摘要 為了保障人工爆破施工環境下天然氣管道的安全運行,以管道典型第三方作用爆破施工為對象,通過分析天然地震波傳播特性、波形和頻譜特性,以峰值加速度指標作為地震主要動參數,采用期望反應譜作為目標譜,基于SIMQKE-GR程序模擬了人工地震加速度波形圖,建立了基于有限單元法地基梁-土彈簧45型的爆破地震作用下管道地震響應有限元模型,得到了管道在爆破地震作用下的位移、應力和管道應變隨時間的變化特性:若管道長度大于
關鍵詞 輸氣管道 人工爆破地震 動力響應 SIMQKE-GR程序 地基梁-土彈簧模型
近年來,管道在第三方作用下所發生的泄漏、爆炸、火災等事故,從一定程度上影響了石油工業的推進與發展。廣義的“第三方作用”是指由于非管道員工的行為而造成的所有管道意外傷害,其作用方包括了人為第三方作用因素,也包含了自然作用,如土壤移動(滑坡、泥石流、塌陷和洪水),以及地表荷載(爆破施工、違章建筑占壓管道和地面活荷載)引起的管道變形。人工爆破也已經嚴重威脅到管道安全。因此,有必要對于此類問題在理論上進行系統分析,為管道安全運行提供保障[1-2]。
1 爆破地震實測特性以及人工模擬
1.1 爆破地震實測特性分析
通過分析爆破地震對地下管道結構的破壞響應,通常認為爆破地震運動加速度是管道響應的主要激勵源之一,將強震加速度記錄作為結構的動力輸入,采用動力分析方法對管道進行位移、應變和應力分析,從而確定管道的易損概率。然而,片面采用其他地方記錄的強震信號來作為動力參數輸入不能完全反映實際管道場地特征,因此,對于人工爆破地震宜采用預定條件下人工模擬爆破地震波信號對管道結構進行動力反應分析。對現場實際監測數據進行分析發現:管道監測點的垂直方向速度和加速度值均大于徑向和切向兩個方向的速度值和加速度值;爆破地震水平切向的持續時間相對于垂直方向的持續時間較長,而水平徑向上的持續時間則不具有規律性;垂直方向的主頻率值相對于水平徑向和水平切向的主頻率值偏大,同時三向振動主頻率主要集中在10~150 Hz,如果埋地輸氣管道的固有頻率與爆破地震主頻率接近時管道受爆破地震破壞的可能性較大;炸藥量增加會使得地震波主頻率降低,對埋地輸氣管道的破壞性越大[3-6]。
1.2 爆破地震波函數構造
人工地震波的模擬最早出現在天然地震工程分析中,隨著人們關于爆破地震對結構動力響應分析的深入研究,這種方法也逐步運用到爆破地震分析。人工合成爆破地震波通常包括2種方法:模擬目標譜的人工波和模擬震源、震中距和場地參數的人工波[7-8]。
構造單項爆破地震波,必須已知波的3個要素和測點爆心距。爆破地震波的3個要素包括波的主頻率和頻率譜構成、波的峰值大小即振速和加速度峰值、波的持續時間。波的頻率譜構成常采用2種譜來表示:富氏譜和反應譜。在工程爆破地震分析中多采用反應譜或者建立富氏譜與反應譜的對應關系,計算出相應的反應譜作為目標譜,再依據振幅的峰值與波的持續時間,以及包羅函數來建立該反應譜的爆破地震波。假設地震波由一系列的三角波疊加而成,用Sv(t)表示組成的平穩波,則:

式中Ai為對應某頻率為ωi,的振幅值;Ψi為初相位角,考慮到三角波具有隨機性,初相位角取[0,2π]內的隨機均勻數;n為該波的頻帶范同內的不同振幅與頻率波的個數;t為時間值。
將上述平穩波Sv (t)非平穩化,即得到要構造的爆破地震波Wv (t),表示為:

式中¢(t)的為外包絡線形狀函數,可以用下述公式確定。

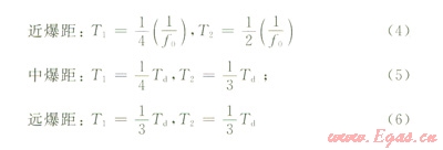
式中的T1和T2可以按照爆距來確定。

式中f0為爆破地震波的主頻率;Td為爆破地震波的持續時間。
根據設計要求,確定模擬點爆破地震波動的標準反應譜曲線作為目標譜,計算初步模擬得到的地震波形的反應譜曲線,將其和目標譜進行比較,如果兩個譜值一致,而且波的峰值與設計相同,則可以認為波形為所求的地震波形,一般經過幾次修正的試算,就可以得到滿意的結果,但是要讓兩者完全一致是難以達到的,此時通常對峰值給出一個誤差允許值εv (2%~5%),設計峰值Vmax與人工構造的地震波峰值V'max滿足下式:

同時設計譜值βvi (i=1,2,…,n)與人工構造的爆破地震波的反應譜值βvi '(i=1,2,…,n)二者的差值也要滿足給定的允許誤差值Δβvi(2%~5%),即

1.3 爆破地震波人工模擬
日前反應譜理論在結構工程抗震設計中己被廣泛應用,國內工程爆破界早已將反應譜理論引入到爆破地震動的研究中來,并根據不同類型的許多爆破地震實測數據,通過計算作出了抗震設計反應譜,把期望反應譜作為目標譜基于SIMQKE-GR程序設定不同的場地參數,從而獲得地震加速度波形。假定地震基本烈度為8度,場地土為Ⅲ類條件下,通過設定目標反應譜構成人工模擬地震波。基本情況如下:地面運動最大加速度最大值為

2 埋地輸氣管道的爆破地震動力響應分析
在地震波作用下,場地土中的不同質點產生相對位移,使管道產生軸向和橫向變形。通常認為:對于斷面不大的地下直埋管道,與軸向應力相比其彎曲應力很小。而由于管道的自身重量較小,且周圍土體對管道有較大的約束,周圍地基土有很大的阻尼,因而不能進行過分的振動,即在地震波作用下的埋地管道動力放大效應很小,其主要的內力和變形是由于場地各點的相對位移造成的。而在波動影響中,與地震波傳播方向平行的埋地管道的破壞程度要嚴重得多,即沿埋地管道軸向傳播的地震波更容易使管道破壞,筆者主要針對地震波沿管道軸向傳播時管道系統的最危險截面的最大應力和最大位移進行地震響應分析。
2.1 地基梁-土彈簧有限元模型
以梁模型為主建立基于有限單元法地基梁-土彈簧模型,采用彈性地基上的連續梁模型,以土彈簧模擬管土之間的相互作用,直接輸入模擬出的人工爆破地震波,使土體產生和地震記錄相同的運動,由于土彈簧的存在,帶動管道和土體共同運動,同時考慮土彈簧單元和管道單元的非線性特征。地下管道看作彈性地基上的連續梁,管土之間的相互作用通過沿管道分布的三向非線性土彈簧來模擬。直接輸入人工模擬爆破地震波,使土體產生和地震記錄相同的運動,由于土彈簧的存在,帶動管道和土體共同運動,用ANSYS軟件的瞬態分析功能對模型進行時程分析,沿管道分布的非線性土彈簧分為3個方向:管軸方向(水平切向)、水平橫向(水平徑向)和垂直方向的定向土彈簧。這3個定向彈簧分別用來考慮管軸方向的土摩擦力、水平橫向及垂直方向土壓[9-10]。
2.2 爆破地震波作用下管道動力響應
為了近似地模擬地震波傳播引起具有空間差異的場地運動,用具有遠大于對應管段質量的質量單元附加在模擬管土相互作用的三向彈簧末端。在模擬地震作用時,t時刻在左端第一個質量單元上施加集中力(F1):

式中a(t)為t時刻的地震加速度值。
依次在左端第i點質量單元都施加上集中力(Fi):

式中t0為地震波通過兩彈簧間距離所需要的時間。
2.3 實例分析
某埋地輸氣管道輸送壓力為8 MPa,管材為X52,管徑為

研究發現當分析管道長度大于200 m,邊界條件對所取管段中間部位的反應影響很小,可以忽略,因此,管道中部的響應就可以代表整個管道中大多數位置的響應程度。通過得到管道中間點與它對應質量單元的軸向位移,將管道中間點位移變量與土壤位移變量相減得到相對位移變量,就反映出爆破地震中管道與土壤的相對位移。
圖8顯示了管道50號節點von-mises等效應力在整個爆破地震波作用周期內的變化趨勢,在第4.8 s時管道中間節點應力達到170 MPa,仍然處于彈性階段。由于描述地震破壞作用的主要參數是軸向應變,而此算例的軸向應變最大值為0.0011,與采用抗震規范法中計算出的最大軸向應變為0.001 3極為接近,也證明了模擬結果的準確性。
3 結束語
筆者所做的爆破地震作用下的管道動力反應分析是在空管狀態下的研究結果,國內對于此類問題的現場爆破實驗也是空管狀態下進行的,這與管道實際的帶壓狀態有一定的出入。考慮到輸氣管道具有向高承壓、大口徑方向的發展趨勢,因此,有必要在后續的研究過程中引入流固耦合分析,從而更加準確地了解管道在爆破施工甚至天然地震作用下的動力反應,為油氣管道的安全輸送提供保障。
參考文獻
[1] 張林,林從謀.爆破震動對土質邊坡動力穩定性影響研究[J].巖土力學,2005,26(9):1499-1501.
[2] NIWA H,FUKUIDA H,SASAKJ Y,et al. Seismic evaluation of magnetic disc drives[J].Transactions of the Japan Society of Mechanical Engineering Council,1996,62(11):4161-4167.
[3] LING H I,CHENG A H D. Rock sliding induced by seismic force[J].International Journal of Rock Mechanics and Mining Sciences,1997,34(6):1021-1029.
[4] 劉維柱,何子成,王引生,等.田灣核電站深孔爆破震動加速度反應譜分析[J].工程爆破,2004,10(4):75-80.
[5] HINDY A,NOVAK M. Earthquake response of underground pipelines[J].International Journal of Earthquake Engineering and Structure Dynamics,1979,7(5):451-476.
[6] ARIMAN T,MULESKI G E.A review of the response of buried pipelines under seismic excitations[J].International Journal of Earthquake Engineering and Structure Dynamics,l981,9(2):133-152.
[7] 趙林,馮啟民.埋地管線有限元建模方法研究[J].地震工程與工程振動,2001,21(2):53-57.
[8] 胡曉娜.埋地管線的地震響應分析[D].北京:北京交通大學,2007.
[9] 王前信.地面運動相位差對單層長建筑抗震分析的影響[R].北京:中國科學院工程力學研究所,1966.
[10] 屈鐵軍,王前信.地下管線多點地震激勵縱向振動的級數解[J].地震工程與工程振動,1993,l3(4):39-45.
本文作者:彭星煜梁光川 張鵬 喻建勝 何莎 宋日生
作者單位:西南石油大學 中國石油川慶鉆探工程公司安全環保質量監督檢測研究院
您可以選擇一種方式贊助本站

支付寶轉賬贊助

微信轉賬贊助
