摘要:對有水氣藏水侵動態和儲量核實的研究是氣藏開發動態分析的基礎工作,而針對裂縫型底水氣藏相關分析方法的研究還較少,如何利用底水氣藏的開發動態數據來研究水體性質及水侵動態,對底水氣藏的開發后期實施有針對性的排水采氣措施具有重要的實際意義。在參照底水氣藏數學模型的基礎上,結合針對邊水氣藏的AIF模型,運用水體影響函數理論,建立了底水驅AIF和壓力動態分析模型,得到水體影響下的裂縫型底水氣藏水侵動態分析方法,并引入非線性最優化法以獲得氣藏的水侵動態。利用Visual Basic語言編制氣藏水侵動態分析程序,并依據一個實際典型裂縫型底水氣藏——川南威遠氣田的生產數據進行了水侵動態驗證分析。實例研究結果表明,該方法可以較為準確獲得裂縫型底水氣藏動態儲量、水體性質和水侵動態,是裂縫型底水氣藏水侵動態分析的好方法。
關鍵詞:底水氣藏;水侵;動態分析;底水驅;裂縫(巖石);數學模型;威遠氣田
0 引言
在有水氣藏的水侵動態分析研究中,針對邊水氣藏的水體影響函數法[1~2]對于邊水氣藏來說,擬合效果比較好,擬合壓力的誤差較小,能夠比較真實客觀地反映邊水氣藏的壓力動態變化,得到較為準確的氣藏動態儲量和水侵動態數據。但是對于具有大裂縫構造或是底水入侵的氣藏來講,邊水氣藏水體影響函數的壓力擬合和儲量計算結果會產生較大誤差,影響擬合和計算的精度。針對裂縫型底水氣藏,有必要建立一種新的適用模型結合水體影響函數法來計算其動態儲量以及在開發中氣藏隨時間變化的水侵量和水侵速度,進而得到裂縫型底水氣藏的水侵動態特征。
1 底水驅模型的建立
由于裂縫型底水氣藏的水侵多表現為邊底水復合侵入的方式,筆者的研究對象均是外邊界封閉的氣藏,故可將其簡化為一種底水模型來研究氣水界面處壓力動態表征。

對具有底水的裂縫型氣藏可簡化為由含氣區和含水區構成,其底水驅模型[3~4]如圖1所示,氣層和水層都是圓柱形的,氣層位于水層的上方,并假定水體區域的厚度(ha)和半徑(ra)都是常數,氣層的半徑為rR,水流入氣層的界面半徑r為0~rR,氣層和水層的其他外邊界是封閉的,于是可以作如下假設:
1) 水層孔隙度和厚度為定值;
2) 水層滲透率是均質的,但具有方向性,水平方向和垂直方向的滲透率分別是KH和KV;
3) 巖石和水的壓縮系數為常數;
4) 氣層和水層是同心的,水層半徑為rR,氣層半徑為ra;
5) 氣水界面處壓力已知;
6) 水層巖石完全飽和水。
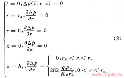
根據已建立的裂縫型底水氣藏底水驅模型,考慮氣水界面處的多級壓力降,采用徑向流坐標系中二維擴散方程表示水流從水層流向氣層,定義滲流方程為:

初始和邊界條件為:

使用拉普拉斯變換和變量分離對式(1)求解,此外使用壓力平均法求取氣水界面處的壓力。
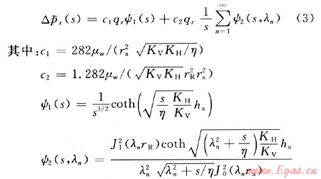
則在拉普拉斯空間,由定水侵速度在氣水界面處產生的壓力降為:

s是與真實時間相對應的拉普拉斯變量;λn是由J1(λnra)=0解出的特征值。
2 壓力動態描述
在研究中,處理底水影響下氣藏的壓力動態特征沿用水體影響函數法的思路[1],由杜哈美原理有:

根據水體影響函數法,有

對比式(4)、式(5),可知水體影響函數為:
F(t)=△pxu(t)
由于事實上△pxu(t)是式(3)在實空間下的解析解,因此反演式(3)可得:

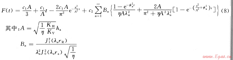
當k的截斷項定為1,這樣F(t)簡化為:

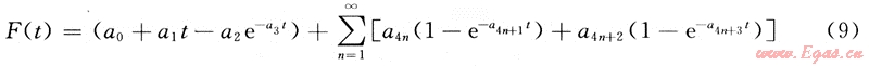
為了采用最優化的方法求解壓力差,可將式(8)改寫為:

故對于裂縫型底水氣藏,氣藏壓力和函數F(t)的關系可表示為:

3 水體影響函數的最優問題及其解
式(10)為一非線性方程,可構成一個最優化問題(即為非線性最優化擬合問題)。當引入牛頓迭代和最速下降原理相結合可采用列維貝格算法計算偏差函數,當最優擬合的偏差函數達到最小以后的解為最優解[1]。最優化問題為:

在實際應用中,式(11)中的變量水侵速度∑qv是利用兩個生產時間間隔中的平均水侵速度來替代,即

4 實例分析
威遠氣田地處四川盆地南部威遠、榮縣和資中3縣境內,1964年發現埋深3000m的震旦系燈影組氣藏,是一個大型致密白云巖裂縫孔洞型底水氣藏[5]。其震旦系頂界含氣范圍為216km2,含氣高度為244m,原始氣水界面海拔為-2434m,原始地層壓力為29.533MPa,地層溫度為120℃,基質平均孔隙度在2%左右,滲透率介于0.001×10-3~0.05×10-3μm2[6]。
通過統計和整理威遠氣田1965年至2007年的生產數據和平均地層靜壓測試數據,選取威遠氣田15個基本生產動態數據點作為擬合目標(見表1)。
表1 威遠氣田生產動態數據點表
|
生產時間
|
平均底層壓力/MPa
|
累計產氣量/108m3
|
累計產水量/104m3
|
|
1964年12月
|
29.533
|
0.0971
|
0.179
|
|
1968年5月
|
29.220
|
1.9863
|
8.688
|
|
1969年12月
|
28.260
|
7.2900
|
9.024
|
|
1973年10月
|
27.130
|
27.6587
|
13.564
|
|
1974年4月
|
26.120
|
31.7087
|
16.539
|
|
1975年6月
|
24.790
|
40.8781
|
24.443
|
|
1976年5月
|
23.320
|
51.4796
|
37.927
|
|
1977年12月
|
22.120
|
69.2304
|
70.013
|
|
1980年10月
|
20.270
|
94.8096
|
147.473
|
|
1982年10月
|
19.320
|
105.2983
|
217.060
|
|
1983年11月
|
18.480
|
109.3773
|
252.959
|
|
1987年12月
|
17.790
|
122.3930
|
432.830
|
|
1990年11月
|
16.080
|
129.4249
|
573.194
|
|
1995年1月
|
16.570
|
135.0768
|
754.766
|
|
2007年1月
|
15.440
|
143.9030
|
1437.439
|
威遠氣田底水模型建立所需的所有參數均可從《威遠氣藏描述暨地質模型研究報告》中獲得,所涉及的參數整理可得:氣層半徑(rR)為8292m(由含氣面積216km2計算得到),水層半徑(ra)為10202m(由含水面積327km2計算得到),水層厚度(ha)為132m,水層平面滲透率(KH)為6×10-3μm2,水層垂向滲透率(KV)為4×10-3μm2,水層平均孔隙度(φa)為0.02,水的地下黏度(μw)為0.27765mPa·s,巖石有效壓縮系數(cea)為14.23×10-4MPa-1(由Hall圖版法算出)。
應用本方法對威遠氣田生產動態數據進行計算。通過計算得到儲量與偏差函數的關系,當滿足偏差函數達到最小時(對應的偏差函數值為0.5876)的解為最優解。最優擬合動態地質儲量為380×108m3、采出程度為37.86%。
根據計算得到的儲量值,可得到威遠氣田最優擬合數據及壓力擬合情況(圖2、表2)。

表2 威遠氣田最優擬合數據表
|
生產時間
|
實際壓力/MPa
|
擬合壓力/MPa
|
水侵速度/104m3·mon-1
|
|
1968年5月
|
29.22
|
29.14
|
0.369
|
|
1969年12月
|
28.26
|
27.66
|
1.649
|
|
1973年10月
|
27.13
|
27.33
|
1.396
|
|
1974年4月
|
26.12
|
26.12
|
1.944
|
|
1975年6月
|
24.79
|
25.69
|
2.324
|
|
1976年5月
|
23.32
|
24.12
|
3.365
|
|
1977年12月
|
22.12
|
21.80
|
5.025
|
|
1980年10月
|
20.27
|
20.48
|
5.288
|
|
1982年10月
|
19.32
|
20.00
|
5.032
|
|
1983年11月
|
18.48
|
18.05
|
6.890
|
|
1987年12月
|
17.79
|
17.92
|
6.744
|
|
1990年11月
|
16.08
|
16.97
|
7.626
|
|
1995年1月
|
16.57
|
14.55
|
10.494
|
|
2007年1月
|
15.44
|
16.20
|
9.755
|
圖3是在滿足最優擬合偏差函數最小時,在水侵動態分析和生產動態數據的基礎上得到的水侵速度和累積水侵量與生產時間的關系。水侵速度呈臺階式上升,這和開采階段密切相關。

研究威遠氣田各個生產時段水侵速度與生產曲線的對比(圖4)可知,威遠氣田生產初期的采氣速度較大,整體水侵速度較小,在開始提高采氣速度后水侵逐漸加劇。當氣田開采進入中期,采氣速度開始逐漸減小時,產水速度開始逐漸增大,并呈臺階式波動,同時水侵速度也呈現出一種階梯式的遞增,表明威遠氣田受水侵的影響是在生產中期逐漸加大的,采用氣田內排水的方式加劇了裂縫性水竄;隨著氣藏開發進入生產末期,氣田內生產井大量排水形成了水侵通道,水侵速度到達最大值,造成許多氣井在短時間內大量見水,但由于底水水體的彈性能量大量釋放以后,水侵能量減弱,水侵速度已經開始表現出逐漸減小的趨勢。

另一方面,從函數F(t)隨時間的變化關系曲線(圖5)可知,在威遠氣田開井投產初期,由于采氣速度高、底水沿裂縫竄進侵入氣藏、水體能量表現為逐漸增大;在進入生產中期時,水體的彈性能量開始逐漸減弱,水體的膨脹程度開始逐漸減小,進入生產末期后,使函數F(t)形成一種持續下降甚至為負值,表明隨著水體能量的大量釋放以及受威遠氣田大面積關井影響,部分地層水有可能出現沿大裂縫系統回退的現象,說明整個水體能量表現為具有可排性,如果在合適的位置打排水井大量排水,可使氣藏的采收率得到大幅度地提高。

5 結論
1) 建立了裂縫型底水氣藏的底水驅模型和水侵動態分析方法,利用威遠氣田的生產數據成功地分析了水侵動態。
2) 改進的底水氣藏水體影響函數法是裂縫型底水氣藏水侵動態分析的有效方法。
3) 底水氣藏由于構造封閉造成的構造局部封存水體的水體影響函數同樣為拋物線形。
4) 利用該模型可以較好地解決裂縫型底水氣藏水侵動態分析中存在的問題,得到的分析結果符合實際生產情況。
5) 威遠氣田地層水具有可排性,合適的排水井大量排水,可大大提高氣藏的采收率。
符號說明
△p為壓降,MPa;pai為水層原始地層壓力,MPa;△pv為變壓降,MPa;η為水層擴散常數;r為徑向空間變量,m;z為垂向空間變量,m;KV為水層垂向滲透率,10-3μm2;KH為水層水平方向滲透率,10-3μm2;t為時間,mort;φa為水層孔隙度,小數;μw為地下水黏度,mPa·s;cea為水體有效壓縮系數,MPa-1;ha為水體厚度,m;qx為氣水界面處定流量,m3/mon;qv為氣水界面處變流量,m3/mon;rR為氣層半徑,m;ra為水層半徑,m;We為累計水侵量,m3。
參考文獻
[1] 熊鈺,胡述清,曲林,等.非均質氣藏局部封存水體性質及水侵動態分析方法研究[J].天然氣工業,2004,24(2):78-81.
[2] 張新征,張烈輝,李玉林.預測裂縫型有水氣藏早期水侵動態的新方法[J].西南石油大學學報,2007,29(5):82-85.
[3] YILDIZ T,KHOSRAVI A. An analytical bottom water-drive aquifer model for material balance analysis[J].Journal of SPE Reservoir Evaluation & Engineering,2007,10(6):618-628.
[4] 張建業,熊鈺,黃蘭,等.底水驅解析新模型[J].國外油田工程,2007,23(6):13-16.
[5] 張虎權,衛平生,張景廉,等.也談威遠氣田的氣源[J].天然氣工業,2005,25(7):4-7.
[6] 馮異勇,賀勝寧.裂縫性底水氣藏氣井水侵動態研究[J].天然氣工業,1998,18(3):40-44.
(本文作者:熊鈺1 楊水清2 樂宏2 唐建榮2 余翔2 1.西南石油大學石油工程學院;2.中國石油西南油氣田公司蜀南氣礦)
贊 賞 分享
您可以選擇一種方式贊助本站

支付寶轉賬贊助

微信轉賬贊助
- 注解:本資料由會員及群友提供僅供閱讀交流學習,不得用于商業用途!
