摘要:水平井技術作為提高氣田采收率的一項重要技術,已開始在各大氣田廣泛應用。動態儲量是確定氣井合理產能和井網密度的重要依據,是編制氣田整體開發方案的基礎。因此,對水平氣井動態儲量進行評價,對于高效開發氣田、優化井網、縮短開發周期至關重要。為此,提出了一種評價水平氣井動態儲量的新方法——產量不穩定法。采用該方法只需要日常的生產歷史數據就可以簡單、直接、快速地計算動態儲量,并且可以免去昂貴的試井測試。該方法是在建立圓形封閉氣藏水平井不穩態流數學模型的基礎上,應用積分變換等方法求得模型的Laplace空間解,再通過Stehfest反演算法繪制水平氣井的產量遞減典型曲線圖版。最后用實例說明了水平氣井遞減典型曲線圖版的應用過程。結果表明:產量不穩定法可以很好地計算水平井的動態儲量且精度較高。
關鍵詞:水平井;儲量;動態;不穩定試井;數學模型;曲線;評價
0 引言
目前常用的評價氣井動態儲量的方法有試井和產量不穩定法兩種。后者是一種更新的方法,但以前只應用于直井的評價[1~2]。該方法的本質是將實際生產井的產量和時間數據擬合理論模型,應用典型曲線或計算機程序進行歷史擬合,選擇合適的理論模型來預測最終油氣地質儲量和地層特性。其優點[3]有:①提供了一個簡單、直接、快速計算天然氣地質儲量的方法;②用低廉的生產測試代替了昂貴的試井測試;③對于致密低滲透率油氣藏,很多情況下避免了長時間的壓力恢復測試。
筆者在眾多學者研究[1~2]的基礎上,將直井模型擴展成水平井模型,提出了圓形封閉氣藏中水平井的產量不穩定法的典型曲線圖版,可以在氣藏的勘探階段或開發早期階段評價水平井動態儲量。
1 不穩態流數學模型及其解
1.1 假設條件
1) 地層為水平方向圓形封閉,垂向為不滲透邊界。
2) 地層等厚,水平井段位于地層中心,距離底邊界zw,水平井長為2L,井筒半徑為rw。
3) 忽略重力、毛細管力。
4) 生產前地層各處壓力均為原始壓力(pi)。
5) 天然氣流動滿足線性達西滲流。
6) 井以一定產量(q)生產。
1.2 數學模型及其解
在建立數學模型之前,首先引入無量綱量的定義。
無量綱擬壓力:

無量綱產量:

無量綱物質平衡擬時間:

其中tca為物質平衡擬時間,定義為:

無量綱半徑:

無量綱水平井長:

無量綱地層厚度:

無量綱垂向距離:

無量綱氣藏半徑:

根據滲流力學理論,建立無量綱的數學模型[4~5]如下。
不穩態滲流控制方程:

初始條件:
pD(rD,zD,tD=0)=0 (11)
內邊界條件:

外邊界條件:

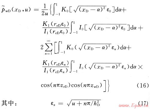
當達到擬穩態時,可以利用Fourier積分變換、反演和積分疊加方法[6],可以得到Laplace空間下模型的解:

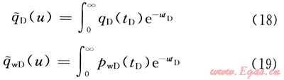
不穩態流無量綱產量和無量綱井底壓力的Laplace變換定義分別為:

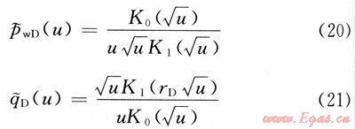
在定產量和定壓力兩種情況下,通過Laplace變換可分別求得生產井的壓力和產量為:

聯立式(16)、(20)、(21),則無量綱井底產量為:

2 典型曲線圖版
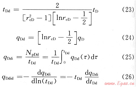
在繪制典型曲線前,對無量綱時間和無量綱產量進行變換,引入如下變量[6]:

采用Stehfest反演算法[7~8],把qDd-tDd、qDdi-tDd以及qDdid-tDd繪制在雙對數坐標圖上,就得到了考慮井筒存儲效應和表皮效應的水平井產量遞減典型曲線圖版(圖1)。水平井遞減典型曲線的特征有:①氣藏中的水平井達到擬穩態時,產量將急劇下降;②導數曲線存在早期、中期和晚期三段,早期為垂直徑向流階段,中期為平面徑向流階段,晚期為圓形封閉外邊界控制流階段j③與直井遞減典型曲線圖版相比,水平井遞減典型曲線在流動中期有一典型的“臺階”特征。

3 動態儲量確定方法
由氣藏原始壓力、實測井底壓力數據以及對應的產氣量數據,可以計算實測數據的q/△φ和tca,并求取曲線積分和導數,然后把這3組數據繪制到無量綱雙對數圖上。移動實測曲線,使實測曲線與理論圖版曲線相擬合,之后計算出擬合參數:
(產量擬合參數)、
(時間擬合參數)和
(氣藏半徑擬合參數)。
(產量擬合參數)、
(時間擬合參數)和
(氣藏半徑擬合參數)。 可以得出井筒有效半徑為:

則單井控制半徑為:

那么,單井控制動態儲量為:

4 應用實例
龍平1井是長慶靖邊氣田的第1口水平井,2007年5月10日投產,之后該井基本上以25×104m3/d生產至今,油壓下降平穩緩慢(圖2),說明該井產能高,動態儲量大。

首先用直井模型來擬合(圖3),可以看出,該井的產量導數曲線擬合效果不好,實際產量的導數曲線具有一明顯的“臺階”特征,符合水平井的產量遞減典型曲線特征(圖2),因此應用水平井模型重新擬合,效果很好(圖4)。由前述內容可以得到兩種模型擬合下的動態儲量。直井模型的動態儲量結果為7.85×108m3,而水平井模型的結果則高達9.51×108m3,兩者的差距較大。歷史數據的擬合表明龍平1井的動態儲量應為9.51×108m3。

5 結論
1) 在圓形封閉氣藏水平井不穩態流數學模型的基礎上,利用積分變換和反演算法,得到了模型的Laplace空間解。
2) 通過計算,給出了水平氣井的產量遞減典型曲線圖版,可以看出,產量導數曲線分為3個階段,早期為垂直徑向流階段;中期為平面徑向流階段,有一明顯的“臺階”特征;晚期為擬穩態流階段,產量急劇下降。
3) 產量不穩定法計算水平氣井動態儲量簡單易行且計算結果精度較高,對于勘探開發早期評價水平井動態儲量具有重要的意義。
符號說明
q為產氣量,104m3/d;K為氣藏平均滲透率,10-3μm2;h為氣層厚度,m;T為氣藏溫度,K;△m(p)為氣體擬壓力差,MPa;pi為原始地層壓力,MPa;pwf為水平井筒流壓,MPa;PD為無量綱壓力;qD為無量綱產量;tD為無量綱時間;rwc為有效井眼半徑,m;φ為孔隙度;μg為氣體黏度,10-3mPa·s;Cg為等溫壓縮系數,MPa-1;rD為無量綱半徑;LD為無量綱水平井半長;Kh為氣層水平滲透率,10-3μm2;Kv為氣層垂直滲透率,10-3μm2;re為水平井泄流半徑,m;hD為無量綱地層厚度;tDd為無量綱遞減時間;qDd為無量綱遞減產量;qDdi為無量綱遞減產量積分;qDdid為無量綱遞減產量積分導數。
參考文獻
[1] MARHAENDRAJANA T,BLASINGAME T A.Decline curve analysis using type curves-evaluation of well performance behavior in a multiwell reservoir system[C]∥SPE Annual Technical Conference and Exhibition. New Orleans,Louisiana:SPE,2001.
[2] 張宗林,趙正軍,張歧,等.靖邊氣田氣井產能核實及合理配產方法[J].天然氣工業,2006,26(9):106-108.
[3] 王少軍,何順利,吳正,等.產量不穩定法確定氣藏地面增壓時機[J].油氣田地面工程,2009,28(2):23-24.
[4] 韓易龍,李相方,石德佩.凝析氣藏水平井試井分析[J].天然氣工業,2009,29(1):79-81.
[5] 陳志海,馬新仿,朗兆新.水平井產量遞減曲線及應用方法[J].天然氣工業,2006,26(2):98-99.
[6] EVERDINGEN A F,HURST W. The application of the Laplace transformation to flow problems in reservoirs[J].Trans. AIME,1949:305-324.
[7] 鄒存友,李治平,安小平,等.試井圖版的計算機制作方法[J].石油天然氣學報,2007,29(3):124-127.
[8] 胡勇,趙必榮,李允.新型變井儲試井理論圖版研究及其應用[J].西南石油學院學報,1996,18(1):55-61.
(本文作者:崔麗萍1 何順利1 張秀玲2 張歧3 1.中國石油大學石油工程教育部重點實驗室;2.中國石油集團鉆井工程技術研究院;3.中國石油長慶油田公司采氣一廠)
贊 賞 分享
您可以選擇一種方式贊助本站

支付寶轉賬贊助

微信轉賬贊助
- 注解:本資料由會員及群友提供僅供閱讀交流學習,不得用于商業用途!
