摘要:介紹全預混商用燃氣灶具的燃燒系統,分析不同調節閥的工作流量特性。通過建立數學模型,確定全預混商用燃氣灶具燃氣閥門與空氣閥門的合理聯動關系,以保證灶具的空燃比。考慮風機工作點偏移以及使用習慣,對聯動關系進行優化。
關鍵詞:全預混; 燃氣灶具; 閥門; 空燃比; 流量特性
Analysis on Flow Characteristics of Valve for Controlling Air-gas Ratio of
Abstract: The combustion system of fully premixed commercial gas range is introduced,and the working flow characteristics of different regulating valves are analyzed. The rational linkage relationship between gas valve and air valve for fully premixed commercial gas range is determined by building a mathematical model to ensure the air-gas ratio of gas range. The linkage relationship is optimized considering operating point shift of fan and use habit.
Key words: fully premixed type;gas range;valve;air-gas ratio;flow characteristic
1 概述
目前商用燃氣灶具產品存在著諸多問題急待解決和完善,這些問題包括:在用產品不合格率較高、熱效率偏低等。商用燃氣灶具產品節能減排的潛力很大。據測算,如果餐飲業都改用節能燃氣灶具,僅北京市每年可節約天然氣5 000×104 m3,相當于全市商用燃氣灶具一個月的天然氣使用量。因此,采用新技術提高燃氣灶具的熱效率,降低一氧化碳和氮氧化物排放量的工作迫在眉睫。
全預混式燃燒技術是一種高效率、高熱強度的燃燒方式。發揮全預混式燃燒技術的優點,開發高效節能的全預混燃氣灶具是大勢所趨[1]。研究表明,全預混燃燒器在抑制污染物生成方面有較好效果,合理沒計全預混燃燒器可以實現低N0x、C0排放[2]。但是,如何保證全預混商用燃氣灶具空燃比是一個較大的難題。在理想情況下,空氣與燃氣按設計的空燃比預先混合,能使混合氣體燃燒完全,而且排煙熱損失較少,但實際情況往往并非如此。閥門流量特性差異、風機工作點偏移、用戶的使用習慣等,都會造成空燃比不合理,從而造成燃燒器無法正常工作。因此,控制好空燃比對于全預混商用燃氣灶具來說至關重要。
一般全預混商用燃氣灶具通過燃氣閥門與空氣閥門直接聯動的方式來控制空燃比,即燃氣閥門與空氣閥門通過鏈條等比例轉動開閉的方式進行控制。該調節過程往往無法達到滿意的效果。本文依據不同閥門的流量特性,考慮外界干擾量的影響,通過建立準確的數學模型分析燃氣閥門與空氣閥門間的聯動關系,從而保證全預混商用燃氣灶具空燃比的準確性。
2 全預混商用燃氣灶具的燃燒系統
全預混商用燃氣灶具的燃燒系統主要包括:全預混燃燒器、燃氣閥門、空氣閥門、風機、管道、聯動機構等,見圖l。其中聯動機構是以燃氣閥門的開度為信號,對空氣閥門進行開度控制,有機械傳動與電子傳動兩種方式。

實現燃氣閥門與空氣閥門的合理聯動,即是保證燃燒器的空燃比與設計值相等。需要找出燃氣閥門在不同開度下的實際流量,由燃氣實際流量及設計空燃比值確定所需的空氣流量。然后依據空氣閥門的實際工作流量特性,確定所需的空氣閥門開度。最后由兩者之間的閥門開度對應關系設計聯動機構。
3 數學模型
調節閥的流量特性是指流體介質流過調節閥的相對流量與調節閥的相對開度之間的特定關系,分為理想流量特性及工作流量特性。調節閥前后壓降固定時,所得到的流量特性稱為理想流量特性。即:

式中 q——調節閥在某一開度時的流量,m3/s
qmax——調節閥全開時的流量,m3/s
f——函數
l——調節閥在某一開度時閥芯的行程,mm
lmax——調節閥全開時閥芯的行程,mm
R——調節閥的可調比
常見的調節閥理想流量特性有直線流量特性、等百分比流量特性、快開流量特性和拋物線流量特性4種類型,見圖2。

實際使用時,調節閥安裝在具有一定阻力的管道上。閥門開度變化在改變流量的同時也改變管道的阻力,因此在同一開度下,通過調節閥的實際相對流量與理想流量有一定偏差。通過調節閥的實際流量與相對開度的特定關系稱為閥門的工作流量特性,關系式見式(2)。等百分比調節閥的工作流量特性見圖3。

式中 qs——存在管道阻力時調節閥在某一開度時的實際流量,m3/s
ql00——存在管道阻力時調節閥的實際全開流量,m3/s
fR——函數
SV——閥權度,表示調節閥全開時閥前后壓差與系統總壓差的比值
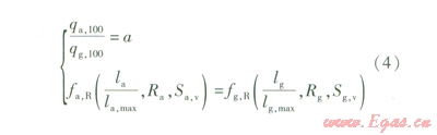
欲使全預混商用燃氣灶具的實際空燃比值等于設計空燃比值。,選用的閥門應該滿足兩個條件:第一,兩閥門都在最大開度下,實際空氣流量qa,l00等于實際燃氣流量qg,l00的a倍;第二,燃氣閥門相對開度減小后,調節空氣閥門的相對開度,能夠保證空氣閥門的相對流量值等于燃氣閥門的相對流量值。即:

式中qa,l00、qg,l00——存在管道阻力時空氣、燃氣調節閥的實際全開流量,m3/s
a——設計空燃比
qa,s、qg,s——存在管道阻力時空氣、燃氣調節閥在某一開度時的實際流量,m3/s
依據不同閥門的工作流量特性關系式,可知燃氣閥門與空氣閥門之間相對開度的對應關系式為:

式中 fa,R、fg,R——函數
la、lg——空氣、燃氣調節閥在某一開度時閥芯的行程,mm
la,max、lg,max——空氣、燃氣調節閥傘開時閥芯的行程,mm
Ra、Rg——空氣、燃氣調節閥的可調比
Sa,v、Sg,v——空氣、燃氣調節閥的閥權度
可見,不同的調節閥之間具有不同的對應關系。要得到合理的空燃比,必須對燃氣閥門及空氣閥門的工作流量特性關系進行分析,按實際流量變化設計聯動機構,使燃氣閥門與空氣閥門對應聯動。
4 閥門開度計算
球閥是等百分比流量特性調節閥,具有流通能力大、開關行程短、噪聲小等優點。因此,一般全預混商用燃氣灶具都采用球閥作為調節閥。
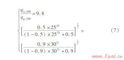
以可調比為25、閥權度為0.5的球閥作為空氣閥門;以可調比為30、閥權度為0.9的球閥作為燃氣閥門;設計空燃比取9.8。根據球閥的特性公式,得到該空氣閥門的工作流量特性關系式見式(5),燃氣閥門的工作流量特性關系式見式(6)。

依據以上分析及等百分比流量特性的數學表達式,兩閥的最大流量及相對開度對應關系需滿足以下條件:

經計算,欲使全預混商用燃氣灶具的實際空燃比等于設計空燃比,不同燃氣閥門相對開度對應的空氣閥門相對開度見表1。

由以上關系式,還可得到燃氣閥門與空氣閥門直接聯動,空氣的實際相對流量與所需相對流量的偏差,見表2。

由表2可知,直接聯動模式下,空氣閥門不同開度的實際相對流量與所需相對流量都有一定程度的偏差。相對開度為80%時偏差達25%,相對開度為20%時,偏差達57%,已經不能使燃燒器穩定燃燒,火焰可能熄火。
5 干擾控制及優化
①風機工作點偏移的干擾
實際工作中,風機會受到管道及附件阻力的影響,風機工作點有一定偏移,從而影響風機的全壓[3]。特別是在灶具熱負荷較小時,空氣閥門開度較小,風機末端的阻力較大,流量將大大減小,流量減小又間接影響到空氣閥門的壓降。因此,設計全預混商用燃氣灶具時,為了更準確地控制空燃比,還需要對選用的風機及管路進行一定的實驗測試,由測試結果對空氣閥門與燃氣閥門之間的關系做一定的修正。
②低負荷分段控制
商用燃氣灶具一般是在最大熱負荷下工作,很少情況是部分負荷,小負荷則基本不會使用。調節閥在小開度時,流速大,阻力大,閥體振蕩明顯,穩定性差。有研究建議調節閥的最大相對開度應盡量保持在90%左右,最小相對開度應不低于l0%[4]。因此,為了使燃燒器能夠更穩定工作,全預混商用燃氣灶具應該考慮分段控制。
對球閥的工作流量特性曲線分析可以發現,相對開度大于40%時,球閥的相對開度與相對流量接近線性關系,調節性能良好。因此,建議全預混商用燃氣灶具相對開度小于40%時關閉閥門,停止工作。
另外,考慮到商用燃氣灶具的烹飪習慣,建議將燃氣閥門相對開度設置成3~4檔,以利于實際操作,同時降低控制難度。
6結論
①直接聯動往往不能達到設計所需的空燃比,以本文為例,偏差甚至高達57%,燃燒器無法正常燃燒。
②對應聯動能較好地保證燃燒器的設計空燃比,使燃燒器穩定工作。全預混商用燃氣灶具的閥門聯動機構應該通過分析閥門工作流量特性進行設計。
③全預混商用燃氣灶具設計時應該考慮風機工作點偏移,對空氣閥門與燃氣閥門之間的關系做一定的修正。
④從實際使用習慣看,在小負荷下直接關閉燃氣閥門,使全預混燃燒器停止工作是一種值得考慮的節能設計思路。
⑤建議將燃氣閥門相對開度設置成3~4檔,以利于實際操作,同時降低控制難度。
參考文獻:
[1] 張敏.全預混燃燒技術在燃氣具中的應用原理[J].現代家電,2010(8):57-58.
[2] 徐鵬,傅忠誠.燃氣全預混燃燒污染物的排放研究[J].煤氣與熱力,2005,25(12):15-17.
[3] 蔡增基,龍天渝.流體力學 泵與風機[M].北京:中國建筑工業出版社,1999:313-317.
[4] 楊偉,劉傳聚.變流量系統調節閥的實際運行特性分析[J].建筑熱能通風空調,2010,29(4):21-23.
本文作者:朱禹洲 高春梅 孫俊芳 王宇
作者單位:北京市燃氣集團研究院
您可以選擇一種方式贊助本站

支付寶轉賬贊助

微信轉賬贊助
