摘 要 在裂縫性致密砂巖儲層中,鉆井液侵入裂縫是導致儲層損害的主要因素之一。然而,目前國內外對該類儲層鉆井液侵入深度的分析還缺乏深入探討。為此,在分析致密砂巖裂縫發育特征及鉆井液侵入對其電性特征影響的基礎上,給出了鉆井液侵入深度的定性分析表;進而采用體積模型法和數理統計法,建立起了不同裂縫系統的鉆井液侵入深度定量計算模型。最后,精細計算了塔里木盆地中部某區9口井l7個層位的裂縫性致密砂巖儲層的鉆井液侵入深度。結果表明,所建立的模型因很好地結合了地質、鉆井、測井等客觀實際(綜合考慮了地層裂縫特性、巖性、電性、物性、含流體性質),計算精度較高,有效地解決了裂縫性致密砂巖儲層鉆井液侵入深度的定量計算問題。該成果對類似儲層的污染評價、射孔設計以及開發過程中增產措施的決策都具有指導和借鑒作用。
關鍵詞 致密砂巖 裂縫(地質) 鉆井液 侵入深度 定性分析 定量計算 實例
在砂泥巖剖面中,大多數裂縫分布在致密巖層,裂縫的存在會增加地層的非均質性,破壞隔層的封隔性,導致地層更容易污染或損害。目前,用測井方法對鉆井液污染裂縫性砂巖儲層的解釋評價,在國內外還仍然是一個難題。近年來,我國一些低滲油田在進行鉆完井、射孔等作業時,越來越注意到裂縫對鉆井液侵入的影響。如新疆火燒山油田、塔里木的塔中油田等,由于裂縫的影響導致鉆井液對儲層的污染變得復雜化。《天然氣工業》在2004—2006年間先后刊出3篇與鉆井液侵入、污染地層有關的文章[1-3],涉及鉆井液液相、固相侵入深度的定量計算以及鉆井液污染儲層程度的評價方法研究,但均沒有探究到裂縫性砂巖儲層鉆井液侵入深度的定量分析,國內外其他刊物也沒有談及類似話題。隨著勘探難度的不斷增加,人們越來越重視對低孔低滲致密裂縫性砂巖儲層的勘探開發,準確計算出鉆井液對這類儲層的侵入深度對評價鉆井液對儲層的污染,以及對射孔設計和后期開發過程中增產措施的決定有著極其重要的作用。
1 致密砂巖儲層裂縫發育基本特征
裂縫性致密砂巖儲層的基本地質特征是裂縫形態多樣、但裂縫規模大小不一、裂縫與巖石基塊的物性差別小[4-6]。由于這類儲層往往屬于低孔低滲型,巖石致密且較脆,因此裂縫較發育。如對塔中地區大多數井具有裂縫的巖心進行巖心掃描分析發現,裂縫形態差異較大,有開啟裂縫和所謂的潛裂縫,有的裂縫表面有擦痕,有的裂縫內有充填物(多為鈣質),有的為鉆井液浸染。裂縫規模、強度較碳酸鹽巖中的裂縫要小得多,一般裂縫延伸只有幾十厘米,在鉆井、壓裂、注水等外力誘導下很容易破裂成張開縫[5-8]。據塔中地區近20口井統計發現,有裂縫描述巖塊的平均孔隙度和密度分別為12.3%和
2裂縫性致密砂巖儲層鉆井液侵入對電性特征的影響
裂縫使地層導電性變好而明顯地影響側向電阻率曲線。在水平裂縫發育段,側向電阻率降低且深側向電阻率(LLD)、淺側向電阻率(LLS)很接近。在高角度裂縫發育段:對于裂縫性油氣層,由于鉆井液濾液的侵入,深淺雙側向曲線之間的正差異以及深側向曲線與微球形聚焦曲線之間的正差異增大。深淺雙側向對識別泥巖裂縫效果較好。但當鉆井液濾液電阻率(Rmf)特別大,或地層水電阻率(Rw)特別小時,上述現象不明顯[9]。對于裂縫性水層,當Rmf > Rw時,深淺雙側向電阻率之間的負差異以及深電阻率和沖洗帶電阻率之間的負差異增大。由于微球形聚焦測井等為貼井壁式測井,因此只有當貼井壁的一側恰好為裂縫段時,在測井曲線上才有裂縫特征的反應。裂縫產狀、裂縫張開度、基巖電阻率、地層流體電阻率、鉆井液濾液電阻率構成了對鉆井液侵入裂縫性致密砂巖儲層電性特征影響的組合因素。隨著鉆井液侵入深度的增加,不同類型的裂縫的側向電阻率相應特征有所不同,低角度縫侵入深度對雙側向幅度的影響是當侵入半徑大于
3 裂縫性致密砂巖儲層鉆井液侵入深度分析方法
3.1定性分析
這里采用雙側向曲線特征對裂縫性致密砂巖儲層鉆井液侵入深度做出定性地估算。根據深淺雙側向探測特征,它們自身的徑向探測深度通常認為深側向的徑向探測深度可達到

3.2定量計算
3.2.1基于體積模型法計算鉆井液濾液侵入深度
3.2.1.1 單一裂縫系統鉆井液侵入深度的計算
鉆井液濾液對地層的侵入特征受著巖石孔隙結構、井筒與地層之間壓力差、地層浸泡時間等3個因素的控制。其中后兩個因素主要控制侵入的深度,即鉆井液柱壓力越大,浸泡時間越長,則侵入深度越大;但第一個因素不僅影響侵入深度,而且控制著鉆井液濾液在井壁附近的分布特征。同時,對于裂縫性砂巖地層的鉆井液侵入校正,不能像孔隙性砂巖地層那樣簡單地進行,而需要考慮儲層類型和鉆井液侵入深度的影響。根據鉆井液侵入裂縫性地層的體積模型推出鉆井液侵入深度與鉆井液濾液注入量之間的關系。
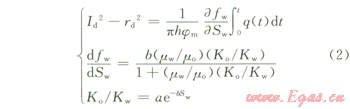
1) 鉆井液濾液侵入水層。假設鉆井液濾液均勻侵入水層,而它與地層水之間沒有傳質現象。其侵入深度可用下式表示:

式中Id為鉆井液侵入深度,m;rd為井眼半徑,m;h為滲透層厚度,m;φ m為鉆井液侵入孔隙度平均值,小數;Swirr為地層束縛水飽和度;
2) 鉆井液濾液侵入油氣層。假設兩相(油和水)都不可壓縮,且忽略重力與毛細管力作用。當鉆井液濾液侵入含油氣層時,可以用貝克萊-列維爾特驅油理論來描述侵入帶內油氣飽和度的分布規律:

式中fw為地層產水率;Ss為含水飽和度;μw、μo分別為水與油的黏度,mPa·s;Ko、Kw分別為油與水的相對滲透率,mD;a、b均為常數。
從式(2)可以看出,鉆井液濾液侵入含油氣層后某一含水飽和度面的深度與鉆井液濾液注入量、

為0.2、rd為
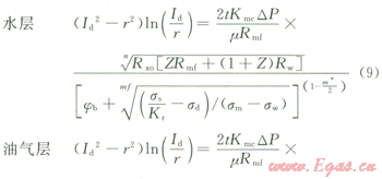
3.2.1.2 網狀裂縫系統鉆井液侵入深度的計算
當其他條件不變時,鉆井液濾液侵入地層的深度主要受泥餅滲透率和地層的孔滲特性兩方面因素的控制,這點與非裂縫性砂泥巖地層比較類似[2],泥餅的滲透性能成了最終鉆井液濾液侵入深度的主要因素之一,從泥餅滲透過來的濾液會無阻擋地進入地層,但在一定時間內通過泥餅的濾液體積為一定值,即

由于阿爾奇公式中的膠結指數m是針對均質地層而設計的,針對網狀裂縫系統下的砂巖儲層,m可以用可變膠結指數m*來替代,m*與巖石總孔隙度、次生孔隙度之間存在復雜的非線性函數關系,這里就不再冗述。這樣便可以得到裂縫性砂巖儲層Sw、Sxo的表達式為:

不難看出式(6)已經消除了可變膠結指數的影響,進一步證明了“當其他條件不變時,鉆井液濾液侵入地層的深度主要受泥餅滲透率和地層的孔滲特性兩方面因素的控制,這點與非裂縫性砂泥巖地層比較類似”的觀點是經得起推敲的。再將式(6)帶入式(3)可以得到:

式中r為井眼半徑,m;Kmc為泥餅滲透率,mD;μ為鉆井液濾液黏度,mPa·s;Sw為地層含水飽和度;φ、Sw都可以根據測井資料求取;△P為鉆井液液柱壓力與原始地層壓力之間的侵入壓差,MPa;t為浸泡時間,d;n為飽和度指數;Rxo為沖洗帶電阻率,Ω·m;Rmf為鉆井液濾液電阻率,Ω·m;Rw為地層水電阻率,Ω·m;σt裂縫性砂巖儲層總的電導率。
考慮裂縫網狀裂縫的客觀規律,裂縫孔隙度(φf)、基塊孔隙度(φb)、裂縫性儲層的含水飽和度(Swf)以及裂縫—孔隙性地層總的電導率(σt)、鉆井液電導率(σm)是影響鉆井液侵入共同因素,因此可以由式(7)進一步演化得到網狀裂縫環境下鉆井液侵入深度的計算模型:

上式中σt經常又用深側向電導率來代替。Swd、Swf分別為粒間孔隙系統和裂縫系統的飽和度;φd為粒間孔隙度;md為粒間孔隙系統的膠結指數;nd、nf分別為粒間孔隙系統和裂縫系統的飽和度指數;σmf為鉆井液濾液電導率;


式中σd、σs、σm、σw分別為深、淺電導率、鉆井液電導率、地層水電導率,Ω·m-1。
研究表明Kτ=l~1.3,mf為裂縫孔隙度指數(隱含值為1.1),Z為溶液混合比例系數,m*為裂縫性砂巖可變膠結指數,與巖石次生孔隙度與總孔隙度的比值有關。
3.2.2基于數理統計法計算鉆井液侵入深度
就低角度裂縫而言,不妨用裂縫的徑向延長深度(Lf)來近似代替鉆井液侵入深度(Id)。對塔中多口井的15個樣本井段儲層參數(深淺電阻率的比值、儲層滲透率、裂縫孔隙度和裂縫的徑向延伸長度等參數值)進行數理統計分析發現,裂縫的徑向延伸長度與這些單相關關系很差。同時也進一步說明,裂縫的徑向延伸長度受深淺電阻率比值、裂縫孔隙度等多種因素的控制,即:
單一裂縫系統鉆井液侵入深度的計算模型:

網狀裂縫系統鉆井液侵入深度的計算模型:

以上模型中:a1=0.222 595 963、b1=0.017 129 554、c1=—0.044 156 72、d1=0.830 476 69;a2=1.233 677 305、b2=0.025 488 21、c2=—0.080 755 52、d2=l.495 402 7;Lf為裂縫徑向延伸長度,m;Rd、Rs分別為深淺電阻率,Ω·m;K為裂縫性儲層總滲透率,mD;
4 實例分析
基于上述理論和方法,結合巖心分析、測井、鉆井、地層流體測試資料,對研究工區9口井選擇水基(鹽水)鉆井液的l7個層位裂縫性致密砂巖儲層段鉆井液侵入深度進行了定量計算,結果見表2。

對表2計算結果進行分析,不難發現17 口井用體積模型法計算的鉆井液侵入深度的平均誤差為9.33%,用數理統計法計算鉆井液侵入深度的平均誤差為5.82%,說明用統計的方法計算精度偏高。這主要是由于該統計模型是基于充分考慮本井區電阻率比值、裂縫孔隙度、裂縫滲透率等多種因素的影響而建立起來的,但從推廣看,體積模型比數理統計模型更具有一定的通用性。表3是不同計算模型對不同裂縫類型地層鉆井液侵入深度的計算對比分析表。不難看出,對于同一計算模型而言,對單一裂縫系統鉆井液侵入深度計算精度要比網狀裂縫系統鉆井液侵入深度計算精度高;對不同計算模型而言,針對同一裂縫系統,統計模型的計算精度比體積計算模型的計算精度高。就所計算的塔中地區鉆井液侵入深度結果看,單一裂縫系統屬于“深—中等”侵入等級,網狀裂縫系統屬于“中等—淺”侵入等級。主要原因是該區的單一裂縫系統主要以中、低角度裂縫為主,與網狀裂縫相比,不容易在近井壁形成內泥餅,導致其平均侵入深度要比在網狀裂縫系統中大。

表4是在考慮儲層流體性質時兩種計算模型在不同裂縫系統中的計算對比分析表。同一類型裂縫型地層,從水層→含油水層→含水油層→油層,不管是體積模型還是統計模型,其計算結果均表現出侵入深度是增加的,呈現污染或者損害增加的趨勢。在結合所選擇分析井段使用的鉆井液看,都使用的是水基(鹽水)鉆井液,不難分析出,該區9口井17個裂縫性致密砂巖儲層段巖石均為親水巖石,若選擇油基鉆井液,鉆井液的侵入深度會大幅度降低,儲層受污染或損害的幾率也會降低。

5結論與建議
1)針對裂縫性致密砂巖儲層非均質性比孔隙性砂巖強,鉆井液侵入深度計算難的問題,本文所建立的模型能很好地結合地質、鉆井、測井等客觀實際,較全面考慮地層的裂縫特性、巖性、電性、物性、含流體性質等,給予很好地解決。計算結果對該類儲層的污染評價、射孔設計以及后期開發過程中增產措施的決策有著極其重要的作用。
2)裂縫性致密砂巖儲層鉆井液侵入深度的定量計算模型對比認為,統計計算模型精度較高,是因為它具有明顯的區域特性,但推廣性不及體積模型。建議在條件允許的情況下,充分考慮裂縫孔隙度、裂縫滲透率、地層電阻率等因素,建立適合本區的統計模型,有助于提高計算精度。
3)除了地層裂縫類型會對侵入深度產生很大影響外,儲層所含流體性質不同,地層巖石對鉆井液的敏感性程度不同,也會影響鉆井液侵入深度。建議在鉆井液的選擇上還應該充分考慮地層巖石的敏感性特性,也減少鉆井液侵入對儲層的污染或損害。
參 考 文 獻
[1] 范翔宇,夏宏泉,陳平,等.測井計算鉆井泥漿侵入深度的新方法研究[J].天然氣工業,2004,24(5):68-70.
[2] 范翔宇,夏宏泉,陳平,等.鉆井液固相侵入深度的計算方法研究[J].天然氣工業,2006,26(3):75-77.
[3] 范翔宇,夏宏泉,陳平,等.鉆井泥漿污染儲層程度的測井評價方法研究[J].天然氣工業,2005,25(10):76-78.
[4] 王業眾,康毅力,李航,等.裂縫性致密砂巖氣層暫堵性堵漏鉆井液技術[J].天然氣工業,2011,31(3):63-65.
[5] 劉繪新,李鋒.裂縫性儲層井控技術體系探討[J].天然氣工業,2011,31(6):77-80.
[6] 范翔宇.復雜鉆井地質環境描述[M].北京:石油工業出版社,2012.
[7] 唐永,梅廉夫,唐文軍,等.裂縫性儲層屬性分析與隨機模擬[J].西南石油大學學報:自然科學版,2010,32(4):56-64.
[8] 王軍,戴俊生,季宗鎮.儲層裂縫多參數定量預測及在閔橋油田的應用[J].西南石油大學學報:自然科學版,2010,32(3):51-54.
[9] 趙良孝.裂縫性碳酸巖鹽儲層測井評價技術[M].北京:石油工業出版社。l994.
本文作者:范翔宇 龔明 夏宏泉 王俊瑞 李枝林
作者單位:“油氣藏地質及開發工程”國家重點實驗室·西南石油大學西南石油大學石油工程學院中國石油川慶鉆探工程公司鉆采工程技術研究院
您可以選擇一種方式贊助本站

支付寶轉賬贊助

微信轉賬贊助


