摘要 氣田調峰是天然氣調峰的主要方式之一,但目前國內關于天然氣產量配產優化模型主要適用于中長期規劃和年度計劃優化,而對于短期調峰產量優化配產方面的研究尚不多見。為此,分析了氣田調峰生產的性質及其對氣田全生命周期成本的影響,提出了產量波動指數,并以該指數衡量調峰生產的間接成本。在此基礎上,建立了以調峰生產期間的直接成本、間接成本最小為目標的多目標調峰配產優化模型。該模型綜合考慮了氣田各區塊的產量和總需求量約束,其特點是可以形成氣田不同區塊、井組的配產,為實現調峰生產作業的配產提供指導意見和方案選擇。該模型采用自適應遺傳算法求解,實例計算結果表明,其產生的一組Pareto解在綜合成本方面優于其他方法配產結果,并且所提供的一組解能為決策者提供更多選擇,因而實用性強。
關鍵詞 氣田調峰 短期調峰 配產優化 多目標優化 成本 產量波動指數Pareto 解集
2011年我國天然氣表觀消費量達l 290×
但是,目前國內關于氣田產量優化配置的研究主要集中在產量構成優化[4-7]方面,以產量、效益或成本為單獨優化目標,結合多年氣田實際開發數據,通過研究構成產量與優化目標的關聯關系,在一定投入產出約束條件下,建立優化模型。但上述優化模型僅僅適用于中長期規劃或年度計劃。而對于氣田短期應急調峰生產,由于不發生新增投資,需求量也是一定的,主要的投入體現在成本方面,所以目前已有的優化模型均不適用。本文針對這一現狀,通過研究氣田調峰各種成本,建立了氣田優化配產模型。
1 氣田調峰生產的成本
1.1 氣田調峰生產的間接成本
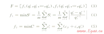
氣田調峰的實質是通過采用放大生產壓差等手段來提高單井產量,實現總量增產保障供應,是一種破壞原有穩定生產規律的做法。但天然氣開發與其他工業產品生產過程不同,不穩定生產大幅增加了對氣藏動態特征認識的難度,并將在一定程度上影響氣田最終采收率。此外,因不穩定生產需要實時調整開發方案、開采方式等,增加了工作量和工作難度。這些都構成了氣田因調峰引發不穩定生產的間接成本。這些間接成本并不一定在調峰當期表現,而是分布在氣田整個生命期內,難以度量。但這種間接成本的大小,與氣田產量的波動程度相關,因此提出氣田在時刻的產量波動指數St:

式中m表示氣田內的區塊數量;St表示區塊在時刻的產量波動指數;qit表示區塊在時刻的產量。為降低因調峰生產引起的間接成本,氣田應盡可能保持平穩生產,即盡可能減小氣田波動指數St。
1.2 氣田調峰生產的直接成本
氣田調峰生產的直接成本變化體現在操作成本的變化上。受氣藏類型、氣體性質、地理環境和開發階段、工藝技術不同的影響,不同區塊操作成本互不相同。因此,通常按照地質單元或產能建設單元將氣田劃分成相對獨立的生產作業區,并以生產作業區作為油氣成本核算單位,則對于同一作業區,天然氣物性、開采工藝等趨于相同,在特定研究期,有唯一的油氣成本值。
天然氣操作成本按規定由材料費、燃料費、動力費、生產人員工資、職工福利費、井下作業費、測井試井費、維護及修理費、天然氣凈化費、運輸費、其他直接費、廠礦管理費、自用天然氣產品等組成。根據天然氣操作成本性態分析,可將生產人員工資、職工福利費、廠礦管理費等不受產量變化影響費用歸集為固定成本,這部分成本不因產量變化而變化。將材料費中的化學藥品、燃料費、井下作業費、測井試井費、天然氣凈化費等與天然氣產量密切相關的費用歸集為可變成本[8],可變成本隨著產量的增加而增加。由此可獲得氣田產量與成本的關系:

式中Ct表示氣田在t時刻的總操作成本;cit表示區塊i的操作成本;cfi表示區塊i的固定成本;cvi表示區塊i的變動成本。
氣田調峰生產時,一定階段內總需求量和價格是確定的,因此在氣田不同區塊內配產時,成本是決定當期效益的直接指標。
2 氣田調峰生產優化模型
2.1 決策變量
由上述分析可知,調峰階段氣田內各區塊的產量決定了氣田生產的直接成本和間接成本,所以采用氣田內各區塊在t時刻的產量qti為決策變量。
2.2 目標函數
氣田調峰生產一般是通過在現有區塊上增加產量保障供給,不涉及新增投資,所以本文以滿足一定產量需求下的成本最低為模型優化目標建立目標函數。根據以上對調峰生產間接成本、直接成本的分析,提出氣田調峰生產中的優化模型的目標函數如下:

式(3)~(5)構成優化模型的目標函數,該函數以氣田產量變化幅度最小和氣田成本最小為優化目標,從而控制了因調峰生產發生的間接成本和直接成本。
2.3 約束條件
氣田調峰生產的目的是為了滿足特定需求量,同時,還要考慮各個區塊實際生產能力。因此,本模型的約束條件為:

式中Dt表示調峰期需求總量;Qi表示區塊的實際最大生產能力。
2.4 模型求解方法
以上建立的模型是一個具有多變量多約束的多目標優化問題(Multi-object programming,MOP)。MOP問題求解的難點在于:大多數情況下,各子目標可能是相互沖突的,需要權衡和折中處理,由此得到的解是一組均衡解,即Pareto最優解。Pareto最優解的定義為:在決策空間Ω中,對于任意解x,不存在x'∈Ω,使得F(x')=[f1(x'),f2(x'),…,fk(x')]優于F(x)=[f1(x),f2(x),…,fk(x)],則稱x為Ω上的Pareto最優解[9-10]。
遺傳算法(Genetic Algorithm,簡寫為GA)是一種模擬生命進化機制的搜索方法,通過模擬生物演化過程,從一個初始種群出發,不斷重復執行選擇、交叉和變異操作,使種群進化越來越接近某一目標,從而獲得最優解或滿意解。由于遺傳算法具備高度并行性,能很好地逼近非凸性或不連續的均衡曲線和曲面的能力,成為求解多目標優化問題應用較多的搜索算法。本文采用自適應遺傳算法[11]求解模型的Paret0前沿。
3 應用實例
A氣田6個主要區塊某年8~10月平均產氣量為7 917×

如果各區塊按需求增長量同一比例增長配產,則每個區塊增長產量21.25%,調峰期氣田滿足需求9 600×104 m3的總操作成本為1 413萬元/月,氣田產量波動指數為21.25。
筆者根據歷史數據建立各區塊產量、成本關系,根據需求總量、區塊標定產能建立優化模型,利用自適應遺傳算法求解,結果如表2所示。

表2給出模型的Pareto解集,該解集包含5個Pareto解,這5個解滿足約束條件,總操作成本介于1 395~1 403萬元/月,產量波動指數在14.3~15.6范圍內,均優于按同比例增長方案。決策者可以根據各區塊實際情況,在上述解中選取一組進行調峰配產。
4 結論
1)本文對氣田短期調峰生產的直接成本、間接成本進行分析,建立了綜合考慮氣田生命周期生產成本和調峰期成本的多目標優化模型,對氣田調峰產量優化有實際意義。與以往的調峰期增產集中在成本較低的區塊,或產量基數大的區塊的做法相比,建立的優化模型綜合考慮了以上兩個因素,避免了對低成本或高產量區塊的集中過度開發,對延長整個氣田的穩產期有較大意義。
2)對模型求解獲得一組Pareto解,與傳統單目標優化模型獲得一個解相比,能為決策者提供更多選擇,決策者可以根據實際情況及決策偏好進行決策,大大增加了優化模型的實用性。
3)利用自適應遺傳算法能很好地求解建立的多目標優化模型的Pareto前沿,但由于該模型變量為實數變量,如何提高算法穩定性是今后要重點研究的問題之一。
參考文獻
[1] 中國石油經濟技術研究院.2011年國內外油氣行業發展報告[M].北京:石油工業出版社,2012:143.
[2] 王亞莉,孔金平.天然氣開發投資現狀分析及政策建議[J].天然氣工業,2009,29(9):110-112.
[3] 朱紀憲,靳鳳蘭.不同天然氣調峰方式經濟比選研究[J].石油規劃設計,2011,22(1):16-19.
[4] 鄧勇,劉志斌,陸燕妮.天然氣開發五年規劃產量分配優化模型研究[J].鉆采工藝,2005,28(6):43 45.
[5] 鄧勇,劉志斌,陸燕妮.天然氣開發規劃產量構成優化模型及其應用[J].天然氣工業,2006,26(1):149-152.
[6] 趙金洲,盧立澤,劉志斌,等.氣田開發規劃產量分配優化模型及其應用[J].天然氣工業,2004,24(9):86-89.
[7] 馮曦,鐘兵,劉義成,等.優化氣井配產的多因素耦合分析方法及其應用[J].天然氣工業,2012,32(1):53-56.
[8] 茍建宏.長慶油田采氣一廠天然氣成本趨勢預測研究[D].東營:中國石油大學(華東),2009.
[9] 鄧勇,劉志斌,陸燕妮.自適應遺傳算法在氣田開發規劃產量分配優化模型中的應用[J].大慶石油地質與開發,2006,25(3):45-47.
[10] 王武,常毓文,曲德斌,等.產能建設項目兩目標優化模型及改進的蟻群求解算法[J].大慶石油地質與開發,2010,29(3):84-88.
[11] 李豐,常毓文,楊仕敏,等.油田開發產能建設項目的收益——風險目標優化模型[J].石油學報,2008,29(3):427-430.
本文作者:李豐 曲德斌 張曉輝 楊旸
作者單位:中國石油勘探開發研究院 中國石油天然氣集團公司辦公廳 中國石油遼河石油勘探局通信公司
您可以選擇一種方式贊助本站

支付寶轉賬贊助

微信轉賬贊助
