理頁巖平行于層理面的彈性模量和泊松比大于垂直于層理面的彈性模量和泊松比。
2)層理頁巖的彈性常數Ed、Es、vd、vs都隨層理與水平方向夾角的減小呈上升趨勢,動態彈性參數總比靜態彈性參數高,巖石各向異性在靜態時更明顯。
3)根據不同層理傾角頁巖巖樣的單軸抗壓強度結果可以看出,層理傾角為60°時巖樣的抗壓強度最小,巖樣沿層理方向破壞,若巖樣層理傾角小于層理面內摩擦角,巖樣不會發生沿層理剪切破壞。
4)不同層理傾角頁巖巖樣的彈性模量、泊松比實驗結果和將層理頁巖作為橫觀各向同性介質理論計算得出的彈性模量、泊松比基本一致,說明將層理頁巖視為橫觀各向同性介質是合理的。
5)根據巖石的各向異性指數可評價頁巖的各向異性程度,各向異性指數越大,表明巖石的各向異性程度越高。
參考文獻
[l] 尹宏錦.地層各向異性-巖石可鉆性研究[J].石油鉆采工藝,l989,11(1):15-22.
[2] 趙平勞,姚增.層狀巖石動靜態力學參數相關性的各向異性[J].蘭州大學學報:自然科學版,l993,29(4):225-229.
[3] 劉斌,席道瑛,葛寧沽,等.不同圍壓下巖石中泊松比的各向異性[J].地球物理學報,2002,45(6):880-890.
[4] 何沛田,黃志鵬.層狀巖石的強度和變形特性研究[J].巖土力學,2003,24(增刊l):1-5.
[5] 楊圣奇,張學民,蘇承東.巖塊聲學特性的實驗研究[J].遼寧工程技術大學學報,2003,22(6):772-775.
[6] 鄭淑芬.地層速度各向異性及其應用[J].測井技術,2000,24(3):223-226.
[7] 王文冰,季榮生,喬艷紅,等.波形特征與層理巖石各向異性關系分析[J].潔凈煤技術,2010,16(6):83-85.
本文作者:王倩王鵬 項德貴 馮宇思
作者單位:中國石油集團鉆井工程技術研究院
您可以選擇一種方式贊助本站

支付寶轉賬贊助

微信轉賬贊助
