摘 要:超級開架式氣化器(SuperORV)是一種以海水為熱源的新型氣化器,它采用雙層結構的傳熱管,可有效改善傳統開架式氣化器管束外結冰的狀況并提高換熱效率,而目前國內對該裝置傳熱性能的研究還較少。為此,對SuperORV關鍵傳熱單元——傳熱管的換熱過程進行了模擬研究,建立了SuperORV傳熱管整體換熱過程的傳熱計算模型。該模型利用兩組離散化方程組分別描述了SuperORV傳熱管氣化段和加熱段的傳熱過程,在給定的尺寸和邊界條件下對傳熱管的整體換熱性能進行了數值模擬,得到了傳熱管各個局部的表面換熱系數和溫度分布曲線,進而推導出了傳熱管總換熱系數和熱流密度的分布曲線。海水和外翅片管上的溫度分布曲線可用于預測傳熱管外表面易結冰的位置,傳熱管總換熱系數和熱流密度的分布曲線則可為傳熱管的整體換熱性能描述提供幫助。該模型及相關模擬分析可望為該類氣化器的設計、選型和運行管理提供參考。
關鍵詞:超級開架式氣化器 LNG接收終端 氣化 低溫傳熱 沸騰傳熱 數值模擬 表面換熱系數 溫度分布曲線
Numerical simulation analysis of a heat transfer tube in SuperORV
Abstract:Super Open-Rack LNG Vaporizer(SuperORV),a new type of vaporizer using sea water as a heat source,has a doubledtube structure which can so markedly weaken icing conditions outside the tube as to improve the overall heat transfer efficiency.However,such related research in China has not yet been found on this subject.Therefore,in this paper,a simulation studv was conducted to investigate the LNG(Liquefied Natural Gas)evaporating process in a SuperORV heat transfer tube.At first,calculation models were established of the overall heat transfer process.Two groups of discrete equations were then utillzed to describe the heat transfer process in vaporizing and heating sections of this equipment.Under the given size and boundary conditions,a numerical study was carried out of the performance of the heat transfer tube and the heat exchange coefficient and temt)crature distribution curves were obtained for the surface of each zone,based on which the distribution curves of heat flux density and cumulative heat exchange coefficient were thus derived.These curves would be helpful for the description of overall heat exchanging performance of the tube;on the other hand,the temperature distribution curve of sea water vs.the exterior fin tube could be used to predict the freeze position on the external surface of the heat transfer tube.This study provides reference for the design,type selection and operation management of LNG SuperORV facilities.
Key words:SuperORV,LNG receiving terminal,LNG evaporation,cryogenic heat transfer,boiling heat transfer,simulation
開架式氣化器(ORV)是一種以海水為熱源的氣化器,是液化天然氣(LNG)接收終端中用于基本負荷的大型氣化裝置,但由于海水容易在該氣化裝置底部結冰,使得裝置盼傳熱性能下降,導致其氣化性能無法得到進一步的提升。超級開架式氣化器(SuperORV)是在ORV基礎上二的改進版本,其傳熱管可分為氣化段和加熱段兩部分(圖1)。加熱段中采用雙層結構的傳熱管,使得管外結冰的狀況得到了進有效的改善。據有關技術數據[1-2],SuperORV可以使氣化裝置的氣化能力提高3倍,海水流量和安裝空間可分別減小15%和40%。
我國先前建成的粵東LNG接收終端以及其他一些在建的LNG接收終端項目多采用的是傳統的ORV[3-6],而日本和歐洲的LNG接收終端早在2005年以前都已大量采用SuperORV作為基本負荷型氣化設備(表1) [7]。未來中國將會大量建設LNG接收終端[8-9],但國內對該裝置傳熱性能的研究目前還不是很多。為此,筆者擬對SuperORV關鍵傳熱單元傳熱管的換熱過程進行數值模擬,并對模擬結果反映的氣化器性能進行分析和討論,期望能為該類型氣化器的設計、選型和運行管理提供參考。


2 SuperORV傳熱管傳熱計算模型
2.1 傳熱管的傳熱過程分析
SuperORV上部裝有海水噴淋裝置,將海水自管束板外自上而下噴淋,海水經分布器分配后,形成薄膜均勻沿管束下降,使管內的LNG受熱氣化。在傳熱管的加熱段,LNG從底部的分配器先后進入內套管和外管之間的環狀間隙豎直向上流動。間隙中的LNG流量較小,在流動過程中被翅片管外的海水加熱后立即氣化。內套管中流動的LNG被間隙里已經氣化的天然氣(NG)加熱,氣化逐漸進行。隨著含氣率的增加,內套管中的LNG流體先后經歷不同的流態,可被劃分為不同的換熱區間:單相液體對流換熱區、欠熱沸騰換熱區、飽和沸騰換熱區和缺液區[10-11]。待內套管中的氣化過程完畢后,內外管的NG混合后進入傳熱管的加熱段;在加熱段,翅片管內的低溫NG單相氣體通過管壁,被海水液膜加熱到設計要求的出口溫度,最后離開傳熱管。
為了方便傳熱區間的劃分,根據LNG流體的焓值變化,沿換熱管將管段劃分成若干個換熱單元,每個小單元里的流體進行流型和狀態的判斷,作為選擇換熱經驗公式的依據。對小單元進行能量守衡的恒算,根據已知工況,計算出單元出口(單元人口或出口的叫法取作與管內LNG流動方向相同,與海水流動方向相反,下同)的溫度、焓值等數據,每個單元出口的數據作為下個單元入口的已知量,海水和LNG進出口焓值作為邊界條件,依次計算,直到天然氣出口滿足出口溫度要求,從而得到每個單元的各種參數以及其他相應參數沿傳熱管的分布情況。
由于流體的氣化過程比較復雜,為了更好地分析傳熱管的傳熱性能,筆者僅考慮翅片管壁不結冰狀況下的傳熱過程,并對傳熱過程做如下簡化:
1)傳熱管是光管,不考慮強化傳熱措施和污垢熱阻的影響。
2)管道內壓力恒定,LNG在恒壓條件下沸騰。
3)LNG沿管道長度方向上的飽和溫度不變。
4)不考慮流體和管道厚度,即忽略它們在徑向上的溫度梯度對傳熱的影響。
5)進人環狀間隙的LNG在進入瞬間即開始氣化,內套管中的LNG離開氣化段時剛好被全部氣化。
6)LNG氣化時,不考慮管壁的過熱度,即假設壁面過熱度為0。
7)環狀間隙和內套管中的兩股流體混合后的焓值與混合前兩股流體的焓值之和相等。
2.2 傳熱計算模型
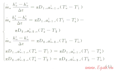
由于傳熱管氣化段和加熱段結構是不同的,對這兩部分的傳熱過程分別建立傳熱模型(圖2、3),其中表示與相鄰壁面的換熱量。


2.2.1氣化段
對管外海水側能量恒算得到離散化方程:

式中m表示質量流量,kg/s;h表示進出口流體的比焓值,J/kg;D代表傳熱管直徑,m;Dz表示單元長度,m;a為對流傳熱表面換熱系數,W/(m2·K);T為溫度,K;上標1、2分別代表單元進出口截面;下標中的w代表海水,I表示翅片管壁,o表示其外側。
對環狀間隙里NG的能量恒算得到離散化方程為:

式中下標g代表NG,Ⅱ表示翅片內側和套管管壁,i表示管內側,其余同上。
對內套管LNG能量恒算得到離散化方程為:

式中下標m代表LNG兩相流體,其余同上。
上述3個能量守恒方程與通過2個管壁的能量分別相等列出的方程聯立,可得到下面的方程組:

以上方程組中,由于工藝參數mw、mg、mm、DⅠ,o、DⅠ,i和DⅡ,i都系已知,由邊界條件和上一單元的計算結果,也可知hw、hg和hm,計算壓力下對應的Tw、Tg和Tm也已知,根據單元劃分的依據,出口的LNG比焓值hm也為已知量,而各個表面對流換熱系數依賴于流體的物性參數,而物性參數的取值取決于此處的溫度和壓力,由于入口溫度已知,將其取作單元入口溫度對應的物性。所以,方程組中獨立的未知量僅有Dz、TⅠ、TⅡ、hw和hg這5個未知量,與方程數目相等,方程組封閉,可解。
2.2.2加熱段
仿照上述方法,得到加熱段各單元的傳熱模型為:

式中下標mg代表該段的NG氣體,wall代表管壁,o代表管外側,i表示管內側,其余同上。
方程中的未知量為單元長度Dz、壁溫Twall和單元出口的海水比焓值hw,方程同樣封閉,可解。
2.3 傳熱經驗公式的選擇
2.3.1海水側液膜的換熱系數
水膜下降過程中的換熱系數比較高,但目前對于豎直降膜的傳熱經驗公式多集中在對液膜冷卻換熱設備的研究,很少有適用于液膜加熱低溫流體工況的公式。考慮到液膜換熱機理復雜,尤其當液膜的流道表面比較復雜的情況(如外翅片管)下,液膜傳熱關聯式的適用條件比較苛刻,模擬選用的換熱系數為常數5800W/(m2·K),該數據源于跟該類氣化器有關的本文參考文獻[12]。
2.3.2單相流體的對流換熱
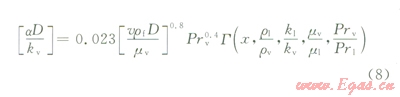
單相流體的對流換熱適用于在氣化段內套管中過冷LNG液體、環狀間隙以及加熱段中的NG氣體。單相強迫對流傳熱系數用aspl表示。初步計算顯示,SuperORV中的單相流動主要處于湍流狀態,考慮采用經典的Dittus-Boelter關系式[13]:
Nu=0.023Re0.8Pr0.4 (6)
2.3.3欠熱沸騰換熱區的對流換熱系數
欠熱沸騰換熱區的傳熱公式采用Rohesnow方法[10-11]。該換熱區的傳熱量被看作是單相對流貢獻部分qspl和壁面過熱的泡核沸騰傳熱貢獻部分qsub之和。其中,qspl=aspl(Tw-Tf),可根據對流傳熱Dittus-Boelter關系式計算aspl,qsub則可使用Rohesnow的池內沸騰換熱公式獲得。具體公式和參數的選擇見本文參考文獻[10-11]。
2.3.4飽和沸騰換熱區的對流換熱系數
選用Chen關系式來描述飽和沸騰換熱區的傳熱特征[10-11]。Chen關系式最適合描述非金屬純流體的,飽和沸騰,其對有機流體的飽和沸騰描述適用性也很強。該方法認為,飽和泡核沸騰區內存在2種基本傳熱模式:泡核沸騰傳熱和強制對流傳熱。在飽和沸騰下,兩相流的傳熱系數(aTP)可由下式得到:
aTP=amac +amic (7)
式中amac描述對流傳熱,稱宏觀傳熱分量;amic描述泡核沸騰傳熱,稱微觀傳熱分量。Chen公式中參數的選擇和計算方法見本文參考文獻[10-11]。
2.3.5缺液區的對流換熱系數
缺液區以液滴在氣體的彌狀流動為主。關于彌狀流的傳熱公式選擇下式[11]:

式中的選擇見本文參考文獻[11]。
在加熱段,模型根據條件判斷出不同的傳熱區間,從而選擇特定傳熱區間的公式進行計算。
3 計算結果分析
3.1主要技術參數及邊界條件
翅片管外徑為40mm,內徑為20mm;內套管外徑為l8mm,內徑為l4mm。根據本文參考文獻[1]中整臺氣化器的蒸發能力,換算得到海水噴淋的流量為2.5kg/s;LNG總流量為0.05kg/s(內套管內LNG流量為0.036kg/s,夾層里的氣態NG流量為0.014kg/s)。根據氣化工藝要求,LNG入口溫度為170K,出口溫度為275K,管內操作壓力為4MPa;海水不結冰,其主流出口溫度為280K。
海水和LNG都是混合物,為方便起見,在模擬中直接采用它們主要成分(水和甲烷)的物性參與計算。在軟件Matlab中直接引用美國國家標準研究院(NIST)物性軟件REFPROP中的數據,進而計算得到相應的結果。
3.2 結果及分析
計算得到傳熱管氣化段為2.80m,加熱段為6.56m,傳熱管總長為9.36m,該長度比實際管長偏大17%,這主要是由于在計算中并未考慮強化傳熱措施的影響。計算得到海水入口處的溫度為282.5K,工程案例中人口海水的溫度為283K[7]。
圖4給出了氣化段內套管中LNG表面對流換熱系數的分布曲線,圖5給出了內套管壁及其兩側流體的溫度分布曲線。從圖4可以看出,飽和沸騰區的傳熱系數有一個很大的提升,正是南于這個原因,圖5中內套管的壁溫會有所下降,而偏向低溫流體。在缺液區,圖4曲線上出現了較大的下降臺階,這是由擘面被蒸干所導致的傳熱性能下降而引起的,可以看到,與其對應的圖5中的內套管壁溫也有一個明顯的上升。環狀間隙里的NG流體的溫度在0.5m之后保持在了一個較穩定的溫度位上,這也是SuperORV利用環隙中的NG進行保溫,緩解了結冰狀況的依據。


圖6給出了整個換熱管上翅片管壁和海水的溫度分布曲線。海水流量較之LNG流量大得多,所以其溫度變化不大。在1m以下的位置,管壁的溫度急劇降低,甚至低于冰點,很容易導致靠近壁面的海水結冰。該區域確實也是結冰情況較嚴重的區域。

圖7、8分別給出了反映SuperORV整體換熱性能的總換熱系數和熱流密度的分布曲線。可以看到,在氣化段和加熱段過渡區,2條曲線都出現了跳躍。這是由于SuperORV結構上的變化引起的。圖7中,氣化段的總換熱系數總體優于加熱段的總換熱系數。圖8中,加熱段開頭的熱流密度先高于氣化段末尾的熱流密度而后逐漸下降,這是由NG流體混合前后的溫度變化引起的,從氣化段出來的2個流道里的流體混合后導致溫度有大的下降,而后隨著加熱溫度又逐漸上升。


4 結束語
建立了SuperORV傳熱管的整體換熱過程傳熱計算模型,該模型利用兩組離散化方程組分別描述了SuperORV傳熱管氣化段和加熱段的傳熱過程,并在給定的尺寸和邊界條件下對傳熱管的整體換熱性能進行了數值模擬,得到了傳熱管各個局部的表面換熱系數和溫度分布曲線,并利用它們推導出了傳熱管總換熱系數和熱流密度的分布曲線。根據海水和外翅片管上的溫度分布曲線可預測傳熱管外表面易結冰的位置(如本例中的外翅片管1m以下的位置)。傳熱管總換熱系數和熱流密度的分布曲線則可為傳熱管的整體換熱性能描述提供幫助。該模型及相關模擬分析可望為該類氣化器的設計、選型和運行管理提供參考。
參考文獻
[1]MORIMOTO N,YAMAMOTO S,YAMASAKI Y,et al.Development and practical application of a high performance open-rack LNG vaporizer(SuperORV)[R].Tokyo:International Gas Union,2003.
[2]陳永東,陳學東.LNG成套裝置換熱器關鍵技術分析[J].天然氣工業,2010,30(1):96-100.
CHEN Yongdong,CHEN Xuedong.A technical analysis of heat exchangers in LNG plants and terminals[J].Natural Gas Industry,2010,30(1):96-100.
[3]張韶.粵東LNG汽化器ORV的方案選擇及技術要素的分析[J].中國新技術新產品,2010,24(1):4-5.
ZHANG Shao.A technical analysis of heal exchangers in LNG plants and terminals[J].China New Technologies and Products,2010,24(1):4-5.
[4]杜光能.LNG終端接收站工藝及設備[J].天然氣工業,1999,19(5):82-86.
DU Guangneng.Technology and equipment for LNG receiving terminal station[J].Natural Gas Industrv,l999,19(5):82-86.
[5]呂俊,王蕾.浙江LNG接收站項目氣化器選型及系統優化[J].天然氣工業,2008,28(2):132-135.
LU Jun,WANG Lei.Selection of vaporizer types and optimization of vaporizer system in LNG receiving terminal project of Zhejiang Province[J].Natural Gas Industry,2008,28(2):132-135.
[6]張勇,常宏崗,艾志久,等.冷板式換熱反應器結構設計[J].石油與天然氣化工,2011,41(2):ll6-118.
ZHANG Yong,CHANG Honggang,AI Zhijiu,et al.Cold Plate Heat Transfer Reactor Structure Design[J].Chemical Engineering of Oil&Gas,20ll,41(2):ll6-ll8.
[7]陳永東.大型LNG汽化器的選材和結構研究[J].壓力容器,2007,24(11):40-47.
CHEN Yongdong.Material choice and structure research of large LNG vaporizer[J].Pressure Vessel Technology.2007,24(11):40-47.
[8]邢云,劉淼兒.中國液化天然氣產業現狀及前景分析[J].天然氣工業,2009,29(1):l20-123.
XING Yun,LIU Miao'er.Status quo and prospect analysis on LNG industry in China[J].Natural Gas Industry.2009.29(1):120-123.
[9]LIN Wensheng,ZHANG Na,GU Anzhong.LNG(1iquefied natural gas):A necessary part in China's ruturc energy infrastructure[J].Energy,2010,35(11):4383-4391.
[10]徐濟望.沸騰傳熱和氣液兩相流[M].北京:原子能出版社,2001:273-319.
XU Jijun.Boiling heat transfer and gels liquid two phase flow[M].Beijing:Atomic Energy Press,2001:273-319.
[11]CAREY V P.Liquid vapor phase change phenomena:An introduction to the thermophysics of vaporization and condensation processes in heat transfer equipmenl[M].Washington:Taylor&,Francis,2007.
[12]顧安忠,魯學生,汪榮順,等.液化滅然氣技術[M].北京:機械工業出版社,2004.
GU Anzhong,LU Xuesheng,WANG Rongshun,et al.Liquefied natural gas(LNG)technology[M].Beijing:China Machine Press,2004.
[13]CAO E.Heat transfer in process engineering[M].Chicago:McGraw Hill Companies,Incorporated,2009.
本文作者:王萌 金滔 湯珂 陳國邦
作者單位:浙江大學制冷與低溫研究所
您可以選擇一種方式贊助本站

支付寶轉賬贊助

微信轉賬贊助
