摘要:阿爾及利亞Zarzaitine油田除少量高氣油比井自噴生產外,93.7%的油井均采用氣舉采油。為此,在地面建有兩套供氣系統保證連續注氣,最下一級氣舉閥為空閥并作為注氣工作閥,地面注氣壓力的變化不會出現注氣點上移問題,具有較好的適應性;采用了閉式氣舉管柱,較好地實現了油層保護和作業質量控制,通過產液量、油壓和套壓來分析診斷氣舉井工況,方法簡單且方便,每口井都有相應的最優注氣量,氣舉井產液量高、效果好。阿爾及利亞Zarzaitine油田的氣舉采油工藝技術對提高國內工藝水平具有指導意義。
關鍵詞:阿爾及利亞;氣舉;工藝;設備;采收率;壓力;溫度;優化
1 油田基本情況
阿爾及利亞Zarzaitine油田位于阿爾及利亞首都阿爾及爾東南1500km、撒哈拉沙漠東部、利比亞邊界附近-的伊利茲盆地,平均地面海拔565m。Zarzaitine油田類型為中孔中滲、具有氣頂和邊水且受斷層控制的背斜砂巖油氣藏,原油物性好,含油面積100km2,埋深1300~1400m。氣舉井數占油田總井數的93.7%,氣舉井的原油產量占全油田產量的88.8%,油田綜合含水30.98%,綜合氣油比為93m3/m3。
2 優化氣舉采油技術
2.1 地面注氣系統
2.1.1兩個氣源,供氣平穩
為了保證Zarzaitine油田長期平穩氣舉采油,油田建了2套地面供氣系統(圖1):一是油田外的阿拉爾高壓氣源(氣源1);二是在油田內建一座FGL(Fermeture Gaz Lift)氣舉工廠(氣源2),為油井氣舉采油和水源井氣舉采水供氣。FGL氣舉工廠所用天然氣主要是氣舉井和水源井生產的伴生天然氣。氣舉工廠由三菱公司建設,渦輪機型號為MS-5002,由美國通用電氣公司和John Brown Engineering Limited公司聯合制造。壓縮機由Dresser Clark公司制造,包括高壓壓縮機和低壓壓縮機,低壓壓縮機類型為4M9-8 M-line離心式壓縮機,高壓壓縮機類型為463B4/3 line垂直分離桶式離心壓縮機。

FGL氣舉工廠于1988年正式投產,設計出口壓力9.2MPa,平均日處理天然氣290×104m3,注氣管線運行壓力8.0MPa。氣舉工廠除滿足氣舉采油和氣舉采水外,還通過Ø152.4mm管線向30km外的In Amenas電廠供氣和通過Ø203.2mm管線向48km外的南部伊澤里油田供氣;同時,與北部阿拉爾油田(氣源1)采用Ø406.4mm管線連通,當氣量高時可向油田(Zrzaitine)以外的用戶供氣,氣量低時可接收外油田來氣,以保證FGL氣舉工廠和氣舉井長期正常平穩運行。
2.1.2井口流程簡單,注氣量計量準確,操作方便
全油田共建地面注氣壓力監測站兩處,巡井人員只需每天記錄這兩個觀測點的壓力即可掌握全油田氣舉井的注氣壓力情況。在氣舉井場設有注氣量控制閥和壓差式孔板流量計,在井口定期進行油壓、套壓、注氣量監測,注氣量控制閥和壓差式孔板流量計距井口在10m以內,注氣量調節方便且計量準確。
2.2 優化氣舉設計
2.2.1氣舉閥深度和打開壓力設計
從FGL氣舉工廠或阿拉爾來的高壓氣,干線注氣壓力一般在5.5~7.0MPa之間,到各注氣井口,注氣壓力一般可保持在5.0~5.5MPa,設計井口注氣壓力為5.0MPa,原油密度為0.812g/cm3,天然氣相對密度為0.6,按照壓力平衡原則,在同一圖版內,橫坐標為壓力,縱坐標為井深,先繪制油套環空的注氣壓力梯度曲線L1,再繪制油管內壓井液的靜液梯度曲線L2,L1和L2的交點即為第一級氣舉閥的下入深度H1和打開壓力p1。再根據油井實際采油指數和設計產量要求,計算油井正常生產時需要的采油壓差和井底流壓,繪制正常生產時油管內的最小油管壓力曲線L3,在曲線L3上從H3高度引L2的平行線與L1相交,此交點即為第二級氣舉閥的下入深度H2和打開壓力p2。同樣方法可設計出氣舉閥深度H3,H4,…,Hn和氣舉閥打開壓力p3,p4,…,pn,直到設計氣舉閥深度大于等于封隔器深度為止。設計示意圖見圖2。

2.2.2管柱結構設計
在選用閉式氣舉管柱基礎上進一步優化,在油管底部Sabot附近安裝一個Siege工具,其主要功能是當投入單流閥在Siege里時就實現油管套管封隔,可通過地面打壓檢查油管和封隔器是否漏失。只要把Siege內的單流閥用Wire-Line工具撈出地面,油井即可正常生產[1~3]。
在封隔器以上的最下一級氣舉閥為工作閥,其他則為排液閥。排液閥在油井投產初期當油套環空排液時工作,地面高壓氣舉氣流進工作閥后,油管內壓力大幅下降,套管內注氣壓力也相應下降,排液閥隨即關閉,停止工作。工作閥選用BK空閥,把正常的氣舉閥(圖3)卸開取出閥芯(彈簧、膜片、閥桿、閥球)即為空閥,其特點是保證氣舉閥常開,當地面注氣壓力在一定范圍波動時,氣舉工作閥不受影響,可保持連續注氣,同時避免了注氣點上移問題,保證了氣舉井平穩生產[4]。

2.3 作業修井質量控制
整個作業施工過程以油層保護為重點。氣舉井在作業前,先用Wrie-Line撈出最下一級氣舉閥,用油基鉆井液壓井,一般采用反循環方式。待壓井穩定后進行施工作業,按設計下完管柱并用原油替出井筒內全部油基鉆井液后,再用Wire-Line檢查作業后的管柱情況和施工質量,并做以下工作:①Ø44mm工具下到是Siege位置,檢查管柱是否暢通;②投放單流閥在Siege里;③把盲閥投入每級氣舉工作筒里,以實現油管套管隔離;④油管打壓1000psi(1psi=6.89476kPa)檢查油管密封情況;⑤水力封隔器按設計深度座封;⑥給油套環空打壓到1000psi檢查封隔器的密封情況;⑦用Wire-Line撈出盲閥后再按設計下入正常生產的氣舉閥;⑧用Wire-Line撈出Siege里面的單流閥,并通井到人工井底。
2.4 注氣量優化
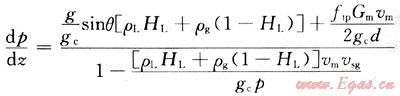
按照垂直多相管流的壓力計算方法,先計算出油井不同氣液比條件下的井筒壓力梯度,再根據井深計算井底流壓,結合油井的采油指數即可得到油井的相應產量,從而得到氣舉井注氣量和產液量的關系曲線,產液量最高時的注氣量即為最優氣舉井注氣量(圖4)。Beggs-Brill多相管流計算方法,根據流體氣液比和流體性質以及具體管柱特征計算垂直多相管流的壓力梯度模型如下:

式中:d為管子的直徑;ftp為兩相摩擦系數;g為重力加速度;gc為重力系數;Gm為混合物質量流速;vm為油氣混合物流速;vsg為氣相流速;HL為持液率;ρL為液相密度;ρg為氣相密度;p為油管內壓力;z為井深位置。

2.5 氣舉井工況診斷
該油田氣舉井工況診斷方法主要有以下兩種:
1) 第一種方法是根據油井產量和在油管內測流壓梯度來分析氣舉井的注氣點位置,分析氣舉井是否存在多點注氣問題,是否按照設計的注氣深度在正常工作[5~6],其氣舉井的流壓梯度曲線見圖5。

2) 第二種方法就是套壓、油壓、注氣量和產量動態分析法。根據這些生產數據的變化來綜合分析注氣狀況,主要根據油井產量的變化來確定氣舉井工況,當開井生產初期氣舉排液正常后,主要是最下一級空閥注氣,一般不會出現多點注氣和注氣點上移的問題;當地面注氣壓力下降時,也不會出現注氣點上移的問題,因為注氣點為空閥,注氣孔徑只有6.35mm,而套管的直徑為177.8mm,按照氣體狀態方程可知注氣點處的壓力比套管壓力要高很多,注氣點仍會正常注氣,只是注氣量會相應減少,同時氣舉井日產液量也會相應下降。
3 結論與建議
1) 阿爾及利亞Zarzaitine油田氣舉采油工藝技術先進可靠,地面供氣氣源雙套系統,保證了該油田長期穩定氣舉采油生產。
2) 按常規方法進行設計氣舉閥打開壓力和下入深度,一般共有三級氣舉閥,第一級和第二級氣舉閥主要在投產初期排液時工作,第三級為工作閥,工作閥均采用空閥。
3) 封隔器上部的空閥具有良好的適應性,注氣壓力的變化一般不會改變注氣點位置,只是注氣量和油井產液量有相應變化,氣舉工況診斷簡單方便。
4) 管柱結構為閉式氣舉管柱,管柱可靠,有利于作業施工過程中的油層保護和管柱狀況檢查。
5) 每口井都有相應的最優注氣量,保持最優氣量注氣,氣舉井產液量最高,氣舉效果最好。
參考文獻
[1] 萬仁溥.采油工程手冊[M].北京:石油工業出版社,2000:184-201.
[2] 蘇俊,韓振華.井下作業技術數據手冊[M].北京:石油工業出版社,2001:166-176.
[3] 魏家勇,王琴華.調整油管流態在氣舉井的應用實踐[J]·天然氣工業,1999,19(3):99.
[4] 賀遵義.一井兩層井內間舉升開采技術[J].天然氣工業,1999,19(3):73-76.
[5] 羅銀富,黃炳光,王怒濤,等.改進的非支配排序遺傳算法優化氣舉配氣[J].西南石油大學學報,2009,31(2):64-66.
[6] 徐代英,楊安萍,禹繼貧.低壓氣井反舉-泡排復合工藝效果分析[J].天然氣工業,1999,19(4):94.
(本文作者:付道明1 吳曉東1 魏旭光2 吳修利2 張博3 1.中國石油大學(北京);2.中國石化集團國際石油勘探開發有限公司;3.北京大學)
贊 賞 分享
您可以選擇一種方式贊助本站

支付寶轉賬贊助

微信轉賬贊助
- 注解:本資料由會員及群友提供僅供閱讀交流學習,不得用于商業用途!
