摘要:介紹了排隊論理論,結合某公司實際情況,對瓶裝LPG配送呼叫中心坐席進行了優化,探討了呼叫中心的管理措施。
關鍵詞:燃氣企業管理;排隊論;呼叫中心;坐席;優化
Application of Queueing Theory in Call Center for Distribution of Bottled LPG
WANG Yong
Abstract:The queuing theory is introduced. Combined with the actual situation of a company,the seats in call center for distribution of bottled LPG are optimized,and the management measures in the call center are discussed.
Key words:management of gas enterprise;queuing theory;call center;seats;optimization
1 概述
信息化進程及互聯網技術的發展導致了企業經營理念、經營模式的深刻變化,這種變化必然帶來新的營銷模式變革,呼叫中心就是順應這樣的形勢而產生的[1]。
自20世紀末呼叫中心的理念、方法及其系統進入我國后,呼叫中心市場迅速擴大。隨著呼叫中心市場的日益繁榮,其技術上的先進性和管理上的相對落后形成了很大的反差。呼叫中心面臨的主要問題不是技術問題,而是優化管理問題。呼叫中心過多的坐席人員配置會導致企業成本上升,而過少的人員配置會影響業務,同時對士氣產生負面作用,也是造成人員流失的原因之一。因此,對于一個優秀的呼叫中心,合理安排坐席人員具有十分重要的意義。這也是瓶裝液化石油氣呼叫中心面臨的主要問題。
2 排隊論基本原理
2.1 排隊論的概念
排隊論是研究擁擠現象(排隊、等待)的一門學科,它在研究各種排隊系統概率規律的基礎上,解決排隊系統(如票房前買票的排隊、加油站前汽車的排隊、電話交換機接到的呼叫等)的設計和控制的優化問題。
2.2 顧客流及顧客服務時間概率分布分析
瓶裝液化石油氣呼叫中心顧客流呈如下特點:到達情況呈現平穩趨勢,即在一定時間階段內,恰有n個顧客到達系統的概率僅與時間區間的大小有關,而與這段時間區間的起始時刻無關;在任何不相交的時間區間到達系統的顧客數量彼此相互獨立;在充分小的時間區間內,同時有2個或2個以上顧客來到系統的概率比1個顧客來到系統的概率小到可以忽略,即顧客是一個一個地到達系統的;在任意有限的時間區間內,到達有限個顧客的概率趨近于1。
根據上述特點可知,瓶裝液化石油氣呼叫中心顧客流到達的情況符合泊松流的特征,即具有平穩性、無后效性、普通性、有限性的特點。根據運籌學理論中關于泊松分布與負指數分布的密切關系可知,如果顧客流是泊松流,則顧客的服務時間一定呈負指數分布。由此可知,瓶裝液化石油氣呼叫中心的顧客流是泊松流,顧客的服務時間呈負指數分布。因此,瓶裝液化石油氣呼叫中心的顧客排隊現象符合排隊論中的單隊對多坐席的泊松輸入、負指數服務、顧客源為無限源的模型,即M/M/C/N/∞系統模型。
其中的符號含義如下:
第1個M——負指數分布
第2個M——泊松流輸入
C——并聯坐席數量,個
N——系統容量(即系統中能容納的顧客的數量的最大值),個
∞——顧客源為無限源
2.3 M/M/C/N/∞系統模型
M/M/C/N/∞系統屬于典型的單隊對多坐席(并列)情形,其概率分布符合泊松-負指數類型,其中顧客按泊松流輸入,服務時間服從負指數分布。服務規則是先到先服務,系統中能容納的最大顧客數為N,當顧客到來系統而系統容納不下時,則顧客自動離去。
系統處于穩定狀態時,每2個相鄰狀態,相互間的轉移率相同,由此可得穩態概率分布如下。
當n<C時,有:

當C≤n≤N時,有:

令:

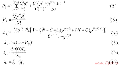
將式(1)~(3)代入式(4),可得:

式中n——系統中的顧客數,個
Pn——系統中有n個顧客的概率
P0——系統中有0個顧客的概率
ρ——顧客對系統的服務需求強度與系統服務總能力的比值
λ——顧客到達速率(即單位時間到達系統的顧客平均數),個/h,反映了顧客對系統的服務需求強度
μ——單個坐席單位時間內服務完畢的顧客平均數,個/h
PN——系統中有N個顧客的概率
Lq——穩定狀態下系統中任意時刻排隊等待的平均顧客數,個
λe——單位時間到達并進入系統的平均顧客數,個/h
tq——穩定狀態下進入系統的顧客在系統中的平均排隊等待時間,s
λs——單位時間系統損失掉(到達而未能進入系統)的平均顧客數,個/h
3 案例分析
3.1 數據分析
深圳燃氣石油氣有限公司呼叫中心的顧客到達量和每個電話的服務時間都是隨機的、離散的。為了能更充分地模擬此隨機系統,筆者從呼叫中心計算機室收集了大量的數據。根據得到的數據,可將顧客的到達分成3個時間段,分別為22:00—8:00、8:00—12:00、12:00—22:00。在22:00—8:00,系統采用無坐席人員的自動語音服務。8:00—12:00和12:00—22:00是服務電話的高峰期,利用Excel隨機數生成器對顧客到達數據和每個顧客的服務時間數據進行統計分析,得到如下數據:
單位時間到達系統的顧客的平均數是:
8:00—12:00:λ1=1900個/h;
12:00—22:00:λ2=1120個/h。
每個顧客的平均服務時間約為50s,則單個坐席單位時間內服務完畢的顧客平均數是72個/h。
3.2 呼叫中心坐席數量優化
① 8:00—12:00呼叫中心坐席數量計算
λ1=1900個/h,μ=72個/h,N=42。
當C=26時,ρ=1.01。顧客對系統的服務需求強度與系統服務總能力的比值大于1,說明系統滿足不了顧客需求,導致隊伍越排越長。因此,此種配置不符合要求。
當C=27時,將數據代入式(5)~(10),可得:
λe=1828個/h;
tq=10s。
呼叫中心雖然接近理想的M/M/C/N/∞系統模型,但是實際的呼叫中心與理想的模型總是有些差別。根據統計數據可以得到呼叫中心的有效到達率平均為0.88。因此,呼叫中心到達并進入系統的顧客數為:
λe=0.88λ1=1672個/h。將此數據代入式(9),可以得到
tq=11s。
② 12:00—22:00呼叫中心坐席數量計算
λ2=1120個/h,μ=72個/h,N=42。
當C=15時,P=1.02。顧客對系統的服務需求強度與系統服務總能力的比值大于1,說明系統滿足不了顧客需求,導致隊伍越排越長。因此,此種配置不符合要求。
當C=16時,將數據代入式(5)~(10)可得:
λe=1086個/h,tq=27s。
呼叫中心的有效到達率為0.88,到達并進入系統的顧客數為:λe=0.88λ2=986個/h。
將此數據代入式(9)可以得到:
tq=30s。
3.3 利用優化結果對呼叫中心進行評價
① 從呼叫中心應答方式的統計數據分析
美國普杜大學、劍橋大學的技術合作伙伴Axiom公司經過研究得到了世界大約300個呼叫中心的統計數據,見表1。
石油氣有限公司呼叫中心大部分業務由人工坐席完成,語音自動回答的業務僅占總業務的3%,坐席員服務占總業務的97%,而其他諸如電子郵件、信件、傳真等基本上沒有顧客使用。因此,從應答方式上看,人工坐席服務比例能達到上述公用事業行業的統計數據標準。
表1 世界各行業呼叫中心應答方式統計
|
行業
|
各種應答方式在本行業中所占比例/%
|
||||
|
語音自動應答系統
|
坐席員
|
電子郵件
|
傳真
|
信件
|
|
|
銀行業
|
37.3
|
59.5
|
0.7
|
1.2
|
1.3
|
|
計算機業
|
1.0
|
90.2
|
2.9
|
4.9
|
1.0
|
|
醫療衛生業
|
5.2
|
87.2
|
0.6
|
3.8
|
3.2
|
|
保險業
|
13.6
|
81.5
|
0.1
|
2.2
|
2.6
|
|
制造業
|
1.3
|
80.8
|
1.9
|
14.7
|
1.3
|
|
電信業
|
9.3
|
85.3
|
0.4
|
3.4
|
1.6
|
|
運輸業
|
9.9
|
86.0
|
0.6
|
3.0
|
0.5
|
|
公用事業
|
10.8
|
87.7
|
0.0
|
0.2
|
1.3
|
|
其他行業
|
4.0
|
87.3
|
1.7
|
3.5
|
3.5
|
② 從呼叫中心主要統計數據分析
2005年呼叫中心專業資訊網站CTI(Computer Telephony Integration)論壇上給出了國內各行業呼叫中心主要統計數據,見表2。
表2 國內各行業呼叫中心平均通話和排隊時間統計
|
行業
|
平均通話時間/min
|
平均排隊時間/s
|
|
銀行業
|
3.3
|
50.5
|
|
計算機業
|
6.7
|
132.6
|
|
醫療衛生業
|
3.6
|
36.3
|
|
保險業
|
4.0
|
28.1
|
|
制造業
|
3.3
|
56.3
|
|
電信業
|
4.9
|
37.4
|
|
運輸業
|
3.6
|
67.0
|
|
公用事業
|
3.4
|
31.2
|
|
其他行業
|
3.7
|
41.8
|
從上述模型分析得到的數據看,石油氣有限公司呼叫中心在排隊等待時間上能夠滿足表2的公用事業統計數據標準。
3.4 利用優化結果安排呼叫中心坐席
根據廣東省質量協會用戶評價中心提供的2005年度《燃氣集團滿意度第三方測評綜合報告》的統計數據,呼叫中心瓶裝液化石油氣顧客可接受的排隊等待時間期望值為15~20s。
在8:00—12:00,有27個坐席的情況下,平均排隊等待時間為11s,能滿足要求。
在12:00—22:00,有17個坐席的情況下,將數據代入式(5)~(10),得平均排隊等待時間為19s,能滿足要求。
充分考慮高峰期的具體情況,為了完成對現有來話量的最大覆蓋,公司可以實行三班制的作息制度,將早班高峰期時間段定在8:00—14:00,盡量安排較多的坐席人員上班;將次高峰期時間段定在14:00-20:00,安排相對較少的坐席人員上班;為了解決傍晚時段出現的預約高峰期,可增加1個小夜班,工作時間為16:00—22:00,作為對下午班的補充。為了實現顧客的最大滿意度,又達到均衡勞動力的目的,可在早班安排坐席27人,下午班安排坐席15人,小夜班安排坐席3人。按每個員工每天工作6h,并考慮正常的節假日、年休假等因素,通過計算可得石油氣有限公司呼叫中心2009年度坐席安排,見表3。
表3 2009年度呼叫中心坐席安排
|
項目
|
8:00—14:00
|
14:00—20:00
|
16:00—22:00
|
|
當班坐席數/人
|
27
|
15
|
3
|
|
顧客排隊時間/s
|
11~19
|
||
|
休班坐席數/人
|
25
|
||
|
需總坐席數/人
|
70
|
||
4 其他管理措施
利用排隊論模型解決企業坐席配置是呼叫中心優化管理的關鍵,但要想使呼叫中心真正高效運作,除了上述運用數學模型模擬呼叫中心外,在呼叫中心進行人員預測與排班管理方面還應綜合考慮以下措施。
① 考慮聘用兼職人員或小時工。
② 服務不僅僅是呼叫中心坐席員工的工作,還需要全公司員工的共同努力。
③ 呼叫中心員工的上下班時間、連續工作時間與普通員工不一致。一方面盡可能使員工作息時間不要對生活有太大沖擊,另一方面也應幫助員工調適,后勤、行政各部門也要盡可能做好后勤保障工作。
④ 在預測時總是有些呼叫事先沒法預測。在實際工作中設置1個“備班”是一種好的選擇。
⑤ 采取適當手段對坐席人員進行有效激勵。員工的工資和獎金是相對固定的,增加工資和多發獎金并不是一件很容易的事。因此,如何使用非經濟的激勵方式更為重要。一般,呼叫中心可以采用以下非經濟的激勵方式:對坐席人員的成績給予認可和關注,一對一地輔導,給予適當的頭銜,創造好的工作環境,給予適當的授權,加強團隊建設,組織一些公益活動,來自公司高層的認可。
⑥ 為有效地降低坐席人員流失率,定期培訓、合理的職業規劃都很必要。
5 結論
利用排隊論模型提出了深圳燃氣石油氣有限公司瓶裝液化石油氣呼叫中心最優坐席配置方案,對實際工作及預測未來坐席配置具有很大的指導作用。
隨著市場競爭的加劇,企業的發展必將以滿足客戶的需求為中心,呼叫中心的建立是大勢所趨。呼叫中心除了本文提到的利用優化理論模型預測坐席等手段來提高管理水平外,在今后的工作中對以下內容還需要進一步研究:
① 企業內部管理流程的優化,各部門的協調發展,全員服務意識的提高。
② 呼叫中心管理人員、坐席人員的定期培訓以及培訓方法的選擇,培訓內容的設置。
③ 企業在現有的呼叫中心的基礎上,可以考慮適當增加網絡功能,還可以適當增加呼叫中心的呼出營銷功能。
④ 呼叫中心外包服務(包括軟件、硬件、人員等各方面的外包服務)。
參考文獻:
[1] 王星.燃氣客戶服務呼叫中心的建設[J].煤氣與熱力,2009,29(12):B27-B28.
(本文作者:王勇 深圳市燃氣集團股份有限公司 廣東深圳 518000)
贊 賞 分享
您可以選擇一種方式贊助本站

支付寶轉賬贊助

微信轉賬贊助
- 注解:本資料由會員及群友提供僅供閱讀交流學習,不得用于商業用途!
