摘 要 庫容量是地下儲氣庫工作氣量設計的前提和基礎,根據國家能源戰略需求,計劃在鄂爾多斯盆地榆林氣田南區下二疊統山西組山2段氣藏建設地下儲氣庫。該氣藏的北部與榆林氣田長北合作區儲層連通,榆林氣田南區山2段儲層則為大面積分布砂體的一部分,在此建設儲氣庫面臨兩個難點:①低滲透巖性氣藏動態儲量如何準確評價;②榆林氣田南區局部建庫,為防止氣體外溢到長北區,如何在邊界處設置緩沖區,從而確保南區儲氣庫的可用庫容量。為此,首先在獲取準確的動態資料基礎上,利用壓降法、物質平衡法和產量不穩定分析法等綜合評價了南區的動態儲量,然后通過氣藏工程方法、數值模擬方法以及現場動態監測試驗研究了壓力傳播速度,明確了緩沖區距離及庫區范圍,最終確定了榆林南區儲氣庫庫容量:一年一周期建設儲氣庫容量×1,兩年一周期建設儲氣庫容量×2,三年一周期建設儲氣庫容量×3。
關鍵詞 鄂爾多斯盆地 榆林氣田 地下儲氣庫 庫容量 低滲透巖性氣藏 局部建庫 壓力傳播速度
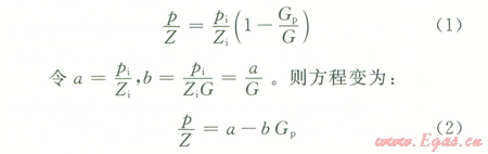
1低滲透巖性氣藏動態控制儲量的計算
針對鄂爾多斯盆地榆林氣田南區測壓資料少、氣井生產工作制度相對穩定的特點,充分利用已有的動態資料,采用多種方法綜合計算了南區的動態儲量[1-4],為儲氣庫建設庫容量的確定奠定了基礎。
1.1壓降法
該法要求關井測壓數據點盡可能多,壓力恢復平穩。其基本原理為:

由式(2)可知,對于定容封閉氣藏,視地層壓力(p/Z)與累計采氣量(Gp)為直線關系。根據不同階段視地層壓力與相應累計采氣量的回歸直線可求得氣井動儲量。壓降法適合采出程度大于10%,且至少具有兩個關井壓力恢復數據點的井。采出程度過低,壓力、產量誤差對計算結果影響較大。
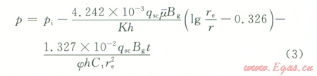
1.2流動物質平衡法
根據滲流力學理論,對于封閉氣藏中定產生產井,當處于擬穩定流動時,在任意一點處有:

若考慮流體物性不隨時間t變化,則上式對時間t求導可得:

由式(4)可知,當氣井進入擬穩定滲流狀態時,地層各點壓降速率相同,即在不同時刻壓降漏斗是一系列平行曲線,近似認為視井口壓力與視地層壓力變化特征相同,則根據視井口壓力與累計產氣量的關系曲線可確定直線段斜率,然后平移至視原始地層壓力點,該直線與橫軸的交點即為單井控制儲量。此方法對榆林氣田的適應性強,滿足榆林氣田測壓資料少,井El生產相對穩定的特點。
1.3產量不穩定分析法
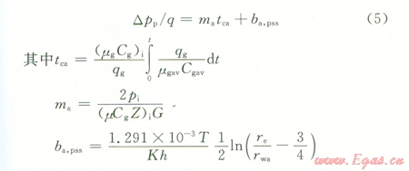
封閉氣藏單項氣體擬穩定狀態流動時,有

根據氣井的原始地層壓力、井底流壓及相對應的產量數據,就可以根據式(5)作△pp/q—tca的關系曲線,可見兩者為線性關系,斜率為ma,利用斜率可以求解氣井動態控制儲量。即

目前已有軟件能夠實現圖版擬合,從而可以計算氣井的控制半徑、控制儲量、滲透率等參數。
對于低滲透氣藏,當氣井生產達到一定階段后,利用產量不穩定分析法計算的結果是可靠的,即該時刻氣井進入了擬穩定狀態,壓力波及了氣井所能控制的全部范圍。該方法對氣井生產動態數據要求不高,適合于工作制度不穩定的氣井,具備廣泛使用的條件,但該方法實質是通過分析確定氣井控制半徑,利用容積法計算氣藏儲量,對非均質氣藏存在一定的誤差。
2壓力傳播速度研究
國內外常規儲氣庫建設是以氣藏具有圈閉性為前提。經過地質論證,榆林氣田南區與長北合作區交接處相互連通,為防止氣體外溢到長北區,需要在邊界處留出緩沖區,因此榆林氣田南區地下儲氣庫建設必須考慮與長北合作區連通處的控制問題。通過調研及分析,借鑒國外關于礦權處理經驗,可在邊界處打監測控制井,同時根據儲氣庫建設注采周期長短,庫區邊界距離長北邊界處保持一定距離,以控制氣體外溢。筆者采用氣藏工程和數值模擬方法,對榆林南儲氣庫建設區壓力傳播速度進行研究,得到不同注采周期條件下壓力波傳播的距離,由此明確了庫區實際范圍,并通過現場動態監測試驗驗證了研究的準確性。
2.1氣藏工程方法
一口油氣井開井生產后,井底壓力開始下降,壓力降向地層深部逐漸擴展,形成一個壓降漏斗,隨著時間的推移,壓降漏斗不斷擴大。按照影響半徑的定義,在ti時刻,壓降漏斗的邊界擴展到ri位置,當r<ri時,地層中的這些部位已受到生產井的擾動;而對于r>ri的部位,地層尚未受到任何擾動,壓力未發生變化。
計算影響半徑的公式[5]為:

根據影響半徑計算公式,取榆林南儲氣庫建設區儲層孔隙度為0.06,天然氣黏度為0.02 mPa·s,綜合壓縮系數為0.02 MPa-1,分別對滲透率為0.5~6.0mD等不同條件下傳播時問與壓力影響半徑進行計算,繪制壓力傳播時間與距離關系圖版(圖1)。

為研究壓力傳播速度,榆林南儲氣庫建設前期評價部署4組干擾試驗。資料分析表明,其中5口觀測井可以明確干擾時間(表1)。利用試井解釋儲層物性滲透率[6]、井距及觀察井干擾時間等資料,將干擾試驗分析點繪制在理論關系圖版上,從試驗分析結果可以看出,現場試驗測試點基本都落于圖版區域,滲透率區間與實際儲層特征相符,說明該圖版可靠性高,滿足工程精度(圖1)。

基于理論圖版的可靠性,取南區與長北邊界處儲層滲透率為4.0 mD時(榆林南區試井解釋及巖性分析平均滲透率),在不同的儲氣庫注采周期條件下,得到了緩沖區合理設置距離。在1、2、3年注采周期下,壓力影響半徑分別為4.2 km、5.9 km和7.2 km,這即為合理的緩沖距離(圖2)。

2.2數值模擬方法
利用榆林氣田參數建立數值模擬模型,在離邊界4.5 km處設置虛擬水平井,通過向水平井注入氣體,運行模型,觀察壓力傳播情況。為了放大觀察效果及模擬儲氣庫運行狀況,設置南區壓力注入前地層初始壓力20 MPa,長北區地層初始壓力l0 MPa。
根據數值模擬軟件運算結果,繪制典型剖面壓力分布圖,當注入7個月后井底壓力達到28 MPa,壓力逐漸向外為擴散,若假設不注條件下,由于南區和長北合作區壓力差的存在,壓力波也會隨時間的延長向外擴散。用以上兩個壓力剖面相減,即可得到壓力剖面上注采過程中不同距離與壓力差之間的關系(圖3)。設置可以觀察的基準壓力值,即可得到不同注采周期下,壓力波的傳播距離在1、2、3年的注氣周期下壓力波傳播距離分別為4. km、6.1 km和7.6 km。

氣藏工程及數值模擬研究結果基本一致(表2),表明其研究結果可靠。

3不同注采周期下實際庫容量
根據動儲量評價方法,多方法綜合計算得出榆林南區動儲量,再根據壓力傳播速度研究結論,得到不同注采周期條件下的實際庫容量。
在1、2、3年的注氣周期下,壓力分別傳播到距離長北邊界的第三排、第四排和第五排井附近。為有效控制不同注采周期下氣體向長北外溢,扣除相應井面積內控制儲量,得到不同注采周期下儲氣庫實際庫容量:一年一周期建設儲氣庫庫容量×1,兩年一周期建設儲氣庫庫容量×2,三年一周期建設儲氣庫庫容量×3。
4 結論
1)分析了適合低滲透氣藏的多種動儲量計算方法,并評價了榆林氣田的動態控制儲量,結果可信度高。
2)針對榆林南區局部建儲氣庫的特殊性性,利用氣藏工程及數值模擬兩種方法進行了壓力波傳播速度研究,明確了緩沖區距離。
3)在落實緩沖區基礎上,準確評價了榆林氣田局部建庫的庫容量,為儲氣庫建設工作氣量等參數設計提供了依據。
符號說明
G為氣井控制動儲量,
參考文獻
[1] 王鳴華.一種計算氣井控制儲量的新方法[J].天然氣工業,1996,16(4):50—53.
[2] 劉曉華.氣藏動態儲量計算中的幾個關鍵參數探討[J].天然氣工業,2009,29(9):71-74.
[3] 張明祿.長慶氣區低滲透非均質氣藏可動儲量評價技術 [J].天然氣工業,2010,30(4):50-53.
[4] 鄧惠,馮曦.復雜氣藏開發早期計算動態儲量方法及其適用性分析[J].天然氣工業,2012,32(1):61-63.
[5] 莊惠農.氣藏動態描述和試井EM].北京:石油工業出版社,2008.
[6] 劉能強.實用現代試井解釋方法[M].北京:石油工業出版社,2002.
本文作者:余淑明 盧濤 劉志軍 蘭義飛 樊友宏
作者單位:中國石油長慶油田公司蘇里格氣田研究中心 中國石油長慶油田公司勘探開發研究院 中國石油長慶油田公司氣田開發處


