摘要:多分支水平井能控制更大的儲量面積,大幅度地提高油氣藏采收率。為此,提出了考慮儲層各向異性、斷層和實際鉆井軌跡影響的多分支水平氣井產能預測方法。利用該模型分析了氣藏中多分支水平井井型參數(分支長度、分支角度、分支數目)對單井產能的影響。結論表明:分支井筒與主井筒間的干擾以及分支井筒之間的互相干擾是影響多分支水平氣井產能的主要因素;在實際應用中應采取4分支以上的分支數目,分支角度應不小于30°,應根據氣藏需求選用盡可能大的分支長度。
關鍵詞:分支井;儲集層;生產能力;各向異性;井型;參數;優化
0 引言
多分支水平井是近些年迅速發展起來的新井型,能夠大幅度提高油氣藏采收率[1~3]。但是,由于多分支水平井多底、多分支的特點,其鉆完井技術比常規井要復雜得多,初期投入大,鉆井風險大。因此需進行井型優化研究。近些年,李春蘭[4]、劉想平[5]、陳要輝[6]、楊小松[7]等人對多分支水平井的壓力分布特點和產能預測解析方法進行了理論方面的研究。由于油氣田實際情況較為復雜,地層各向異性、斷層的存在、鉆井軌跡的實際變化都會影響到多分支水平井產能預測模型的使用,筆者首先結合氣藏、鉆井實際情況對已有多分支水平氣井理論模型進行補充、修正,然后將其應用于實際氣藏,以產能為目標對多分支水平井進行了井型優化研究。
1 多分支水平氣井產能預測模型
厚度為h的圓形地層,四周邊界定壓,上、下邊界平板型封閉,多分支水平井可在氣藏范圍內任意展布。假設全井有Nb個分支,每一分支由Npi個小井段組成,根據每一小井段在氣層中產生的勢以及勢疊加原理可得到全井在氣層中任意一點產生的勢為[8~9]:

式中:qij為氣體從氣藏流入第i分支第j井段的流量;φij(M)為第i分支的第j井段在氣藏中任意點M處產生的勢。
將所有小井段的相關等式聯立在一起進行求解,可以得到1口多分支水平氣井任意井段的產量以及多分支水平氣井的總產量。
2 影響多分支水平井產能預測的因素
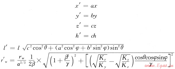
各向異性是影響水平井應用效果的重要因素,垂向滲透率(Kv)越大,水平井相比于直井越具有優勢。類似的,多分支水平井的生產效果也受到氣藏各向異性的顯著影響,故在應用產能預測模型前,首先把各向異性氣藏轉換到各項同性氣藏進行求解。根據各向異性滲流理論[8],引入轉換矩陣D進行空間變換,將各向異性滲透率空間轉換為等價的各向同性空間。即

這樣,在轉換后的各向同性氣藏中各方向滲透率均相等,K=(Kx,Ky,Kz)1/3。轉換前后空間中的幾何參數發生如下改變:

式中:θ為分支井的井斜角;φ為分支井的方位角;l′、l為各向同性、各向異性氣藏中的分支井井段長度;r′w、rw分別為各向同性、各向異性氣藏中分支井井段的半徑;h′、h分別為各向同性、各向異性氣藏的儲層厚度。
經過空間轉換處理后的氣藏與分支井形態均發生了一定改變,將改變后的參數輸入產能預測模型,可以得到相應的壓力分布以及產能情況。以3組不同程度各向異性的氣藏為例,對1口3分支水平井的壓力分布進行分析(圖1),3個方向滲透率(Kx:Ky:Kz)分別為:1:1:1(圖1-a)、1:0.6:0.4(圖1-b)、1:0.3:0.2(圖1-c)、1:0.2:0.1(圖1-d)。

從圖1中可以看出,考慮氣藏各向異性后,多分支水平井近井地帶壓力分布發生了一定的偏轉,各方向滲透率差異越大,壓力分布圖偏轉的越嚴重。
2.2 斷層影響
假設氣藏中存在一條不滲透邊界(圖2-a),根據滲流力學鏡像反映原理,可將斷層存在情況下1口生產井的情況等效為無限大地層沿斷層面對稱的2口生產井共同生產的情況。考慮斷層影響后多分支水平井壓力分布圖如圖2-b所示。

2.3 井筒軌跡影響
在對多分支水平氣井進行產能預測或數值模擬的過程中,大部分研究人員都選用斜直井段對分支井筒進行描述,但實際鉆井過程中,由于安全因素和鉆井因素,實際分支軌跡是彎曲的,從開分支點向外分支角度逐步增大。這種由于鉆井實際軌跡造成的彎曲分支與常規模擬所采用的斜直分支是有區別的。
如圖3所示(以一分支井為例),彎曲分支對主井筒的產出剖面影響更大(圖中匯合點處),而分支井筒的產出剖面兩者也有很大區別。因此,在實際產能預測過程中,必須選用根據實際鉆井軌跡來劃分分支井段,從而實現對彎曲井筒的模擬,達到更好的預測效果。

3 井型優化應用研究
選取某氣藏1口4分支水平井進行井型優化應用研究。氣藏水平滲透率5×10-3μm2,垂向滲透率0.5×10-3μm2,儲層厚度10m,體積系數1.32,氣體黏度0.0177mPa·s,壓縮因子為0.923,生產壓差1MPa,供給半徑1000m,井筒半徑0.05m,主井筒長500m,分支井筒長100 m,分支角度30°,分支數目4支,如圖4所示。

分支數目、分支長度、分支角度是影響多分支水平井產能的重要因素,也是進行井型優化的主要目標參數。下面以產能為目標,分別選取不同分支參數(表1)進行優化分析研究,其優化結果如圖5所示。圖5中等值線為分支井產能比(分支井產能與主井筒單獨生產時的產能之比)。

表1 多分支水平氣井井型參數表
|
分支數目/支
|
2、4、6
|
|
分支長度/m
|
50,100,150,200,250、300
|
|
分支角度/(°)
|
15,30,45、60,75、90
|
從圖5中可以看出,分支數目較小時(2分支井),如保持分支角度不變,隨著分支長度的增加,產能比增加,等值線變密集,說明產能比增幅變大,分支角度越大,增加分支長度帶來的產能比增幅越明顯。
如保持分支長度不變,隨著分支角度的增加,產能比增加,等值線略微變稀疏,說明產能比增幅逐漸減小,分支長度越大,增加分支角度帶來的產能比增幅越小。
隨著分支數目的增加,等值線變密集,分支井產能比增大,分支長度與分支角度對產能比影響的規律不變,但變化幅度變小。
分析其原因,主要是由于分支間存在嚴重干擾造成的,分支長度變大,分支角度變大,分支數目增多,都會增加分支井筒與主井筒之間的干擾以及分支井筒互相之間的干擾。
綜合來看,應有如下優化結論:①應采取4分支以上的分支數目;②分支角度應不小于30°;③分支長度根據氣藏需求選用盡可能大的長度。
4 結論
1) 針對實際氣藏應用多分支水平井產能預測模型中可能出現的問題,提出了考慮氣藏各向異性影響、斷層影響、鉆井軌跡影響的綜合產能預測方法。
2) 分別對多分支水平氣井的分支數目、分支角度、分支長度進行了井型優化研究,提出了多分支水平氣井的井型應為4分支以上,角度不小于30°、分支長度盡量長。
參考文獻
[1] 吳曉東,安永生,席長豐.煤層氣羽狀分支井數值模擬新方法[J].天然氣工業,2007,27(7):76-78.
[2] 陳志海,馬新仿,郎兆新.氣藏水平井產能預測方法[J].天然氣工業,2006,26(2):98-99.
[3] 韓國慶,吳曉東,李相方,等.國內外非常規井模型研究進展[J].石油鉆采工藝,2004,26(1):47-51.
[4] 李春蘭,程林松,孫福街.魚骨型水平井產能計算公式推導[J].西南石油大學學報,2005,27(6):36-38.
[5] 劉想平,張兆順,崔貴香,等.魚骨型多分支井向井流動態關系[J].石油學報,2000,21(6):57-60.
[6] 陳要輝,閻鐵,畢雪亮.油藏斜井三維勢分布理論研究[J].石油學報,2003,24(3):90-93.
[7] 楊小松,劉傳喜,嚴謹,等.魚骨型多分支水平氣井產能規律研究[J].石油學報,2008,29(5):727-733.
[8] 葛家理,寧正福,劉月田,等.現代油藏滲流力學原理[M].北京:石油工業出版社,200l:521-531.
[9] 石書燦,李玉魁,倪小明.煤層氣豎直壓裂井與多分支水平井生產特征[J].西南石油大學學報,2009,31(1):48-52.
(本文作者:安永生1,2 吳曉東1 孫嬋1 1.中國石油大學石油工程教育部重點實驗室2.中國石化勝利油田分公司地質科學研究院)
贊 賞 分享
您可以選擇一種方式贊助本站

支付寶轉賬贊助

微信轉賬贊助
- 注解:本資料由會員及群友提供僅供閱讀交流學習,不得用于商業用途!
