摘要 根據四川盆地川中地區上三疊統須家河組低滲透砂巖含水氣藏儲層、滲流及開發的靜、動態特征,構建了滲透率、孔隙度、含氣飽和度、有效儲層厚度、主流喉道半徑、閾壓梯度和可動水飽和度的儲層分類評價7參數體系,應用模糊分析法和灰色關聯度分析法建立了相應的儲層綜合分類評價方法,對18口氣井井控儲層進行了分類評價,并與常規評價結果和氣井產能進行了對比分析,進一步對目標區塊進行了區塊儲層評價。結果表明:新的儲層分類評價方法準確度達到90%,比常規評價方法提高了40%,驗證了該方法的可靠性和實用性。該研究成果對于川中地區須家河組低滲透砂巖含水氣藏富集區優選具有指導作用。
關鍵詞 四川盆地 川中地區 晚三疊世 低滲透砂巖氣藏 儲集層 喉道半徑 閾壓梯度 可動水飽和度 評價
高效開發低滲透砂巖含水氣藏的一個關鍵技術就是優選富集區[1-3],儲層綜合評價是富集區優選的基礎。四川盆地川中地區上三疊統須家河組低滲透砂巖氣藏開發過程中氣井產水現象普遍,產能受產水影響嚴重。常規低滲透儲層評價方法不能完全反映該氣藏特征[4-7]。因而,以孔隙度、滲透率、含氣飽和度和有效厚度為參數的常規儲層評價方法對該氣藏的儲層評價準確度低。需要尋求能全面反映氣藏儲層特點和開發特征的新評價參數體系,建立相應的儲層評價方法。
筆者結合氣藏儲層靜、動態特征提出了新的儲層分類評價參數體系,應用模糊分析法和灰色關聯度分析法建立了儲層綜合評價方法。
1儲層評價參數體系
常規儲層評價參數中的孔隙度、含氣飽和度和有效厚度綜合反映了儲量大小的信息,滲透率反映了儲量動用后滲流速度的信息。由于中、高滲透氣藏儲量動用率高,有了儲量和動用速度這兩方面的信息就能夠滿足儲層評價的要求,因而常規儲層評價方法能夠適用中、高滲透氣藏。而對于低滲透氣藏來講,儲量可動用性和儲量大小及動用速度同樣重要,常規儲層評價方法中沒有反映儲量可動用性的評價參數,因而不適用,需要采用一套能綜合反映這3方面信息的儲層評價參數體系才能夠正確評價低滲儲層。
儲量大小的信息能夠由常規儲層評價參數中的孔隙度、含氣飽和度和有效厚度綜合反映。需要補充能反映低滲透儲層儲量可動性方面的評價參數,由于川中地區須家河組氣藏高含水且產水現象普遍,因而包括氣相的可動性和水相的可動性。另外,低滲透氣藏滲透率與孔隙度沒有明顯的正相關關系,表明滲流能力受到微觀孔喉結構特征的控制,需要從微觀孔隙結構特征方面補充反映儲層動用速度方面的評價參數。
根據川中地區須家河組低滲透砂巖含水氣藏儲層、滲流及開發的靜、動態特征,參考常規油氣藏儲層評價參數,在孔隙度、滲透率、含氣飽和度和儲層有效厚度4個常規評價參數的基礎上又引進了3個新評價參數,即主流喉道半徑、閾壓梯度和可動水飽和度,構建了須家河組低滲透砂巖含水氣藏儲層綜合分類評價的7參數體系。
1.1 主流喉道半徑
喉道大小及分布是控制儲層滲流能力的關鍵。定義對滲透率累積貢獻達95%以前喉道半徑的加權平均值為主流喉道半徑。須家河組不同儲層巖樣主流喉道半徑和中值半徑與滲透率關系表明(圖1),主流喉道半徑隨滲透率的增加而增加,二者之間存在非常好的正相關關系;但是中值半徑與滲透率之間的相關性較差。這說明主流喉道半徑不僅能表征儲層基質的滲透能力,而且能夠反映儲層微觀孔隙結構特征。

儲層微裂縫不發育時,滲透率和主流喉道半徑都能反映儲層的滲流能力;當微裂縫發育時,滲透率反映整個儲層的宏觀滲流能力,而主流喉道半徑反映了儲層基質的孔隙結構特征和滲流能力。因此,主流喉道半徑應作為須家河組低滲透砂巖氣藏儲層綜合評價參數之一。
1.2 閾壓梯度
低滲透砂巖含水氣藏巖樣滲流實驗表明,當含水飽和度較高時,氣體滲流出現非達西流現象,存在閾壓梯度[8]。閾壓梯度與巖心滲透率及含水飽和度相關(圖2),巖心滲透率越低,含水飽和度越高,閾壓梯度越大。閾壓梯度可作為衡量儲層流動性強弱的指標,也是影響儲量動用程度的重要參數,因此,將閾壓梯度作為低滲含水儲層評價參數是必要的。

1.3 可動水飽和度
可動水飽和度是表征儲層中原生水可動程度的重要參數。川中地區須家河組致密砂巖氣藏原生水飽和度較高,部分水束縛于巖石表面和微細孔喉內,而賦存于較大孔喉內的水在一定的工藝措施和壓力下能隨氣體運移,成為可動水。儲層可動水飽和度能有效表征儲層產水特征,將其作為儲層評價參數,能反映儲層產水對產能的負面效應。
2 儲層分類評價方法
根據低滲透砂巖儲層分類參數和分類要求,應用模糊分析法和灰色關聯度分析法對川中地區須家河組低滲儲層進行分類評價和對比分析[9-12]。
2.1 模糊分析法
模糊分析法分類評價的主要步驟如下。
1)選擇m個評價指標、n個評價單元的矩陣。即

2)對矩陣R,確定出儲層單項指標最佳值,即求出相應向量G與B,由取大法則得:

3)確定各項指標的權重W。即

ωi愈大,說明評價指標i的影響越大。
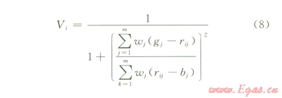
(4)計算儲層分類指標Vi,按Vi值分類排序或分類。即

由式(8)可以看出,儲層模糊評價值Vi介于0~1之間,Vi值越大,儲層物性越好。
2.2 灰色關聯度分析法
灰色關聯度法用于儲層分類研究的步驟如下。
1)確定比較數列和參考數列。
2)求關聯系數。
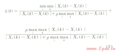
設X0={X0 (k)|k=1,2,…,m)為參考序列(又稱母序列),Xi={Xi (k)| k=1,2,…,m)(i=1,2,…,n)為比較數列(又稱子數列),則Xi(k)與X0 (k)的關聯系數定義為:

式中ρ為分辨系數,ρ越小表示分辨率越大,ρ的取值區間為[0,1],一般取0.5;
為所有比較序列各個指標絕對差的最小值;
為所有比較序列各個指標絕對差的最大值;| X0 (k)- Xi(k)|為第i個序列第k個指標與參考序列絕對差值。
3)求關聯度,按關聯度大小排序分類。

式中ω為加權系數,由專家評判法給出。
在求得關聯度后,即可對其進行排序,關聯度越大,儲層物性越好。
3 儲層分類評價標準
應用模糊分析法和灰色關聯度分析法對川中地區須家河組l8口氣井井控儲層進行了分類評價,所得的儲層分類評價標準如表l所示。將儲層分為4類:Ⅰ類儲層開發效果好,模糊評價值為0.86~1.00,灰色關聯度值為0.87~1.O0;Ⅱ類儲層開發效果較好,模糊評價值為0.65~0.86,灰色關聯度值為0.65~0.87;Ⅲ類儲層開發效果較差,模糊評價值為0.33~0.65,灰色關聯度值為0.50~0.65;Ⅳ類儲層無工業開發價值,模糊評價值為0~0.33,灰色關聯度值為0.33~0.50。

4 評價結果驗證
將儲層分類評價結果與常規分類結果及對應氣井產能進行了對比分析。結果表明,新分類評價結果與對應氣井的實際開發效果基本一致,符合率接近90%,比常規評價方法準確度提高了40%。
應用儲層評價方法對廣安2井區須六段儲層和廣安106井區須四段儲層進行了分類評價(圖3、4)。從圖中可以看出,廣安2井區須六段儲層中部南北向儲層為Ⅰ、Ⅱ類儲層;向東、西兩翼發展儲層逐漸變差,為Ⅲ、Ⅳ類儲層。因而,中部南北向為氣藏富集區,是氣藏開發的重點區域。廣安106井區須四段儲層整體為Ⅲ、Ⅳ類儲層,西北翼和南部儲層相對較好。

5 結論
1)結合川中地區須家河組低滲透砂巖氣藏儲層靜、動態特征,構建了滲透率、孔隙度、含氣飽和度、有效儲層厚度、主流喉道半徑、閾壓梯度和可動水飽和度的7參數儲層評價體系,應用模糊分析法和灰色關聯度分析法建立了相應的儲層綜合分類評價方法。
2)廣安2井區須六段儲層中部南北向為氣藏富集區,東、西兩翼儲層為Ⅲ、Ⅳ類儲層。廣安106井區須四段儲層整體為Ⅲ、Ⅳ類儲層,西北翼和南部儲層相對較好。
參考文獻
[1]袁士義,胡永樂,羅凱.天然氣開發技術現狀、挑戰及對策[J].石油勘探與開發,2005,32(6):1-6.
[2]康毅力,羅平亞.中國致密砂巖氣藏勘探開發關鍵工程技術現狀與展望[J].石油勘探與開發,2007,34(2):239-245.
[3]鐘兵,楊洪志,徐偉,等.有利區評價與優選技術[J].天然氣工業,2012,32(3):62-64.
[4]關文均,郭新江,智慧文.四川盆地新場氣田須家河組二段儲層評價[J].礦物巖石,2007,27(4):98-103.
[5]楊正明,姜漢橋,朱光亞,等.低滲透含水氣藏儲層評價參數研究[J].石油學報,29(2):252-255.
[6]陳昭國.川西拗陷與北美致密砂巖氣藏類比分析[J].西南石油大學學報:自然科學版,2012,34(1):71-76.
[7]楊正明,張英芝,郝明強,等.低滲透油田儲層綜合評價方法[J].石油學報,2006,27(2):64-67.
[8]朱光亞,劉先貴,高樹生.低滲透氣藏氣水兩相滲流模型及其產能分析[J].天然氣工業,2009,29(9):65-67.
[9]徐鳳銀,朱興珊,李士倫.油氣藏綜合評判中評價指標的定量化研究[J].石油勘探與開發,1994,21(6):10-14.
[10]熊聽東,王世澤,劉汝敏,等.致密砂巖氣藏儲量難動用影響因素及開發對策[J].西南石油大學學報,2008,29(4):77-80.
[11]宋子齊,譚成仟,曹嘉猷.灰色系統理論處理方法在儲層物性、含油性評價中的應用[J].石油勘探與開發,1994,21(2):87-94.
[12]羅洪濤,馬麗梅,熊燕莉,等.川西致密砂巖氣藏數值模擬研究[J].西南石油學院學報,2004,26(6):21-23.
本文作者:葉禮友 鐘兵 熊偉 劉華勛 胡志明
作者單位:中國石油勘探開發研究院廊坊分院 中國石油西南油氣田公司勘探開發研究院
您可以選擇一種方式贊助本站

支付寶轉賬贊助

微信轉賬贊助
