摘要:推導了有壓、常壓熱水鍋爐供熱系統循環泵功率的計算式。計算比較了同一供熱系統,分別采用有壓、常壓熱水鍋爐供熱系統的循環泵質量流量、功率。
關鍵詞:有壓熱水鍋爐;常壓熱水鍋爐;循環泵
Comparison of Circulating Pump between Pressured and Atmospheric Pressure Hot Water Boiler Heating Systems
ZHANG Jing-xue
Abstract:The formulas for power of circulating pump for pressured and atmospheric pressure hot water boiler heating systems are derived. The same heating system is calculated and compared. The mass flow rate and power of circulating pump for pressured and atmospheric pressure hot water boiler heating systems are adopted.
Key words:pressured hot water boiler;atmospheric pressure hot water boiler;circulating pump
1 有壓熱水鍋爐供熱系統
① 系統流程
有壓熱水鍋爐是指鍋爐在運行中承受壓力,承受的壓力等于循環泵揚程與系統定壓點壓力之和,典型有壓熱水鍋爐供熱系統見圖1。由圖1可知,在有壓熱水鍋爐供熱系統中,循環泵位于回水干管的末端,點A是系統的定壓點。

② 循環泵揚程
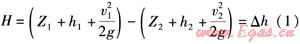
有壓熱水鍋爐供熱系統循環泵揚程H的計算式為:

式中H——有壓熱水鍋爐供熱系統循環泵的揚程,m
Z1、Z2——斷面1-1、2-2的位置水頭,m
h1、h2——斷面1-1、2-2的壓力水頭,m
v1、v2——斷面1-1、2-2的介質流速,m/s
g——重力加速度,m/s2
△h——管網沿程阻力和局部阻力之和,m
由此可知,循環泵的揚程完全用于克服管網阻力,而與管網敷設高度無關,這是閉路系統的最大特點。
③ 循環泵的質量流量
有壓熱水鍋爐供熱系統循環泵質量流量qm的計算式為:

式中qm——有壓熱水鍋爐供熱系統循環泵的質量流量,kg/s
Φ——鍋爐的熱功率,W
cp——熱水的比定壓熱容,J/(kg·K)
ts——供水溫度,℃
tr——回水溫度,℃
由此可知,對于熱功率一定的鍋爐,循環泵質量流量取決于供回水溫差,溫差越大,質量流量越小,溫差越小,質量流量越大。
④ 循環泵功率
有壓熱水鍋爐供熱系統循環泵功率P的計算式為:

式中P——有壓熱水鍋爐供熱系統循環泵功率,kW
η——循環泵的效率
將式(1)、(2)代入式(3)得:

2 常壓熱水鍋爐集中供熱系統
① 系統流程
常壓鍋爐在運行中不承受壓力,即鍋爐表壓為0,常壓熱水鍋爐供熱系統見圖2。在系統中,循環泵位于鍋爐出口,即供水干管始端,點B為系統定壓點。

② 循環泵的揚程
系統定壓點B壓力水頭hB的計算式為
hB=h
式中hB——系統定壓點的壓力水頭,m
h——膨脹水箱安裝高度,m
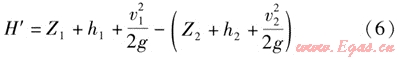
常壓熱水鍋爐集中供熱系統循環泵揚程H′的計算式為:

式中H′——常壓熱水鍋爐集中供熱系統循環泵揚程,m
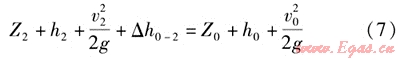
斷面0-0與2-2有如下關系:

式中△h0-2——斷面0-0至2-2的阻力,m
Z0——斷面0-0的位置水頭,m
h0——斷面0-0的壓力水頭,m
v0——斷面0-0介質流速,m/s
由于常壓鍋爐為開口容器,因此h0=0,又由于常壓鍋爐水位始終保持不變,因此v0=0。

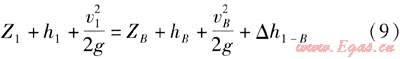
斷面1-1與定壓點B有如下關系:

式中ZB——定壓點B的位置水頭m
vB——定壓點B介質的流速,m/s
△h1-B——斷面1-1至定壓點B的阻力,m
將式(8)、(9)代入式(6)得到:

由于ZB與Z0近似相等,因此ZB-Z0=0由于hB=h,則有:

③ 循環泵質量流量
常壓熱水鍋爐集中供熱系統循環泵質量流量的計算方法與有壓熱水鍋爐供熱系統相同。
④ 循環泵的功率
常壓熱水鍋爐集中供熱系統循環泵功率P′的計算式為:

式中P′——常壓熱水鍋爐集中供熱系統循環泵功
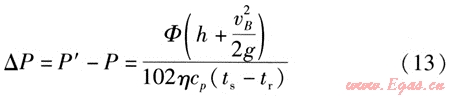
3 循環泵功率比較
由以上分析可知,對于同一工程,如果鍋爐熱功率相同,供回水溫度相同,供熱面積相同,常壓鍋爐供熱系統要比有壓鍋爐供熱系統循環泵的功率高,二者功率差△P的計算式為:

式中△P——常壓鍋爐供熱系統與有壓鍋爐供熱系統循環泵的功率差,kW
由式(13)可知:供熱系統越大,即鍋爐熱功率越高,常壓鍋爐供熱系統比有壓鍋爐供熱系統循環泵多消耗的功率也就越大。供熱區域內地形變化越大,定壓點壓力相應增大,常壓鍋爐供熱系統循環泵多消耗的功率越大。
以某供熱工程為例,該工程共安裝3臺4.2MW有壓熱水鍋爐,供水溫度為95℃,回水溫度為70℃,定壓點水頭為25m。若改為3臺常壓熱水鍋爐,由式(13)計算得,循環泵多消耗的功率為40kW。供暖期按120d計算,供熱系統24h運行,則一個供暖期多消耗的電量為115.2MW·h。
4 循環泵的工作狀態
在有壓熱水鍋爐供熱系統中,循環泵是工作在回水干管末端,循環泵進水溫度為70℃。常壓熱水鍋爐供熱系統循環泵工作在鍋爐出口,循環泵進水溫度為95℃。為了保證循環泵不發生汽蝕,不同水溫下循環泵進水側需要最小壓力見表1。由表1可知,在常壓熱水鍋爐供熱系統中,循環泵工作環境相對而言是惡劣的,進水側正壓頭是靠膨脹箱水箱水位與循環泵軸線高度差來保證的,但鍋爐出水溫度很難保持95℃,在實際運行中由于燃燒狀況、天氣或其他原因室內供暖系統暫停運行,會使管網回水溫度增高,而鍋爐出水溫度也相應增高。由于常壓鍋爐不承壓,有時出水可能夾帶氣泡,在這種情況下,即使保證了安裝高度也很難保證循環泵不發生汽蝕。而在有壓熱水鍋爐供熱系統中,由于定壓點在循環泵進水側,因此無論循環泵運轉還是停止都始終保持足夠正壓力,且進水溫度為70℃左右,因此可防止循環泵產生汽蝕現象。
表1 不同水溫下循環泵進水側所需最小壓力
|
水溫/℃
|
20
|
30
|
40
|
50
|
60
|
75
|
|
最大吸水高度/m
|
5.9
|
5.4
|
4.7
|
3.7
|
2.7
|
0.0
|
|
最小正壓頭/m
|
—
|
—
|
—
|
—
|
—
|
—
|
|
水溫/℃
|
80
|
90
|
100
|
110
|
120
|
|
|
最大吸水高度/m
|
—
|
—
|
—
|
—
|
—
|
—
|
|
最小正壓頭/m
|
2.0
|
3.0
|
6.0
|
11.0
|
17.5
|
—
|
5 質量流量
根據國內外資料和大量實踐經驗證明:在熱水供熱系統中,經濟的回水溫度為70℃,而供水溫度各不相同。由于常壓熱水鍋爐上部是敞開的,因此最高出水溫度為95℃,供回水溫差為25℃。而大多數有壓熱水鍋爐的設計出水溫度為130℃,現場實際運行出水溫度大多為1 15℃,其供回水溫差為45℃。若鍋爐熱功率相同,由于供回水溫差不同,則兩種供熱系統的循環泵質量流量不同。對于常壓熱水鍋爐供熱系統,供水溫度為95℃,回水溫度為70℃,其循環泵質量流量qm′的計算式為:

式中qm′——常壓熱水鍋爐供熱系統循環泵質量流量,kg/s
對于有壓熱水鍋爐供熱系統,若供水溫度115℃,回水溫度70℃,其循環泵質量流量qm的計算式為:

當鍋爐熱功率相同時,有:
qm′=1.8qm (16)
由式(16)可知,常壓鍋爐供熱系統循環泵質量流量為有壓鍋爐供熱系統的1.8倍。對于同一供熱區域,由于有壓鍋爐供熱系統的供回水溫差大,因此其流量較小,室外管網管徑可相應變小,系統造價也可相應降低。
6 結論
① 同一供熱工程安裝常壓熱水鍋爐與安裝有壓熱水鍋爐相比,其循環泵多消耗電能。供熱系統規模越大,常壓鍋爐供熱系統比有壓鍋爐供熱系統多消耗的電能也就越多。
② 供熱區域地形變化越大,定壓點壓力相應增大,常壓鍋爐供熱系統比有壓鍋爐供熱系統多消耗的電能也就越多。
③ 在常壓熱水鍋爐供熱系統中,循環泵易發生汽蝕。
(本文作者:張景雪 河北省城鄉規劃設計研究院 河北石家莊 050021)
贊 賞 分享
您可以選擇一種方式贊助本站

支付寶轉賬贊助

微信轉賬贊助
- 注解:本資料由會員及群友提供僅供閱讀交流學習,不得用于商業用途!
