摘要:如何提高固井質量是鉆井工程長期以來所面對的問題。應用中厚壁管力學理論,從力學的角度分析了在固井過程中套管應力和應變之間的關系,提出了增加套管內外壓差來提高固井質量的技術思路,通過施加外擠壓力使套管具備彈性能,在水泥漿候凝發生徑向體積收縮時,通過釋放彈性能,彌補體積收縮產生的微環隙,消除了氣竄通道,從而提高固井質量。通過10多井次的氣井固井實踐,結果表明:該技術能有效地消除或減少固井后期因套管應力應變發生變化而出現的微間隙,對提高固井質量,取得了良好的效果。建議在井下條件允許的情況下,增加環空與套管內的壓差值來提高固井質量。
關鍵詞:深井;水平井;氣井;壓差;套管;固井;質量提高
O 引言
因氣井固井質量差而引起的環空氣竄主要有3個途徑:泥漿竄槽、微環空和水泥基質。氣竄的主要原因包括膠凝懸掛、水泥漿收縮、水泥孔隙壓力降低、界面膠結強度低等[1~2]。固井后水泥漿體積收縮形成微環隙是主要氣竄通道之一,對于高壓氣井,0.02mm的微環間隙,將形成通道而發生氣竄[3~5]。當微環間隙不到0.01mm時,對油氣水等液體而言,雖然不足以形成液體通道造成油氣水竄,但卻會使聲幅波的聲耦合率大大降低,使聲幅值增高、聲幅值失真。為了消除或減少氣井固井后兩界面的微間隙,采用了膨脹水泥漿、防氣竄水泥漿等,但試壓和后期試采過程的管內壓力突變,導致管柱膨脹收縮,從而使界面產生微間隙,引發氣竄。為防止界面微間隙產生,對套管柱進行受力分析,找到了界面微環隙的成因及對固井質量的影響,提出了具體解決辦法。
1 套管受力分析
套管在井下情況的受力較為復雜,為了分析方便,主要考慮套管受內壓和外擠作用(即管內外壓差),而忽略軸向力和溫度對管柱應力的影響時,套管屬于中厚壁管(圖1)。

據拉梅公式[1]:

根據虎克定律微單元體的應變:

式中:E為彈性模量;υ為泊松比。
由幾何關系可知形變與應變的關系為:

將式(3)代入式(2)得:

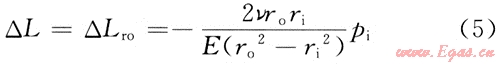
當時將式(1)代入式(4)得:

式中:ro為套管外徑,mm;ri為套管內徑,mm;pi為套管受內壓力,MPa;σr為徑向應力,MPa;σθ為切向應力,MPa;σz為軸向應力,MPa;△L為變形量,mm。
根據式(5)可計算套管的變形值。計算出的變形值是套管膨脹變形值,而在水泥凝固后釋放內壓,套管收縮回原尺寸,此膨脹變形就變為套管與水泥膠結被破壞而形成微環隙。從式(5)可知:①套管尺寸越大,相同壓差下,產生的微環隙越大;②套管尺寸相同,壁厚越薄,產生的微環隙愈大;③對于固定套管而言,微環隙大小與受的壓差成正比。通過施加外擠壓力使套管具備彈性能,在水泥漿候凝發生徑向體積收縮時,通過釋放彈性能,彌補體積收縮產生的微環隙,消除氣竄通道,從而提高固井質量。
2 工程應用
在注水泥后,由于水泥漿在凝結過程中失重,使套管外的部分液柱壓力將降至清水柱壓力,如果使用高于鹽水密度的頂替液頂替水泥漿,將會導致管內壓力高于管外壓力,套管向外(環空)膨脹,而固井后試壓又將井內鉆井液替換成清水使套管向內產生應力,套管向內回縮,套管承受多次應力及應變的變化,致使水泥石破壞,導致環空產生微環隙。
2.1 套管內外壓差值的確定
壓差值的確定根據微間隙的大小和水泥石收縮的程度,對于高壓油氣井中氣體而言,0.0254mm的微環間隙,將形成通道發生氣竄,在不考慮水泥收縮或膨脹的情況下,確定所需的最小壓差值:

取E=210×109N/m;υ=0.25~0.3;△L=0.0254mm。
根據式(6)可以得出常用不同尺寸和不同壁厚油層套管在變形為0.02mm微間隙所需的最小應變力(壓差值,圖2)。

補償的最低壓差值為:
△p-(po-pi)=pi (7)
式中:△p為所需最小壓差值,MPa;po為套管外靜液柱壓力,MPa;pi為套管內靜液柱壓力,MPa。
p2≥p≥p1,p2為補償的最高壓差值:取外層套管最大抗內壓強度的80%和裸眼地層的最高破裂壓力的80%兩者中的最小值。
2.2 工藝設計技術
為獲得克服套管變形所需的壓差值,在固井工藝設計上可采用如下兩種方法(兩種方法可同時使用):
1) 完井液頂替。對于全井下套管一次注水泥的固井中,采用完井液(或清水)作為頂替液,增加套管內外壓差,在水泥漿凝固過程中產生足夠的膨脹變形致使套管在以后不再向內變形而產生微間隙,既能確保界面膠結質量和強度,又能減少下鉆替換鉆井液的步驟而直接進行試氣(油)工作,節約時間和成本。同時采用完井液(或清水)替漿時泵壓高,管外的流體作用在套管外壁和井壁的力增大,沖刷效果更佳,有利于驅替,保證固井質量。完井液頂替量根據式(7),其在套管內外的靜液柱產生的壓差值需大于等于△L。在尾管固井中,采用尾管段內清水頂替,能較好地提高尾管段的壓差,補償完井后套管應力變化,防止微間隙的產生。
2) 環空憋回壓、套管內敞壓候凝。環空憋回壓是補償水泥漿凝結過程中的失重,預防氣竄的重要方法,但在實施操作上往往憋回壓值較低。特別是在當井下有漏層時,僅為補償失重的壓力損失。在井下條件允許的情況下,計算失重壓力,憋回壓值應取p1值和失重壓力兩者取大值,這樣既可補償失重壓力,又可補償套管應力。
上述兩種方法均對浮鞋和浮箍等工具附件的要求高,反向承壓能力需根據工程要求試驗,施工中膠塞必須碰壓,增加了固井難度和風險。完井液頂替會導致施工中靜壓差大,替漿后期將出現超高壓,對水泥車、管線及工具附件的承壓能力要求高,必須保證施工安全。固井準備時要求水泥車、水泥頭及管匯作承壓試驗;環空憋回壓會受到井下條件的約束,如井下易漏失和尾管固井實施起來就較為困難。
2.3 現場應用
應用上述方法分別在LG地區的Ф177.8mm套管回接和八角場地區的Ф139.7mm油層套管共計10余井次固井中應用,固井電測優質率和合格率有較大提高,LG地區Ф177.8mm回接固井電測優質率提高了32.9%,并經受住了后期增產作業的考驗。
從表1和表2可以看出采用增加管內外壓差工藝技術后,固井優質率和合格率都有較大幅度地提升。
表1 增加管內外壓差固井方法現場應用表
|
井號
|
套管層次
|
環空憋壓(MPa)
|
清水頂替液(m3)
|
管內外壓差(MPa)
|
最小補償壓差(MPa)
|
優質率(%)
|
|
L9
|
Ф177.8mm回接
|
12
|
0
|
15
|
16.20
|
76.01
|
|
L6
|
Ф177.8mm回接
|
8
|
38.0
|
27
|
16.20
|
90.00
|
|
X60-5
|
Ф139.7mm尾管
|
0
|
42.0
|
36
|
20.68
|
95.00
|
|
L11
|
Ф177.8mm回接
|
11
|
13.7
|
22
|
16.20
|
73.16
|
表2 常規與增加管內外壓差固井技術質量對比表
|
作業方式
|
井次
|
評價段長(m)
|
優質率(%)
|
合格率(%)
|
|
常規固井
|
4
|
12627.00
|
36.94
|
84.36
|
|
預應力固井
|
7
|
22017.05
|
87.54
|
99.25
|
從表1、2可以看出采用增加管內外壓差工藝技術后,固井優質率和合格率都有較大幅度的提升。
從采用的兩種工藝方法來看,憋回壓與利用清水頂替都可以有效地增加管內外壓差。但是憋回壓受到地層承壓能力的限制,效果不如使用清水頂替液理想。從表1中可以看出,當控制管內外壓差比較大時,固井優質率達到了90%以上。而僅依靠憋回壓很難產生較大的管內外壓差,并且由于憋壓時間選擇不合理也會影響固井質量。
3 結論與建議
1) 在井下條件允許的情況下,提高環空與套管內的正壓差值,更有利于提高固井質量。
2) 固井作業時提高環空與套管內的正壓差值的做法能有效地降低和減少固井后期作業過程中由于套管應變導致的微間隙。
3) 在水泥漿具有低失水、低析水、微膨脹等特性的情況下,配合防氣竄水泥漿,增加管內外壓差提高固井質量技術的應用效果將更好。
4) 憋回壓的時間應在固井施工完后立即進行。
參考文獻
[1] 鉆井手冊(甲方)編寫組.鉆井手冊(甲方)[M].北京:石油工業出版社,1990.
[2] 李克向.保護油氣層鉆井完井技術[M].北京:石油工業出版社,1993.
[3] 萬仁溥.現代完井工程[M].北京:石油工業出版社,2000.
[4] 劉崇建.國外油井注水泥技術[M].張玉隆,譯.成都:四川科學技術出版社,1992.
[5] 鄭開華.高壓氣井固井技術研討[J].鉆采工藝,2001,24(4):1-4.
(本文作者:楊萬忠1 李銳2 石慶1 1.川慶鉆探工程公司井下作業公司;2.四川大學)
贊 賞 分享
您可以選擇一種方式贊助本站

支付寶轉賬贊助

微信轉賬贊助
- 注解:本資料由會員及群友提供僅供閱讀交流學習,不得用于商業用途!
