摘要:分析了在家用燃氣快速熱水器的防過熱、防空燒保護設計時應注意的影響因素,提出溫控器的動作溫度(換熱器換熱管的中端溫度)宜設定為85~100℃。
關鍵詞:家用燃氣快速熱水器;安全保護裝置;防過熱;防空燒;動作溫度
Design Analysis of Protection from Overheating and Empty Burn for Gas Water Heater
ZHANG Kun-dong
Abstract:The influence factors to which attention should be paid in design of protection from over-heating and empty burn of domestic gas instantaneous water heater are analyzed. It is suggested that the thermostat action temperature(middle temperature of heat exchanger tube)should be set at 85 to 100℃.
Key words:domestic gas instantaneous water heater;safety device;protection from overheating;protection from empty burn;action temperature
1 概述
對于家用燃氣快速熱水器(以下簡稱熱水器),安全問題一直受到非常關注,許多技術專家對此作了各方面的研究[1、2]。通常設置了一些安全保護裝置,其中為了防止在使用時產生異常,使出水溫度過高而引起燙傷事故,我國的家用燃氣快速熱水器標準GB 6932—2001規定[3],一旦出水溫度超過了110℃(快速加熱在換熱器內產生瞬間的過熱沸騰時會出現超過100℃的現象),必須立即切斷燃氣通路,終止燃燒。為此我們在熱水器上通常設定了防過熱的安全裝置。為了保護熱水器在不使用時發生燃燒引起的安全問題,通常還設置防空燒安全裝置。在實際中我們一般將這兩種安全保護合并設置為一個安全裝置。該裝置一般設立在換熱器上的某一部位,并且一般采用溫度傳感器程控或通過感應溫度的溫控器來控制,當達到設定動作溫度時切斷燃氣通路。在我們設計時,不能簡單地注重將溫控器設定在某一位置并設定動作溫度,使出水溫度超過規定溫度時燃燒自動停止即可。由于在設計時的設定不當,會引起熱水器不能正常運轉。本文就設計時必須考慮的各方面影響因素進行討論。
2 溫控器設定的影響因素分析
2.1 溫控器設置位置
一般溫控器的設置位置從水路系統上考慮總是在換熱器換熱管的中端、換熱器換熱管末端、熱水器出水處(見圖1)。該3處溫度(以下簡稱中端t1、末端t2和出水t3)之間存在著關聯性。

無論設置在何處,具體的動作溫度如何設定,我們的評價總是從以下3方面進行的:防過熱保護的有效性和及時性;防空燒保護的有效性和及時性;對熱水器的運行帶來不穩定的影響,該影響可分為2種狀況考慮:正常使用溫度范圍對設置溫控器動作溫度的影響;在換熱器內部產生過熱沸騰而引起壓力反向沖擊現象,導致熱水器工作不穩定。
對溫控器的設置位置評價如下:
① 中端位置
a. 由于檢測的溫度為換熱器的中端水溫,可監視換熱器的工作狀態。一旦發生空燒現象(即無水流通過時發生的燃燒),能最有效反映換熱器的狀態溫度,及時快速啟動安全裝置,對防空燒最為有效。
b. 距進水側最近,此處的溫度控制能及時啟動安全裝置,避免換熱器過熱沸騰后產生的壓力反向沖擊引起的對熱水器啟動控制裝置的干擾。
c. 在防過熱保護上也能起到作用,但由于體現的溫度是加熱過程中的中端位置的溫度,只能間接而不能直觀反映出所需保護的出水溫度。
② 末端位置
a. 在換熱器出口,為加熱過程中的最末端位置,此處的溫度也為在使用過程中的最高溫度,對防過熱最為靈敏。
b. 由于是加熱過程中的末端溫度點,在水不流動時,不能及時體現換熱器所處的狀態,對防空燒不能作出有效及時的反應。
c. 距熱水器的啟動控制裝置較遠,當發生過熱沸騰引起的壓力反向沖擊對熱水器啟動控制裝置干擾時,該點的溫度反應較為滯后。
③ 出水位置
a. 能夠直接反映出水溫度,該處溫度的控制對于防止過熱的保護最為及時和有效。
b. 由于不能完全直接反映換熱器的換熱狀態,對于防空燒不能起到有效的作用。
c. 由于遠離熱水器啟動控制裝置,還受到其他影響,不能有效監控換熱器過熱沸騰狀態,當因換熱器內過熱沸騰引起的壓力反向沖擊干擾熱水器正常工作時,不能及早有效地啟動安全裝置。
④ 評價結果
溫控器各設置位置對安全保護的作用見表1。
表1 溫控器各設置位置對安全保護的作用
|
位置
|
防過熱保護
|
防空燒保護
|
防壓力反向沖擊對正常工作的影響
|
|
中端
|
較好
|
好
|
好
|
|
末端
|
好
|
較好
|
較好
|
|
出水
|
好
|
差
|
差
|
2.2 各點設定溫度對過熱沸騰控制的影響
圖2為某一熱水器換熱器各點溫度之間的關聯關系(進水溫度為15℃時)。圖2僅反映了某一熱水器的各點溫度之間的大致關系,不同熱水器有一定差異,特別是t3還受到具體旁通水量的影響。圖2的測試條件為最大熱負荷時,進水溫度為15℃,將水流量漸漸減小,獲得t1與t2、t3之間的關系。隨著t1的不斷升高,達到108℃左右時,換熱器內的熱水由于過熱沸騰后產生壓力反向沖擊,迫使熱水器啟動控制裝置關閉,引起熱水器停止運轉,而后又重新啟動,使熱水器運轉產生反復開、關的周期現象。這一現象干擾熱水器的正常運轉。為了防止這一干擾熱水器正常使用現象的出現,t1、t2、t3必須低于過熱沸騰引起壓力反向沖擊現象出現時的溫度,并且出水溫度滿足GB 6932—2001的要求,在低于110℃時,就使安全保護裝置動作。根據圖2的實驗數據,得出各點的控制溫度為:t1<108℃,t2<124℃,t3<91.9℃。

2.3 熱水器正常使用對溫度設定的要求
一般熱水器分為比例恒溫式和非比例恒溫式。在設定溫控器的動作溫度時,我們必須考察在正常使用中各點溫度的變化范圍,以便溫控器設定的動作溫度能避開(高于)正常工作的范圍。
以比例恒溫式的額定出熱水能力為16L/min的熱水器作為研究對象。根據使用要求和產品的可設定范圍,通常出水溫度控制在最高溫度(本文設定為75℃),我們設定旁通比率(通過旁通管水流量與熱水器進水流量的比率)為20%,熱負荷設定為1.1倍額定值時,出水流量調整到熱水器的啟動流量或者使熱水器工作的實際負荷低于額定負荷,此條件將會使熱水器各點的水溫處于最高狀態,如此來考察熱水器在使用時的各點最高溫度。各點的溫度計算方法如下:

式中tmax——熱水器的最高設定出水溫度,℃
ti——熱水器的進水溫度,℃
qm——熱水器的出水流量,kg/min
qm,th——熱水器的額定出熱水能力,kg/min
t2——熱水器換熱器末端溫度,℃
B——熱水器的水流旁通比率
t3——熱水器的出水溫度,℃
熱水器的額定出熱水能力為16L/min,出水流量調節到最低水流量(熱水器最低啟動水流量,3L/min),根據熱水器溫度設定范圍,出水溫度設定在最高值(75℃),進水溫度ti、換熱器末端溫度t2、出水溫度t3的計算分析數據見圖3。

依據上述的計算公式對各狀態(如出水流量變化)分析可得出正常使用的溫度范圍為t2<92.5℃,t3<75℃。再依據圖2可推算出t1<75.5℃。
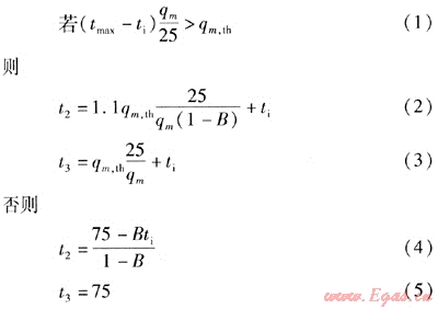
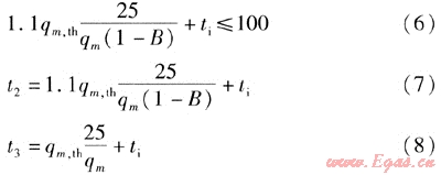
進一步分析非比例恒溫式熱水器,以額定出熱水能力10L/min的熱水器作為研究對象。設定旁通比率為20%,熱負荷為1.1倍額定值,出水流量從熱水器啟動流量開始調節,并考慮不同進水溫度的影響,如此來考察熱水器在正常使用時的各點最高溫度。各點的溫度計算方法如下:
若

否則,將發生過熱沸騰現象,使得t2≥100℃,t3隨t2升高依照式(8)升高。并在t2達到100℃時同樣發生過熱沸騰和超過100℃的現象,但t3達到100℃后式(8)已不適用。
額定出熱水能力為10L/min的非比例恒溫式熱水器,按上述條件,在進水溫度分別為5℃和25℃的2種條件下,將出水流量從最小量3.5kg/min開始調節,具體出水流量qm和換熱器末端溫度t2、出水溫度t3的計算分析數據見圖4(t2、t3在低于100℃的條件下)。

由圖4分析可得出:在正常使用時,各點的最高溫度分別為t2<100℃,t3<96℃。在實際測試中,出水溫度t3也會產生超出100℃的夾帶蒸汽的出水,原因就是在實際加熱時,由于換熱器中間局部產生瞬時高溫,而瞬時高溫產生蒸汽促使水流量降低,由于是瞬間狀態,故熱水器水路啟動控制裝置無法在如此短的時間作出判斷而導致繼續燃燒。如此累積產生的結果使出水溫度t3異常變高,使得出水溫度超過100℃,此時出水溫度t3不易控制,時而出現非常高的溫度(甚至超過100℃),此溫度已不屬于正常使用范圍。從這一點看,控制換熱器內部產生局部過熱是關鍵。從圖2可以發現,換熱器中端溫度t1控制在80℃以內,換熱器內部一般不會有過熱現象出現,而t1在80℃以上時,則由于上述的原因使整個熱水器內和出水溫度變得不穩定和不易控制,此時的溫度不屬于正常使用范圍。由此可推出,在正常使用時,t1應低于80℃。
經過上述比例式和非比例式熱水器使用情況的分析,我們可以確定既符合國家標準規定,又能使熱水器工作正常的溫控器的動作溫度。如果以換熱器中端溫度t1進行設定,為避開正常使用溫度,t1的設定值應不低于80℃。
2.4 停水溫升對設定溫度的影響
在熱水器正常工作時,還有一種狀態將影響熱水器的各點溫度,即在熱水關閉后,燃燒熄火的滯后。由于熄火滯后將燃燒熱量積存在換熱器內,使水溫上升,各點溫度提高。這種停水溫升引起的各點溫度的變化,按照控制方法會有所不同,必須在設定溫控器動作溫度時引起注意。
2.5 溫控器敏感性的影響
一般設定溫控器的動作溫度,總是比要求的溫度要低3~5℃。這是考慮換熱器向溫控器的傳熱速度的影響。
3 建議
① 國家標準GB 6932—2001要求,安全裝置中防過熱安全裝置的動作溫度應使出水溫度不大于110℃,一旦超過此溫度,即關閉通向燃燒器的燃氣通路且不應自動開啟。在實際使用時,應考慮到實際使用水溫的變化范圍,溫控器的設定動作溫度應在熱水器正常工作溫度范圍的最大值以上,以保證熱水器正常工作。
② 對溫控器動作溫度的設定必須注意,在出水溫度不超出產品規定(低于110℃)的前提下,還應避免由于設定溫度過高,使熱水器局部過熱沸騰引起壓力反向沖擊,導致熱水器不正常反復周期性啟動的現象。
③ 要適當考慮溫度信號傳遞到溫控器的滯后現象的補償。
④ 如果將溫控器設定在換熱器中端(溫度為t1位置),為了避開熱水器正常使用的溫度范圍,并且避免出水溫度t3超過110℃,還要避免t1超過108℃,從而避免熱水器局部過熱沸騰引起壓力反向沖擊而導致熱水器不正常反復周期性啟動現象,建議溫控器的動作溫度t1宜設定為85~100℃。
參考文獻:
[1] 周玉林.機內燃氣微漏對燃氣熱水器性能影響的研究[J].煤氣與熱力,2007,27(12):22-25.
[2] 王啟.自然排氣煙道式燃氣熱水器的安全使用[J].煤氣與熱力,2005,25(2):63-65.
[3] GB 6932—2001,家用燃氣快速熱水器[S].
(本文作者:張坤東 能率(中國)投資有限公司 上海 201405)
贊 賞 分享
您可以選擇一種方式贊助本站

支付寶轉賬贊助

微信轉賬贊助
- 注解:本資料由會員及群友提供僅供閱讀交流學習,不得用于商業用途!
